Thermal Conductivity of Cesium Bismuthides in the Liquid State
- Authors: Agazhanov A.S.1, Abdullaev R.N.1, Khairulin A.R.1, Stankus S.V.1
-
Affiliations:
- Kutateladze Institute of Thermophysics, Siberian Branch, Russian Academy of Sciences
- Issue: Vol 97, No 11 (2023)
- Pages: 1537-1542
- Section: CHEMICAL THERMODYNAMICS AND THERMOCHEMISTRY
- Submitted: 26.12.2023
- Published: 01.11.2023
- URL: https://ogarev-online.ru/0044-4537/article/view/233043
- DOI: https://doi.org/10.31857/S004445372311002X
- EDN: https://elibrary.ru/PBRFDG
- ID: 233043
Cite item
Full Text
Abstract
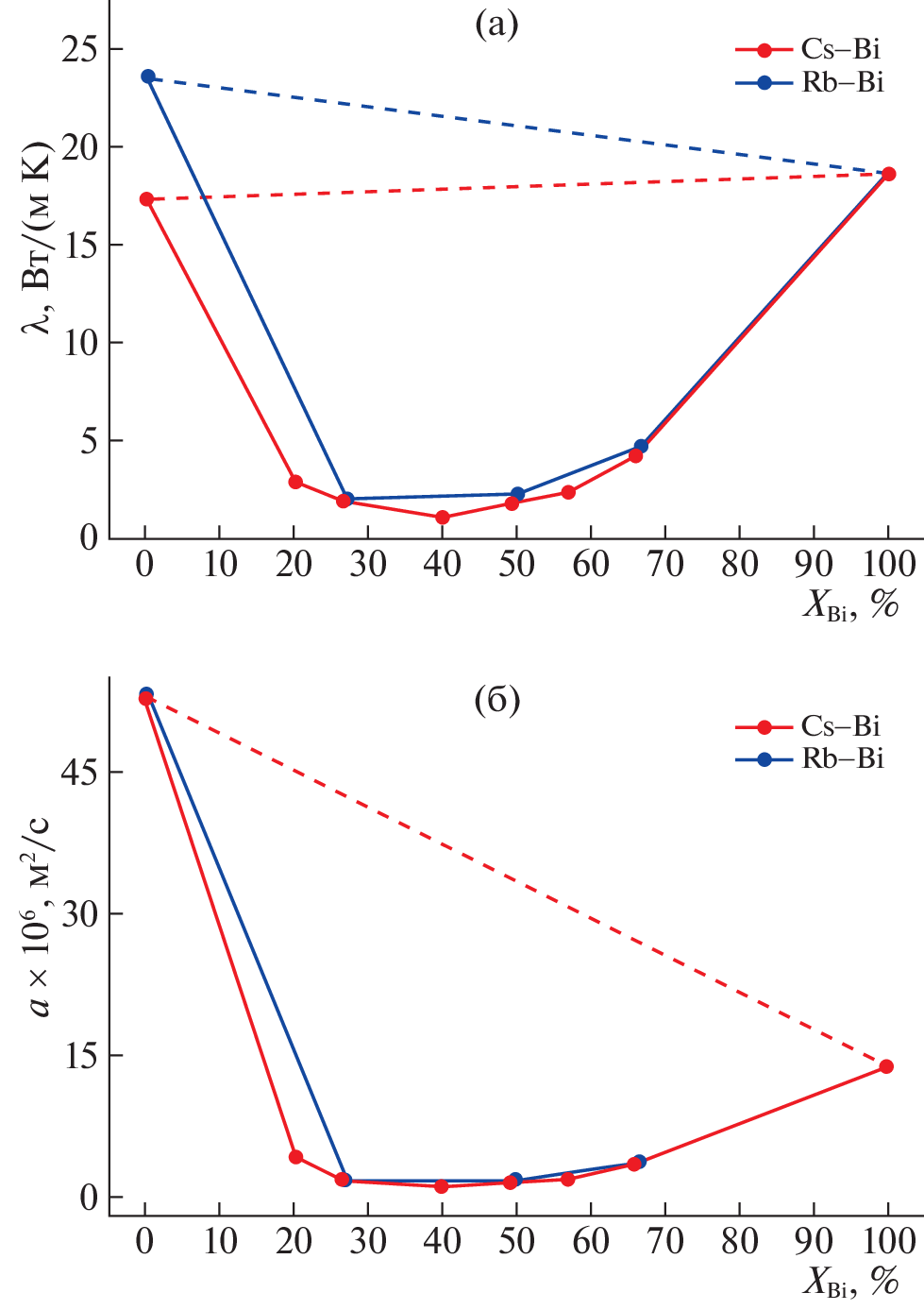
The thermal conductivity of liquid alloys of the cesium–bismuth system with 20–66 at % Bi in the temperature range from the liquidus line to 1173 K has been studied experimentally with an error of 4–6%. It was found that the thermal conductivity of liquid cesium bismuthides for the indicated compositions and temperatures takes low values from 0.7 to 4.5 W/(m K) typical for liquid salts. The thermal diffusivity and Lorenz number were calculated from the results of thermal conductivity measurements. An analysis of the temperature and concentration dependences of the studied properties indirectly confirms current views on the presence of ordered structures called ionic complexes in alkali metal bismuthide melts, which significantly affect the thermophysical properties of melts and are destroyed at elevated temperatures.
