Mixed Network of Hydrogen Bonds in Aqueous Solutions of 3-Amino-1-propanol: Results of Molecular Dynamic Modeling
- Authors: Balabaev N.K.1, Agayan G.M.2, Rodnikova M.N.3, Solonina I.A.3, Razumova A.B.4
-
Affiliations:
- Institute of Mathematical Problems of Biology, Russian Academy of Sciences, Branch of Keldysh Institute of Applied Mathematics, Russian Academy of Sciences
- Moscow State University
- Kurnakov Institute of General and Inorganic Chemistry, Russian Academy of Sciences
- Ushinskii State Pedagogical University
- Issue: Vol 97, No 8 (2023)
- Pages: 1128-1136
- Section: PHYSICAL CHEMISTRY OF SOLUTIONS
- Submitted: 15.10.2023
- Published: 01.08.2023
- URL: https://ogarev-online.ru/0044-4537/article/view/136658
- DOI: https://doi.org/10.31857/S0044453723080022
- EDN: https://elibrary.ru/QTNMWL
- ID: 136658
Cite item
Full Text
Abstract
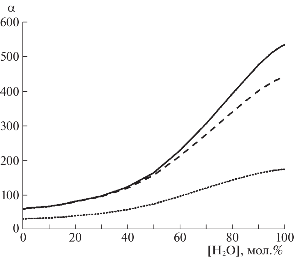
The H2O–3-amino-1-propanol (3AP) system at 300 K was studied by molecular dynamics, graph theory, and Delaunay simplex methods. All the molecules were shown to be bound into a three-dimensional network of hydrogen bonds over the entire range of concentrations in the system. The characteristics of the networks and their concentration dependences were determined. The frequency at which the environment of molecules changes is discussed. The results were compared with those for mixed networks in aqueous solutions of 1,3-propanediol and monoethanolamine.
About the authors
N. K. Balabaev
Institute of Mathematical Problems of Biology, Russian Academy of Sciences, Branch of Keldysh Institute of Applied Mathematics, Russian Academy of Sciences
Email: rodnikova@igic.ras.ru
125047, Moscow, Russia
G. M. Agayan
Moscow State University
Email: rodnikova@igic.ras.ru
119991, Moscow, Russia
M. N. Rodnikova
Kurnakov Institute of General and Inorganic Chemistry, Russian Academy of Sciences
Email: rodnikova@igic.ras.ru
119991, Moscow, Russia
I. A. Solonina
Kurnakov Institute of General and Inorganic Chemistry, Russian Academy of Sciences
Email: rodnikova@igic.ras.ru
119991, Moscow, Russia
A. B. Razumova
Ushinskii State Pedagogical University
Author for correspondence.
Email: rodnikova@igic.ras.ru
150000, Yaroslavl, Russia
References
- Baudot A., Cacela C., Duarte M.L., Fausto R. // Cryobiology. 2002. V. 44. P. 150
- Cordeiro R.M., Stirling S., Fahy G.M., Magalhaes J.P. // Cryobilogy. 2005. V. 71. P. 405.
- Alcantara M.I., Silva H.R., Romanielo L.L. et al. // J. Mol. Liquids 2020.V. 306. P. 112775.
- Cacela C., Duarte M.L., Fausto R. // Spectochimica Acta. Part A. 2000. V. 56. P. 1051.
- Kononova E.G., Solonina I.A., Rodnikova M.N., Shirokova E.V. // Mendeleev Commun. 2022. V. 32. P. 837.
- Cacela C., Baudot A, Duarte M.L. et al. // J. Mol. Structure 2003. V. 649. P. 143.
- Агаян Г.М., Балабаев Н.К., Родникова М.Н. // РЭНСИТ 2020. Т. 12. № 1. С. 61.
- Солонина И.А., Родникова М.Н., Киселев М.Р., Хорошилов А.В. // Журн. физ. химии. 2015. Т. 89. № 5. С. 882.
- Родникова М.Н. // Там же. 1993. Т. 67. № 2. С. 275.
- Christenser J., Iraff M. // J. Chem. Soc. A. 1969. P. 1212.
- Разумова А.Б. Особенности физико-химических свойств аминоспиртов и их водных растворов. 1994. Ярославль. Дисс. … канд. хим. наук.
- Klapshin Yu.P., Solonina I.A., Rodnikova M.N. et al. // Mendeleev Commun. 2020. V. 30. P. 534.
- Фишер И.З. Статистическая теория жидкостей. М.: 1961.
- Rodnikova M.N., Agayan G.M., Balabaev N.K. // J. Mol. Liquids. 2019. V. 283. P. 374.
- Wang J., Cieplak P., Kollman P.A. // J. Comp. Chem. 2000. V. 21. P. 1049.
- Toukan K., Rahman A. // Phys. Rev. B 1985. V. 31. № 5. P. 2643.
- Белащенко Д.К., Родникова М.Н., Балабаев Н.К., Солонина И.A. // Журн. физ. химии. 2013. Т. 87. № 7. С. 1171.
- Маленков Г.Г. // Журн. структур. химии. 2006. Т. 47. Приложение. S. 5.
- Kumar R., Schmidt J.R., Skinner J.L. // J. Chem. Phys. 2007. V. 126. P. 204107.
- Оре О. Теория графов. М.: Наука, 1968.
- Tarjan R.E. // SIAM J.Comput. 1972. V. 1. № 2. P. 146.
- Балабаев Н.К., Агаян Г.М., Родникова М.Н. // Журн. физ. химии. 2022. Т. 96. № 5. С. 668.
- Родникова М.Н., Агаян Г.М., Балабаев Н.К. и др. // Там же. 2021. Т. 95. № 5. С. 770.
- Медведев Н.Н. Метод Вороного–Делоне в исследовании структуры некристаллических систем. Новосибирск: СО РАН, 2000.
Supplementary files













