Рекуррентная оценка плотности вероятности фаз модулированных сигналов
- Авторы: Маслаков М.Л.1,2, Егоров В.В.1,2
-
Учреждения:
- Российский институт мощного радиостроения
- Санкт-Петербургский государственный университет аэрокосмического приборостроения
- Выпуск: Том 68, № 5 (2023)
- Страницы: 432-437
- Раздел: ТЕОРИЯ И МЕТОДЫ ОБРАБОТКИ СИГНАЛОВ
- URL: https://ogarev-online.ru/0033-8494/article/view/138239
- DOI: https://doi.org/10.31857/S0033849423050121
- EDN: https://elibrary.ru/UHWMHT
- ID: 138239
Цитировать
Полный текст
Аннотация
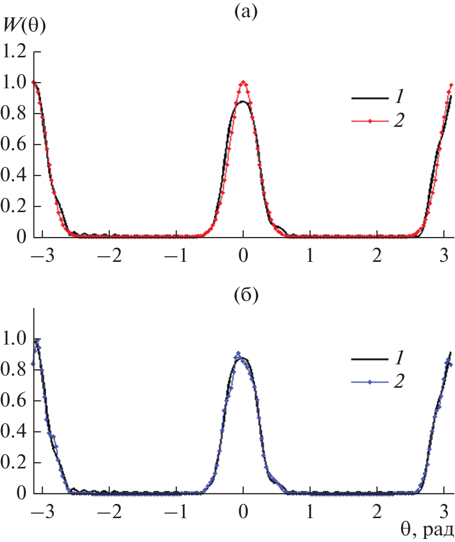
Рассмотрена задача построения эмпирической плотности распределения вероятности фаз сигнала с фазовой манипуляцией, а также методы непараметрического оценивания. Показан переход от метода аппроксимации с использованием базисных функций к методу оконных ядерных функций на базе гармонических функций. Представлены результаты численных экспериментов.
Об авторах
М. Л. Маслаков
Российский институт мощного радиостроения; Санкт-Петербургский государственный университет аэрокосмического приборостроения
Email: maslakovml@gmail.com
Российская Федерация, 199178, Санкт-Петербург, 11-я линия В.О., 66; Российская Федерация, 190000, Санкт-Петербург, ул. Большая Морская, 67, лит. А
В. В. Егоров
Российский институт мощного радиостроения; Санкт-Петербургский государственный университет аэрокосмического приборостроения
Автор, ответственный за переписку.
Email: maslakovml@gmail.com
Российская Федерация, 199178, Санкт-Петербург, 11-я линия В.О., 66; Российская Федерация, 190000, Санкт-Петербург, ул. Большая Морская, 67, лит. А
Список литературы
- Mardia K.V., Jupp P.E. Directional Statistics. Chichester: John Wiley & Sons, Inc, 2000.
- Jammalamadaka S.R., SenGupta A. Topics in Circular Statistics. Singapore: World Sci. Publ. Co., 2001.
- Егоров В.В, Смаль М.С. // Телекоммуникации. 2012. № 8. С. 2.
- Яковлева Т.В. // Компьютерные исследования и моделирование. 2018. Т. 10. № 5. С. 511.
- Егоров В.В., Смаль М.С. // Телекоммуникации. 2013. № 5. С. 29.
- Мартынов Ю.В. Оценка качества передачи дискретной информации по статистическим характеристикам каналов связи. Автореф. канд. дис. … техн. наук. Л.: ЛЭИС им. М.А. Бонч-Бруевича, 1971. 15 с.
- Смаль М.С. Бестестовые способы оценивания состояния коротковолнового радиоканала в адаптивных радиолиниях. Автореф. канд. дис. … техн. наук. СПб.: ГУАП, 2018. 19 с.
- Зяблов В.В., Коробков Д.Л., Портной С.Л. Высокоскоростная передача сообщений в реальных каналах. М.: Радио и связь, 1991.
- Тихонов В.И. Статистическая радиотехника. М.: Сов. радио, 1966.
- Сирота А.А. Методы и алгоритмы анализа данных и их моделирование в MATLAB. СПб.: БХВ-Петербург, 2016.
- Жук В.В., Нантон Г.И. Тригонометрические ряды Фурье и элементы теории аппроксимации. Л.: Изд-во ЛГУ, 1983.
- Жук В.В. Аппроксимация периодических функций. Л.: Изд-во ЛГУ, 1982.
- Толстов Г.П. Ряды Фурье. М.: Наука, 1980.
- Губарев В.В. Алгоритмы статистических измерений. М.: Энергоатомиздат, 1985.
- Parzen E. // Ann. Mathematical Statistic. 1962. V. 33(3). P. 1065.
- Иглин С.П. Теория вероятностей и математическая статистика на базе MATLAB. Харьков: НТУ “ХПИ”, 2006.
- Silverman B.W. Density Estimation for Statistics and Data Analysis. L.: Chapman & Hall/CRC, 1986.
- Грешилов А.А. Математические методы принятия решений. М.: МГТУ им. Н.Э. Баумана, 2014.
- Федосов В.П. Прикладные математические методы в статистической радиотехнике. Таганрог: Изд-во ТРТУ, 1998.
- ARINC Characteristic 635-4. HF Data Link Protocol. Dec. 22, 2003. Annapolis: Aviation Radio Inc. (ARINC), 2003.
Дополнительные файлы






