Тренды критической частоты fof2 по данным станций Cеверного и >жного полушарий
- Авторы: Данилов А.Д.1, Константинова А.В.1, Бербенева Н.А.2
-
Учреждения:
- Институт прикладной геофизики им. акад. Е.К. Федорова Росгидромета
- Московский государственный университет им. М.В. Ломоносова
- Выпуск: Том 64, № 3 (2024)
- Страницы: 386-399
- Раздел: Статьи
- URL: https://ogarev-online.ru/0016-7940/article/view/274417
- DOI: https://doi.org/10.31857/S0016794024030059
- EDN: https://elibrary.ru/SMXYCX
- ID: 274417
Цитировать
Полный текст
Аннотация
Представлены результаты поиска долговременных трендов критической частоты слоя F2, foF2, на основании наблюдения методом вертикального зондирования на трех станциях Северного полушария (Juliusruh, Boulder и Moscow) и трех станциях Южного полушария (Townsville, Hobart и Canberra). Использовался метод, разработанный и неоднократно описанный авторами ранее. Анализировались данные для двух зимних месяцев (январь и февраль в Северном полушарии и июнь и июль в Южном) и для пяти околополуденных моментов местного времени. Для устранения эффектов солнечной активности использовались три индекса солнечной активности (F30, Ly-α и MgII). Для всех рассмотренных ситуаций (станция, месяц, момент LT, индекс солнечной активности) получены отрицательные тренды. Они хорошо согласуются друг с другом как при сравнении между собой отдельно станций Северного и Южного полушарий, так и при сравнении станций обоих полушарий.
Полный текст
1. ВВЕДЕНИЕ
Проблема долговременных трендов параметров ионосферы и особенно критической частоты слоя F2, foF2, хорошо известна, и ей посвящено много работ. Обсуждение проблемы и соответствующие ссылки можно найти в обзорной работе Данилова и Константиновой [2020], а также в обзорных работах Laštovička [2017; 2022]. Наиболее подробное обсуждение современного состояния исследований приводится в недавней работе Laštovička [2023].
Авторами был разработан и неоднократно использовался метод определения долговременных трендов параметров ионосферного слоя F2. Достаточно подробное описание метода можно найти в работе Данилова и Бербеневой [2023а]. Здесь мы напомним только, что метод основан на сравнении величин foF2 в течение двух последних десятилетий с величинами foF2 для тех же условий в течение “эталонного” периода 1957–1980 гг., когда еще не было трендов foF2 антропогенной природы. Между соответствующими величинами foF2 вычисляется разница ΔfoF2, изменение которой со временем в течение анализируемого периода и дает искомый тренд k(foF2).
При определении трендов ионосферных параметров очень важен вопрос о выборе индексов солнечной активности (СА) для устранения эффектов СА. Вопрос обсуждался многими исследователями. Отметим здесь лишь две работы аргентинской группы [De Haro Barbás and Elias, 2020; De Haro Barbás et al., 2021] и публикации Laštovička [2022] и Laštovička and Burešová [2023].
Авторами работ [Данилов и Бербенева, 2023б; 2024; Данилов и др., 2023в; Danilov and Berbeneva, 2023] подробно рассматривался вопрос о качестве описания изменения foF2 со временем различными индексами СА. Вывод этих работ состоит в том, что наилучшее описание обеспечивает индекс F30. Далее следуют индексы Ly-α и MgII. Наихудшим для такого описания является индекс Rz. Следуя этим результатам, мы в данной работе использовали для устранения эффектов СА индексы F30, Ly-α и MgII.
В статье Данилова и Бербеневой [2023а] были рассмотрены тренды foF2 по данным ст. Juliusruh до 2022 г. Более подробный анализ полного суточного хода этих трендов был представлен в работе Данилова и др. [2023б].
Целью данной работы явился анализ трендов критической частоты ионосферного слоя F2 по данным нескольких станций, расположенных как в Северном, так и в Южном полушариях. Мы анализировали только среднеширотные (φ =30–60o) станции ВЗ, для которых нам удалось найти в банках данных месячные медианы foF2 для обоих периодов (1957–1980 и 1996–2023 гг.).
