Mechanism of the Thermolysis of Magnesium Perylenetetracarboxylates
- Authors: Naifert S.A.1, Zherebtsov D.A.1, Uchaev D.A.1, Morozov R.S.1, Smolyakova K.R.1, Orlova E.M.1, Pan’kova A.A.1, Sharova A.L.1
-
Affiliations:
- South Ural State University
- Issue: Vol 97, No 6 (2023)
- Pages: 850-859
- Section: PHYSICAL CHEMISTRY OF NANOCLUSTERS, SUPRAMOLECULAR STRUCTURES, AND NANOMATERIALS
- Submitted: 15.10.2023
- Published: 01.06.2023
- URL: https://ogarev-online.ru/0044-4537/article/view/136627
- DOI: https://doi.org/10.31857/S0044453723060201
- EDN: https://elibrary.ru/KCONVW
- ID: 136627
Cite item
Full Text
Abstract
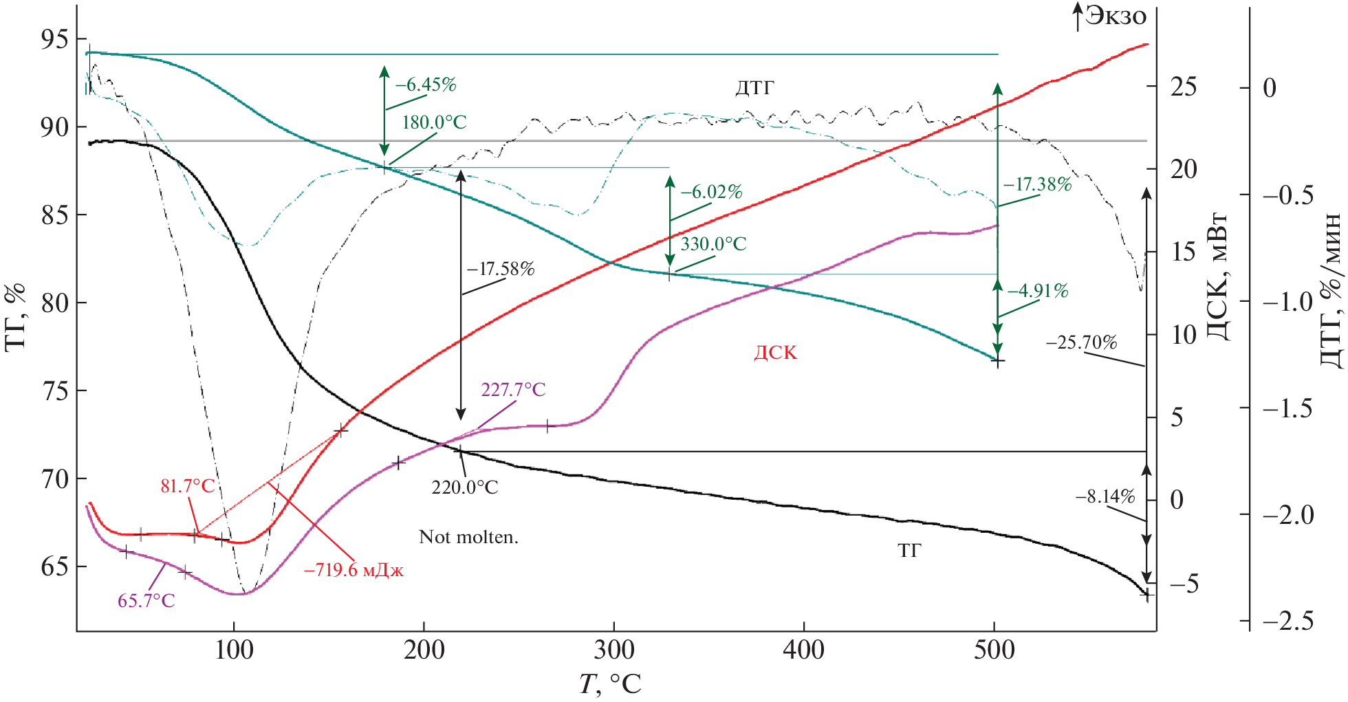
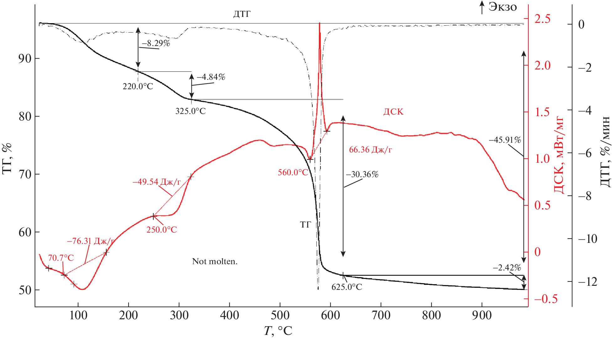
Black-red and orange magnesium perylene-3,4,9,10-tetracarboxylate species are synthesized in the ion-exchange reaction at room temperature and by boiling an aqueous solution, respectively. Upon heating the two species to 500°C in argon, they reversibly lose 19–27 wt % of their crystallization water, and the products become black. X-ray diffraction analysis results show the preservation of the layered structure upon heating, which is confirmed via transmission electron microscopy. Exposure to a humid atmosphere rehydrates and restores the original structure. Thermolysis to 1000°С in argon produces a composite of MgO nanoparticles in a porous glassy carbon matrix. The stability of perylenetetracarboxylates up to 500°C makes them a promising candidate for synthesizing metal–organic frameworks.
