Phase Equilibria in H2O–CH3SO3H System: Experiment and Thermodynamic Modeling
- Authors: Belova E.V.1, Kapelushnikov A.S.2, Voskov A.L.1
-
Affiliations:
- Department of Chemistry, Moscow State University, Moscow, Russia
- Materials Science Department, Moscow State University
- Issue: Vol 97, No 7 (2023)
- Pages: 925-931
- Section: CHEMICAL THERMODYNAMICS AND THERMOCHEMISTRY
- Submitted: 15.10.2023
- Published: 01.07.2023
- URL: https://ogarev-online.ru/0044-4537/article/view/136609
- DOI: https://doi.org/10.31857/S0044453723070038
- EDN: https://elibrary.ru/SJXSBT
- ID: 136609
Cite item
Full Text
Abstract
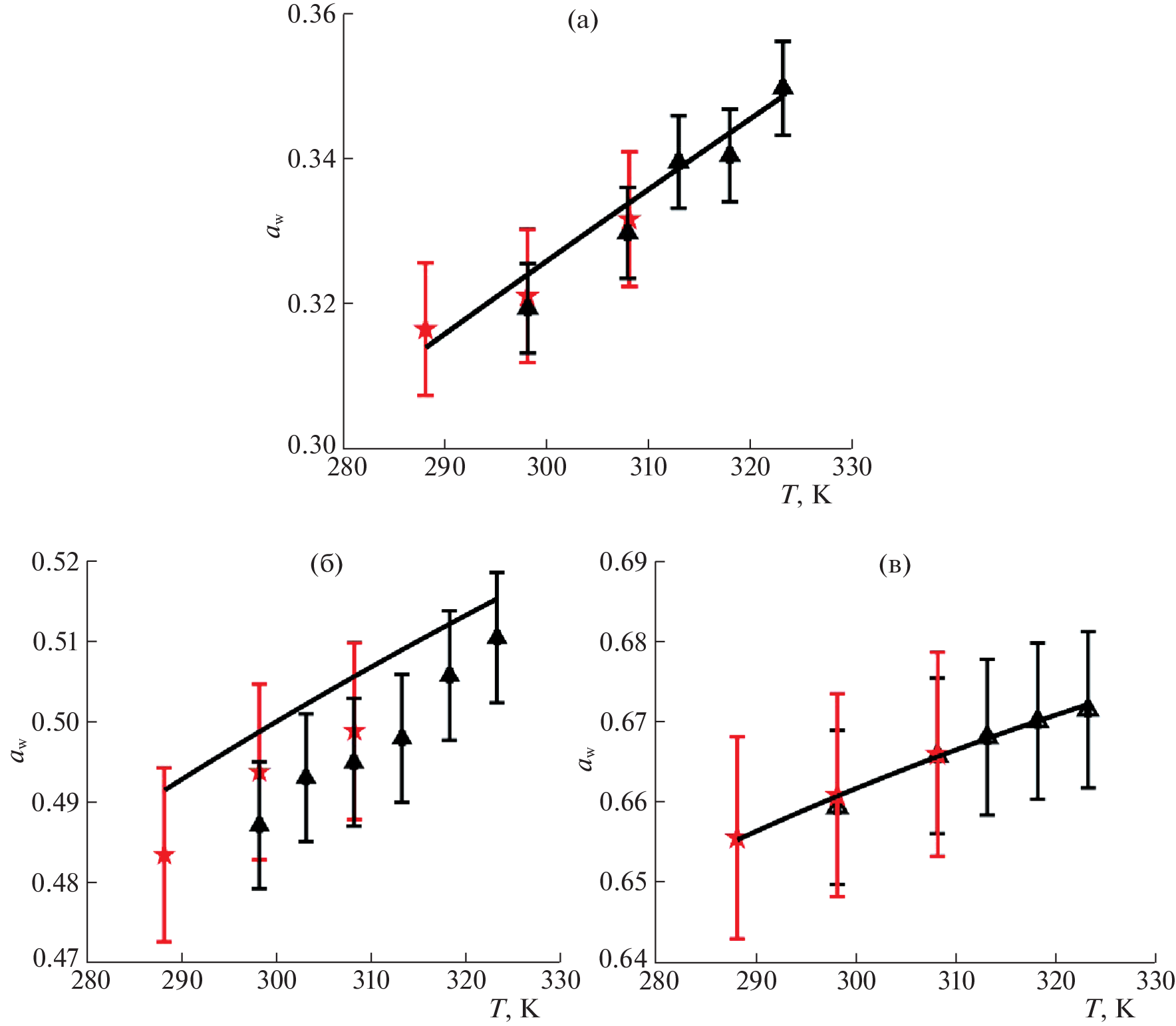
Water activities in H2O–CH3SO3H system were obtained by the dew point method and by the static method of a vapor pressure measurement in a temperature range 288.15–323.15 K. Pitzer–Simonson–Clegg model parameters were calculated. The parameters describe adequately properties of a liquid phase in a temperature range 198.15–323.15 К and with an acid concentration up to 80 wt %. Stability parameters were determined for two solid phases, HMS·H2O and HMS·3H2O (HMS = CH3SO3H).