Поскольку наиболее значимые тренды foF2 наблюдаются днем, а ночью они близки к нулю, (подробнее см. [Данилов и др., 2023б]) мы рассматривали только пять околополуденных моментов LT. Точно так же, поскольку эти тренды хорошо выражены зимой, но практически отсутствуют летом (см. [Данилов и Бербенева, 2023а]), мы провели поиск этих трендов для двух зимних месяцев. Это январь и февраль для станций Северного полушария, а также июнь и июль для станций Южного полушария.
2. СТАНЦИИ СЕВЕРНОГО ПОЛУШАРИЯ
На рис. 1–4 представлены примеры изменения со временем величины ΔfoF2. Чтобы не перегружать статью рисунками, мы приводим их только для двух станций – Moscow и Boulder. Аналогичные рисунки для ст. Juliusruh можно найти в работе Данилова и Бербеневой [2023а]. Сводка результатов для всех станций Северного полушария будет представлена ниже в таблицах. Все тренды величины k(foF2) на всех рисунках и в таблицах приводятся в единицах МГц/год. На рисунках приводятся величины коэффициента определенности R2 согласно критерию Фишера, которые позволяют судить о статистической значимости получаемых зависимостей.
Рис. 1. Примеры изменения ΔfoF2 со временем для ст. Moscow в январе.
Рис. 2. Примеры изменения ΔfoF 2 со временем для ст. Moscow в феврале.
Рис. 3. Примеры изменения ΔfoF2 со временем для ст. Boulder в январе.
Рис. 4. Примеры изменения ΔfoF2 со временем для ст. Boulder в феврале.
Как видно из приведенных рисунков, для обоих зимних месяцев на обеих станциях наблюдается систематическое уменьшение величины ΔfoF2 со временем, которое дает отрицательный тренд. Разброс точек относительно аппроксимирующей их прямой линии несколько различается (что естественно), однако все рисунки позволяют утверждать (в соответствии с приведенными на них величинами R2), что получаемый тренд имеет высокую статистическую значимость. Для справки отметим, что для имеющегося на каждом рисунке количества точек 18 при величине R2 выше 0.70 статистическая значимость получаемых трендов S превышает 99%.
Необходимо сделать следующее пояснение. Не следует удивлятьcя тому, что поведение точек относительно аппроксимирующей линии при заданном месяце может быть различным для одной станции, но для различных часов LT. Приводимые в банках величины медиан foF2 содержат неизбежные ошибки (мы писали об этом и приводили примеры в работе [Данилов и Константинова, 2013]). Кроме того, они могут отражать наличие в данном месяце дней с магнитными возмущениями, нарушая тем самым зависимость от времени, которую мы анализируем. Все это и приводит к разбросу (иногда достаточно сильному) точек относительно аппроксимации. На наш взгляд, важным является статистическая сторона вопроса – во всех проанализированных ситуациях (станция, месяц, индекс СА, момент LT) наблюдается уменьшение ΔfoF2 со временем, дающее отрицательный тренд foF2.
Штриховой линией на всех рисунках показано изменение ΔfoF2 в последние годы. Рассматривались точки, для которых наклон этого изменения увеличивался, указывая на более сильный отрицательный тренд. При этом первой точкой была та, где начиналось это изменение, а последней всегда была последняя точка рассматриваемого интервала. Мы вернемся к обсуждению недавних лет ниже.
По графику зависимости ΔfoF2 от времени для каждой ситуации (станция, месяц, индекс СА) строилась соответствующая таблица с полученными параметрами. Чтобы не перегружать статью таблицами, мы приводим в табл. 1 в качестве примера результаты только для двух ситуаций. В этой таблице для каждой ситуации приводится тренд k(foF2) для всех пяти моментов LT для всего анализируемого периода 1996–2023 гг. с соответствующими величинами R2, а также тренд для недавних лет также c величинами R2.