About the authors
S. A. Naifert
South Ural State University
Email: zherebtsov_da@yahoo.com
454080, Chelyabinsk, Russia
D. A. Zherebtsov
South Ural State University
Email: zherebtsov_da@yahoo.com
454080, Chelyabinsk, Russia
D. A. Uchaev
South Ural State University
Email: zherebtsov_da@yahoo.com
454080, Chelyabinsk, Russia
R. S. Morozov
South Ural State University
Email: zherebtsov_da@yahoo.com
454080, Chelyabinsk, Russia
K. R. Smolyakova
South Ural State University
Email: zherebtsov_da@yahoo.com
454080, Chelyabinsk, Russia
E. M. Orlova
South Ural State University
Email: zherebtsov_da@yahoo.com
454080, Chelyabinsk, Russia
A. A. Pan’kova
South Ural State University
Email: zherebtsov_da@yahoo.com
454080, Chelyabinsk, Russia
A. L. Sharova
South Ural State University
Author for correspondence.
Email: zherebtsov_da@yahoo.com
454080, Chelyabinsk, Russia
References
- Кустов Л.М., Куделин А.И., Исаева В.И. // Журн. физ. химии. 2019. Т. 93. № 12. С. 1763. https://doi.org/10.1134/S004445371912015X
- Zulys A., Asrianti D., Gunlazuardi J. // The 8th International Conference of the Indonesian Chemical Society (ICICS) 2019. AIP Conf. Proc. 2019. V. 2243 (1): 020035. https://doi.org/10.1063/5.0005001.
- Sondermann L., Jiang W., Shviro M. et al. // Molecules. 2022. V. 27. P. 1241. https://doi.org/10.3390/molecules27041241
- Sun X., Yu Q., Zhang F. et al. // Catal. Sci. Technol. 2016. V. 6. P. 3840–3844. https://doi.org/10.1039/C5CY01716E
- Adawiah A., Yudhi M.D.L., Zulys A. // J. Kimia Valensi. 2021. V. 7 (2). P. 129. https://doi.org/10.15408/jkv.v7i2.22267
- Mo F., Han Q., Chen M. et al. // Nanoscale. 2021. V. 13. P. 16244. https://doi.org/10.1039/D1NR03300J
- Wu H.B., Lou X.W. // Sci. Adv. 2017. V. 3. P. 9252. https://doi.org/10.1126/sciadv.aap9252
- Полозов М.А., Найферт С.А., Полозова В.В. и др. // Вестн. Южно-Уральского гос. ун-та. Серия: Химия. 2019. Т. 11. № 2. С. 39. https://doi.org/10.14529/chem190204
- Сактхидхаран Ч.П., Полозов М.А., Полозова В.В. и др. // Журн. физ. химии. 2020. Т. 94. № 7. С. 981. https://doi.org/10.31857/S0044453720070250
- Толстогузов Д.С., Жеребцов Д.А., Груба О.Н. и др. // Там же. 2022. Т. 96. № 1. С. 101. https://doi.org/10.31857/S0044453722010241
- Pierson H.O. Handbook of Carbon, Graphite, Diamond and Fullerene: Properties, Processing and Applications. New Jersey: Noyes Publications, 1993. 399 c.
- Жеребцов Д.А., Найферт С.А., Полозов М.А. и др. // Журн. физ. химии. 2021. Т. 95. № 12. С. 1882. https://doi.org/10.31857/S0044453721120232
- Majumder M., Sheath P., Mardel J.I. et al. // Chem. Mater. 2012. V. 24. P. 4647. https://doi.org/10.1021/cm301726k
- Zhao J., Li M., Sun J. et al. // Chem. Eur. J. 2012. V. 18. P. 3163. https://doi.org/10.1002/chem.201103415
- Sikdar N., Dutta D., Haldar R. et al. // J. Phys. Chem. C. 2016. V. 120. 25. P. 13622. https://doi.org/10.1021/acs.jpcc.6b04347
- Huang M., Schilde U., Kumke M. et al. // J. Am. Chem. Soc. 2010. V. 132. 11. P. 3700–3707. https://doi.org/10.1021/ja906667x
- Ronfeldt P., Reinsch H., Poschmann M.P.M. et al. // Cryst. Growth Des. 2020. V. 20. 7. P. 4686–4694. https://doi.org/10.1021/acs.cgd.0c00478
- Джардималиева Г.И., Помогайло А.Д. Мономерные и полимерные карбоксилаты металлов. М.: Физматлит, 2009. 400 с.
Supplementary files