About the authors
A. Sh. Agazhanov
Kutateladze Institute of Thermophysics, Siberian Branch, Russian Academy of Sciences
Email: scousekz@gmail.com
630090, Novosibirsk, Russia
R. N. Abdullaev
Kutateladze Institute of Thermophysics, Siberian Branch, Russian Academy of Sciences
Email: scousekz@gmail.com
630090, Novosibirsk, Russia
A. R. Khairulin
Kutateladze Institute of Thermophysics, Siberian Branch, Russian Academy of Sciences
Email: scousekz@gmail.com
630090, Novosibirsk, Russia
S. V. Stankus
Kutateladze Institute of Thermophysics, Siberian Branch, Russian Academy of Sciences
Author for correspondence.
Email: scousekz@gmail.com
630090, Novosibirsk, Russia
References
- Самсонов Г.В., Абдусалямова М.Н., Черногоренко В.Б. Висмутиды. Киев: Наукова думка, 1977. 138 с.
- Королева О.С., Чулков Е.В. // ФТП. 1992. Т. 26. № 2. С. 223.
- van der Lugt W. // Phys. Scr. 1991. V. 1991. № T39. P. 372. https://doi.org/10.1088/0031-8949/1991/T39/059
- Petric A., Pelton A.D., Saboungi M.-L. // J. Electrochem. Soc. 1988. V. 135. № 11. P. 2754. https://doi.org/10.1149/1.2095424
- Meijer J.A., van der Lugt W. // J. Phys. Condens. Matter. 1989. V. 1. № 48. P. 9779. https://doi.org/10.1088/0953-8984/1/48/024
- Xu R., Kinderman R., van der Lugt W. // J. Phys. Condens. Matter. 1991. V. 3. № 1. P. 127. https://doi.org/10.1088/0953-8984/3/1/010
- Steinleitner G., Freyland W., Hensel F. // Ber. Bunsenges. Phys. Chem. 1975. V. 79. № 12. P. 1186. https://doi.org/10.1002/bbpc.19750791204
- Хайрулин Р.А., Абдуллаев Р.Н., Станкус С.В. // Журн. физ. химии. 2017. Т. 91. № 10. С. 1719. Khairulin R.A., Abdullaev R.N., Stankus S.V. // Russ. J. Phys. Chem. A. 2017. V. 91. № 10. P. 1946. https://doi.org/10.1134/S0036024417100181
- Stankus S.V., Abdullaev R.N., Khairulin R.A. // High Temp-High Press. 2018. V. 47. № 5. P. 403.
- Khairulin R.A., Stankus S.V., Abdullaev R.N. // J. Eng. Thermophys. 2018. V. 27. № 3. P. 303. https://doi.org/10.1134/S1810232818030050
- Khairulin R.A., Abdullaev R.N., Stankus S.V. // Phys. Chem. Liq. 2020. V. 58. № 2. P. 143. https://doi.org/10.1080/00319104.2018.1553042
- Агажанов А.Ш., Абдуллаев Р.Н., Самошкин Д.А., Станкус С.В. // Журн. физической химии. 2021. Т. 95. № 7. С. 971. Agazhanov A.S., Abdullaev R.N., Samoshkin D.A., Stankus S.V. // Russ. J. Phys. Chem. A. 2021. V. 95. № 7. P. 1291. https://doi.org/10.1134/S0036024421070037
- Agazhanov A.Sh., Abdullaev R.N., Samoshkin D.A., Stankus S.V. // Fusion Engineering and Design. 2020. V. 152. № 111456. P. 1. https://doi.org/10.1016/j.fusengdes.2020.111456
- Станкус С.В., Савченко И.В., Яцук О.С., Козловский Ю.М. // Теплофизика и аэромеханика. 2018. Т. 25. № 4. С. 665. Stankus S.V., Savchenko I.V., Yatsuk O.S., Kozlovskii Y.M. // Thermophysics and Aeromechanics. 2018. Т. 25. № 4. С. 639. https://doi.org/10.1134/S0869864318040170
- Савченко И.В., Станкус С.В., Агажанов А.Ш. // ТВТ. 2013. Т. 51. № 2. С. 314. Savchenko I.V., Stankus S.V., Agazhanov A.Sh. // High Temp. 2013. V. 51. № 2. P. 281. https://doi.org/10.1134/S0018151X13010148
- Agazhanov A.S., Abdullaev R.N., Samoshkin D.A., Stankus S.V. // High Temp–High Press. 2018. V. 47. № 4. P. 311.
- An X., Cheng J., Yin H. et al. // Int. J. Heat Mass Transf. 2015. V. 90. P. 872. https://doi.org/10.1016/j.ijheatmasstransfer.2015.07.042
- Агажанов А.Ш., Абдуллаев Р.Н., Самошкин Д.А., Станкус С.В. // Теплофизика и аэромеханика. 2017. Т. 24. № 6. С. 955. Agazhanov A.Sh., Abdullaev R.N., Samoshkin D.A., Stankus S.V. // Thermophysics and Aeromechanics. 2017. V. 24. № 6. P. 927. https://doi.org/10.1134/S0869864317060117
- Hochgesand K., Winter R. // J. Chem. Phys. 2000. V. 112. № 17. P. 7551. https://doi.org/10.1063/1.481328
- van der Aart S.A., Verhoeven V.W.J., Verkerk P. // J. Chem. Phys. 2000. V. 112. № 2. P. 857. https://doi.org/10.1063/1.480612
Supplementary files