Таблица 1. Величины k(foF2) для двух ситуаций
Moscow, январь, MgII | Boulder, февраль, Ly–α. | |||||||
LT | 1996–2023 | R2 | недавно | R2 | 1996–2023 | R2 | недавно | R2 |
10:00 | –0.025 | 0.85 | –0.100 | 0.8 | –0.028 | 0.70 | –0.044 | 0.95 |
11:00 | –0.024 | 0.71 | –0.069 | 0.86 | –0.034 | 0.76 | –0.044 | 0.95 |
12:00 | –0.042 | 0.89 | –0.112 | 0.95 | –0.029 | 0.75 | –0.050 | 0.93 |
13:00 | –0.043 | 0.90 | –0.090 | 0.73 | –0.030 | 0.65 | –0.040 | 0.70 |
14:00 | –0.031 | 0.80 | –0.068 | 0.89 | –0.031 | 0.60 | –0.011 | 0.32 |
Суммарный результат по каждой станции представлен в таблицах 2 и 3. В этих таблицах даны величины k(foF2) для периода 1996–2023 гг. для пяти моментов LT для каждого индекса СА. В строке “Средн.” приводится среднее значение по всем пяти моментам LT. В следующей строке приводится среднеквадратическая ошибка (SD) при усреднении этих пяти величин. В столбце “Средн.” приводится результат усреднения трех средних для каждого индекса СА величин и соответствующая величина SD.
Таблица 2. Величины k(foF2) для 1996–2023 гг. для ст. Moscow
январь | февраль | ||||||||
LT | F30 | Ly–a | MgII | средн. | LT | F30 | Ly–a | MgII | средн. |
10:00 | –0.007 | –0.025 | 10:00 | –0.032 | –0.025 | –0.048 | |||
11:00 | –0.023 | –0.024 | 11:00 | –0.029 | –0.027 | –0.050 | |||
12:00 | –0.027 | –0.021 | –0.042 | 12:00 | –0.034 | –0.021 | –0.043 | ||
13:00 | –0.019 | –0.043 | 13:00 | –0.038 | –0.028 | –0.048 | |||
14:00 | –0.023 | –0.022 | –0.031 | 14:00 | –0.044 | –0.035 | –0.042 | ||
средн. | –0.020 | –0.022 | –0.033 | –0.025 | средн | –0.035 | –0.027 | –0.046 | –0.036 |
SD | 0.008 | 0.001 | 0.009 | 0.007 | SD | 0.006 | 0.005 | 0.003 | 0.010 |
Таблица 3. Величины k(foF2) для 1996–2023 гг. для ст. Boulder
январь | февраль | ||||||||
LT | F30 | Ly–α | MgII | средн. | LT | F30 | Ly–a | MgII | средн. |
10:00 | –0.034 | –0.030 | –0.039 | 10:00 | –0.035 | –0.028 | –0.040 | ||
11:00 | –0.020 | –0.017 | –0.027 | 11:00 | –0.029 | –0.034 | –0.043 | ||
12:00 | –0.034 | –0.025 | –0.035 | 12:00 | –0.021 | –0.029 | –0.042 | ||
13:00 | –0.027 | –0.020 | –0.025 | 13:00 | –0.026 | –0.030 | –0.043 | ||
14:00 | –0.025 | –0.021 | –0.032 | 14:00 | –0.024 | –0.031 | –0.042 | ||
средн. | –0.028 | –0.023 | –0.032 | –0.028 | средн. | –0.027 | –0.030 | –0.042 | –0.033 |
SD | 0.006 | 0.005 | 0.006 | 0.005 | SD | 0.005 | 0.002 | 0.001 | 0.008 |
Таблица 2 показывает, что для ст. Moscow для двух индексов СА (F30 и MgII) для всех пяти моментов LT получаются достаточно близкие величины k(foF2), которые позволяют после усреднения получить средний тренд для околополуденных часов с относительно небольшой величиной SD.