About the authors
E. V. Belova
Department of Chemistry, Moscow State University, Moscow, Russia
Email: catrine2@mail.ru
Moscow, Russia
A. S. Kapelushnikov
Materials Science Department, Moscow State University
Email: catrine2@mail.ru
Moscow, Russia
A. L. Voskov
Department of Chemistry, Moscow State University, Moscow, Russia
Author for correspondence.
Email: catrine2@mail.ru
Moscow, Russia
References
- Clegg S.L., Brimblecombe P. // Environ. Technol. 1985. T. 6. C. 269.
- Pasteur E.C., Mulvaney R. // J. Geophys. Res. Atmos. 2000. T. 105. C. 11525.
- Güner F.E.G., Sakurai T., Hondoh T. // Eur. J. Mineral. 2013. T. 25. C. 79.
- Choczaj B.G., Bartelme M.J., Lentsch S.E. и дp. Limescale and soap scum removing composition containing methane sulfonic acid: a.c. US8722609B2. 2014.
- Bengoa L.N., Pary P., Conconi M.S. и дp. // Electrochim. Acta. 2017. T. 256. C. 211.
- Ahn J., Wu J., Lee J. // Hydrometallurgy. 2019. T. 187. C. 54.
- Wang B., Lin X.Y., Tang Y. и дp. // J. Power Sources. 2019. T. 436. C. 226828.
- Berthoud A. // Helv. Chim. Acta. 1929. T. 12. C. 859.
- Gregor H.P., Rothenberg M., Fine N. // J. Phys. Chem. 1963. T. 67. C. 1110.
- Covington A.K., Robinson R.A., Thompson R. // J. Chem. Eng. Data. 1973. T. 18. C. 422.
- Clegg S.L., Pitzer K.S., Brimblecombe P. // J. Phys. Chem. 1992. T. 96. C. 9470.
- Белова Е.В., Финкельштейн Д.И., Максимов А.И., Успенская И.А. // ЖФХ. 2019. Т. 93. С. 163.
- Малютин А.С., Коваленко Н.А., Успенская И.А. // ЖНХ. 2020. Т. 65. С. 781
- Термодинамические свойства индивидуальных веществ. Т. 1 (2) // Под. ред. Глушко В.П., Гурвича Л.В. М.: Наука, 1978. С. 45–46.
- Dykyj J., Svoboda J., Wilhoit R.C. и дp. Inorganic Compounds, in Organic Compounds, C1 to C57. Part 1, Vapor Pressure of Chemicals. Vapor Pressure and Antoine Constants for Oxygen Containing Organic Compounds, Landolt–Börnstein – Group IV Physical Chemistry, 20B. New York: Springer, 2000. C. 14.
- Clarke J.H.R., Woodward L.A. // J. Chem. Soc. Faraday Trans. 1966. T. 62. C. 2226.
- Covington A.K., Lilley T.H. // J. Chem. Soc. Faraday Trans. 1967. T. 63. C. 1749.
- Covington A.K., Thompson R. // J. Solution Chem. 1974. T. 3. C. 603.
- Telfah A., Majer G., Kreuer K.D. и дp. // Solid State Ion. 2010. T. 181. C. 461.
Supplementary files