Исключение составляет индекс Ly–α, для которого для трех моментов LT не удается получить систематического изменения ΔfoF2 со временем – точки на рисунках типа рис. 1–4 ведут себя хаотически. Поскольку при анализе всех моментов LT в данной ситуации используются одни и те же значения индекса Ly–α, причина эффекта может лежать только в ошибках в данных о медианах foF2 для 10:00, 11:00 и 13:00 LT, поскольку для 12:00 и 14:00 LT получается обычный ход ΔfoF2 со временем, дающий разумные величины k(foF2).
Видно также, что средние околополуденные величины k(foF2) достаточно близки для всех трех индексов СА. Например, для ст. Moscow в феврале, когда не обнаружено указанных проблем с трендами при использовании индекса Ly–α, величины k(foF2) составляют –0.027, –0.030 и –0.042 МГц/год при SD в пределах 0.003–0.006 МГц/год. Для ст. Boulder проблем с трендами при использовании Ly–α не обнаружено – и в январе, и в феврале тренды, получаемые с помощью всех трех индексов СА, близки между собой.
Интересно сравнить также тренды, получаемые для каждого месяца после усреднения по всем моментам LT и индексам СА на разных станциях. В январе это –0.025 МГц/год для ст. Moscow и –0.028 МГц/год для ст. Boulder. В феврале эти величины равны, соответственно, –0.036 МГц/год и –0.033 МГц/год. Лучшего согласия ожидать просто невозможно.
В работе Данилова и др. [2023а] приведены результаты детального анализа суточных вариаций трендов foF2 по данным ст. Juliusruh. В указанной работе показано, что в дневные часы в суточном ходе k(foF2) наблюдается “плато”: в течение 5–7 часов величины foF2 почти не меняются. Для сравнения с приведенными выше результатами мы приводим в табл. 4 величины k(foF2) для этого “плато” из указанной статьи.
Таблица 4. Величины k(foF2) и длительность дневного “плато” для ст. Juliusruh
январь | февраль | ||
LT | k(foF2) | LT | k(foF2) |
11:00–18:00 | –0.038 | 11:00–18:00 | –0.041 |
13:00–18:00 | –0.027 | 11:00–18:00 | –0.034 |
10:00–18:00 | –0.031 | 11:00–18:00 | –0.048 |
Как видно из этой таблицы, величины k(foF2) в дневное время по данным ст. Juliusruh лишь немного больше, чем соответствующие величины для ст. Moscow и Boulder в таблицах 2 и 3. В целом, на наш взгляд, согласие результатов для всех трех станций является хорошим.
3. СТАНЦИИ ЮЖНОГО ПОЛУШАРИЯ
Для сравнения с результатами для станций Северного полушария, описанными в предыдущем параграфе, мы провели поиски трендов тем же способом по данным станций Австралийского региона: Townsville, Hobart и Canberra. Выбор станций был обусловлен рассматриваемым интервалом средних широт и доступностью медиан foF2 за два необходимых для нашего метода периода (1957–1980 и 1996–2023 гг.) – эти медианы представлены на сайте Австралийского Центра Прогнозов Космической погоды.
Поскольку в этом параграфе речь идет о станциях Южного полушария, мы анализировали два зимних месяца июнь и июль. Так же, как и при анализе станций Северного полушария, для удаления эффектов солнечной активности мы использовали три индекса СА (F30, MgII и Ly–α), которые, согласно нашим предыдущим исследованиям, являются наилучшими для описания зависимости foF2 от СА. Анализировались те же пять околополуденных моментов LT, что и в предыдущем параграфе.
Результаты близки к результатам, полученным в предыдущем параграфе. Примеры зависимостей ΔfoF2 от индексов СА приведены на рис. 5 и 6 для ст. Townsville, на рис. 7 и 8 для ст. Hobart и на рис. 9 и 10 для ст. Canberra.
Рис. 5. Примеры изменения ΔfoF2 со временем для ст. Townsville в июне.
Рис. 6. Примеры изменения ΔfoF2 со временем для ст. Townsville в июле.
Рис. 7. Примеры изменения ΔfoF2 со временем для ст. Hobart в июне.
Рис. 8. Примеры изменения ΔfoF2 со временем для ст. Hobart в июле.
Рис. 9. Примеры изменения ΔfoF2 со временем для ст. Canberra в июне.
Рис. 10. Изменение ΔfoF2 со временем для ст. Canberra в июле.
Как видно из приведенных рисунков, для обоих зимних месяцев на всех трех станциях наблюдается систематическое уменьшение величины ΔfoF2 со временем, которое дает отрицательный тренд. Как и на рисунках 1–4, разброс точек относительно аппроксимирующей их прямой линии несколько различается (что естественно), однако все рисунки позволяют утверждать (в соответствии с приведенными на них величинами R2), что получаемый тренд имеет высокую статистическую значимость. Отметим, что, как и для станций Северного полушария, в последние несколько лет наблюдается усиление отрицательного тренда (см. ниже).
Для каждой ситуации (станция, месяц) строилась таблица, аналогичная табл. 1. Суммарный результат по каждой станции представлен в таблицах 5, 6 и 7.
Таблица 5. Тренды в МГц/год для 1996–2023 гг. в июне на ст. Townsville и Hobart
Townsville | Hobart | |||||||
LT | F30 | Ly–a | MgII | сред. | F30 | Ly–a | MgII | сред. |
10:00 | –0.041 | –0.034 | –0.044 | –0.018 | –0.006 | –0.022 | ||
11:00 | –0.040 | –0.028 | –0.044 | –0.025 | –0.011 | –0.024 | ||
12:00 | –0.034 | –0.018 | –0.031 | –0.028 | –0.019 | –0.026 | ||
13:00 | –0.022 | –0.019 | –0.027 | –0.042 | –0.028 | –0.036 | ||
14:00 | –0.024 | –0.013 | –0.032 | –0.035 | –0.018 | –0.026 | ||
сред. | –0.032 | –0.022 | –0.036 | –0.030 | –0.030 | –0.016 | –0.027 | –0.024 |
SD | 0.009 | 0.008 | 0.008 | 0.007 | 0.009 | 0.008 | 0.005 | 0.007 |
Таблица 6. Тренды в МГц/год для 1996–2023 гг. в июле на ст. Townsville и Hobart
Townsville | Hobart | |||||||
LT | F30 | Ly–a | MgII | сред. | F30 | Ly–a | MgII | сред. |
10:00 | –0.026 | –0.022 | –0.033 | –0.020 | –0.011 | –0.023 | ||
11:00 | –0.028 | –0.021 | –0.031 | –0.020 | –0.018 | –0.023 | ||
12:00 | –0.014 | –0.010 | –0.025 | –0.025 | –0.019 | –0.025 | ||
13:00 | –0.024 | –0.022 | –0.027 | –0.031 | –0.027 | –0.03 | ||
14:00 | –0.029 | –0.020 | –0.032 | –0.031 | –0.019 | –0.028 | ||
сред. | –0.024 | –0.019 | –0.030 | –0.024 | –0.025 | –0.019 | –0.026 | –0.023 |
SD | 0.006 | 0.005 | 0.003 | 0.006 | 0.006 | 0.006 | 0.003 | 0.004 |
Таблица 7. Тренды в МГц/год для 1996–2023 гг. в июне и июле на ст. Canberra
июнь | июль | |||||||
LT | F30 | Ly–α | MgII | сред. | F30 | Ly–α | MgII | сред. |
10:00 | –0.026 | –0.018 | –0.037 | –0.023 | –0.017 | –0.029 | ||
11:00 | –0.029 | –0.017 | –0.042 | –0.024 | –0.017 | –0.028 | ||
12:00 | –0.026 | –0.014 | –0.038 | –0.023 | –0.019 | –0.03 | ||
13:00 | –0.022 | –0.01 | –0.034 | –0.032 | –0.027 | –0.042 | ||
14:00 | –0.028 | –0.014 | –0.037 | –0.029 | –0.020 | –0.037 | ||
сред. | –0.026 | –0.015 | –0.038 | –0.026 | –0.026 | –0.020 | –0.033 | –0.026 |
SD | 0.003 | 0.003 | 0.003 | 0.012 | 0.004 | 0.004 | 0.006 | 0.007 |
Таблицы 5–7 показывают, что внутри каждой ситуации (станция, месяц, индекс СА) величины k(foF2) для разных моментов LT близки, что позволяет получить средние околополуденные тренды с небольшой среднеквадратической ошибкой. Соответственно, усреднение для данной станции и месяца по индексам СА также дает средние величины с относительно небольшими SD. Наконец, сравнение величин k(foF2), усредненных по LT и индексам СА, дает достаточно близкие величины для разных станций. Так, для июня эти величины равны –0.030, –0.024 и –0.026 МГц/год для ст. Townsville, Hobart и Canberra, соответственно. Эти величины для тех же станций для июля равны –0.024, –0.023 и –0.026 МГц/год. Как и для станций Северного полушария в предыдущем параграфе, согласие можно считать очень хорошим.
Поскольку ранее в наших публикациях мы не рассматривали трендов foF2 в Южном полушарии в летние месяцы, интересно провести такой анализ для того, чтобы убедиться, что представления о сезонных вариациях трендов, полученные для станций Северного полушария, справедливы и для Южного. Мы провели этот анализ для всех трех станций для летнего месяца февраля. Результаты для ст. Hobart и Townsville представлены в табл. 8.
Таблица 8. Тренды для 1996–2023 гг. в феврале
Hobart | Canberra | |||||||
LT | F30 | Ly-a | MgII | средн. | F30 | Ly-a | MgII | средн. |
10:00 | −0.008 | −0.003 | −0.002 | −0.005 | −0.002 | −0.001 | ||
11:00 | −0.01 | +0.004 | −0.001 | −0.004 | −0.007 | −0.007 | ||
12:00 | −0.008 | +0.003 | +0.005 | −0.007 | −0.002 | −0.003 | ||
13:00 | −0.002 | +0.004 | +0.005 | 0.000 | +0.002 | −0.002 | ||
14:00 | −0.008 | −0.002 | +0.003 | −0.003 | +0.002 | +0.002 | ||
средн. | −0.007 | +0.001 | +0.002 | −0.001 | −0.004 | –0.001 | −0.002 | 0.002 |
SD | 0.003 | 0.003 | 0.003 | 0.005 | 0.003 | 0.004 | 0.003 | 0.002 |
Как видно из этой таблицы, для летнего месяца февраля для всех индексов СА и всех моментов LT получены близкие к нулю (как положительные, так и отрицательные) тренды. При их определении на соответствующих рисунках, подобных рис. 1–10, наблюдался сильные разброс точек, поэтому соответствующие величины R2 очень малы. А, следовательно, статистическая значимость полученных трендов мала. Фактически это означает, что в феврале трендов просто нет. Таким образом, полученные результаты полностью согласуются с нашими представлениями о сезонных вариациях трендов foF2 – тренды значимы зимой и отсутствуют летом как Северном полушарии, так и в Южном.
Метод “Дельта”, предложенный ранее [Данилов и Константинова, 2017] является наиболее наглядным методом определения характера и примерной амплитуды трендов foF2. Он основан на том же сравнении величин foF2 для заданного индекса солнечной активности в “эталонный” период (1957–1980 гг.), когда не было трендов антропогенной природы, и в анализируемый период, как и основной метод. В тренде нет никаких искусственных процедур (сглаживания, усреднения и т. д) – сравниваются две кривые (зависимости foF2 от выбранного индекса СА в каждом из периодов), и их различие и дает изменение foF2 (величину Дельта) за время, прошедшее после “эталонного периода”. Более подробное описание метода “Дельта” и результатов анализа этим методом данных для ст. Juliusruh можно найти в недавней работе авторов [Данилов и др., 2023б].
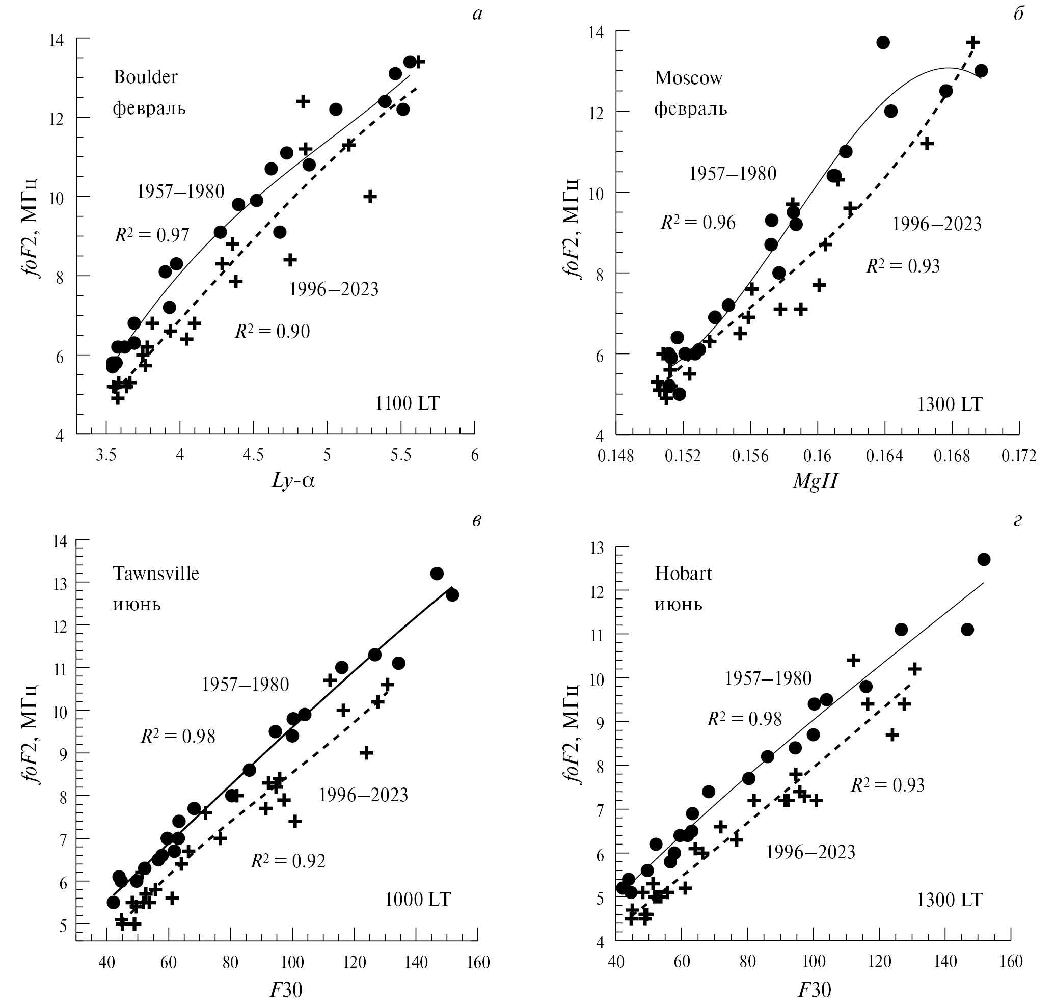
Детальное исследование методом “Дельта” трендов для многих станций требует отдельной публикации. Мы ограничимся здесь лишь примерами построения зависимостей критической частоты от индекса СА для двух периодов, позволяющих наглядно увидеть тенденцию изменения foF2 от одного периода к другому.
Примеры зависимости месячных медиан foF2 от различных индексов СА в “эталонный” и анализируемый периоды приведены на рис. 11. Точки – чисто экспериментальные величины медианы foF2 для соответствующего месяца и момента LT, нанесенные как функция индекса СА для данного месяца. Кривые – аппроксимация этих точек полиномом 3-й степени. Возле кривых приведены интервалы лет и величины коэффициента определенности по критерию Фишера.
Рис. 11. Примеры зависимости foF2 от индексов СА для двух временных интервалов.
Как видно из примеров, приведенных на рис. 11, кривые аппроксимации зависимости foF2 от индекса СА идут для анализируемого периода существенно ниже, чем для эталонного. Усреднение ризницы между двумя кривыми и дает искомую величину Дельта. Для панелей рис. 11 она равна, соответственно, –0.77, –1.10, –0.93 и –0.93 МГц. Иначе говоря, уменьшение foF2 между двумя рассмотренными временными интервалами составляет около 1 МГц.
Как уже указывалось выше, этот метод не дает величин тренда k(foF2). Но тенденция уменьшения величин foF2 от эталонного периода к анализируемому хорошо видна. Это согласуется с конкретными величинами трендов, полученными в этом и предыдущем параграфах.
4. НЕДАВНИЕ ГОДЫ
В работах [Данилов и Бербенева, 2023а; Danilov and Berbeneva, 2023] уже рассматривался вопрос об усилении отрицательных трендов foF2 в недавние годы. Но в указанных статьях анализировались данные только одной станции Juliusruh до 2022 г. В данной работе мы анализируем эту проблему на основании данных всех шести рассмотренных станций с добавлением величин foF2 за 2023 г.
На всех рисунках 1–10 кроме основной линии, показывающей тренд foF2 за период 1996–2023 гг., приводится также штриховая линия, показывающая тенденцию изменения величин ΔfoF2 в течение недавних лет. Эта линия на всех рисунках кончается в конце анализируемого временного интервала, а начинается в разные годы. Мы во всех случаях начинали ее там, где наблюдается заметный “излом” в изменении точек со временем, поэтому длина периода, для которого анализируется величина ΔfoF2, различна – от трех до восьми лет. Конечно, при таком подходе в определении величины k(foF2) есть элемент произвола. Однако это касается только амплитуды трендов, тогда как сам факт “убыстрения” падения величин ΔfoF2 в недавние годы сомнения не вызывает. На всех приведенных выше рисунках отрицательные величины k(foF2) для недавних лет больше по абсолютной величине, чем для всего периода 1996–2023 гг.
В силу упомянутого выше метода проведения аппроксимирующей линии для недавних лет, величины k(foF2) для этого периода для заданной ситуации (станция, месяц) меняются от одного момента LT к другому гораздо сильнее, чем величины k(foF2) для всего периода. Судить о степени этой изменчивости можно по данным таблицы 1, приведенной для примера выше в параграфе 1.
Получаемые для недавних лет величины k(foF2) лежат в широких пределах и для некоторых ситуаций опускаются ниже –0.1. Однако, наиболее часто встречающиеся значения лежат в пределах от –0.04 до –0.07 МГц/год.
Тот факт, что эффект усиления отрицательных трендов обнаружен для подавляющего большинства ситуаций (месяц, момент LT, индекс СА) на всех рассмотренных станциях в обоих полушариях важен, поскольку тем самым исключается объяснение этого эффекта какими-то локальными особенностями изменения foF2 со временем.
Насколько надежен вывод об усилении отрицательных трендов foF2 в недавние годы можно будет с большей уверенностью судить только через несколько лет. Однако, тот факт, что добавление к анализу данных за 2023 г. лишь усиливает эффект, который обсуждается в наших предыдущих работах [Данилов и Бербенева, 2023а; Danilov and Berbeneva, 2023] на основании данных до 2022 г., увеличивает вероятность того, что эффект реален.
5. ОБСУЖДЕНИЕ
Как уже указывалось выше, основной целью данной работы был анализ изменений критической частоты foF2 со временем в течение последних десятилетий. Поскольку ранее уже было неоднократно показано (см., например, Данилов и Бербенева [2023а] и Данилов и др. [2023б]), что отрицательные тренды foF2 максимальны зимой и практически отсутствуют летом, а также максимальны днем и минимальны ночью, мы выбрали для анализа два зимних месяца и околополуденный период 10:00–14:00 LT. При этом для увеличения надежности получаемых выводов мы выбрали в Северном и Южном полушариях по три станции, для которых смогли найти месячные медианы foF2 для двух необходимых для анализа периодов: 1957–1980 и 1996–2023 гг.
На первый взгляд сравнивать результаты для станций двух полушарий трудно, поскольку результаты относятся к разным месяцам. Но поскольку в обоих параграфах мы анализируем таком образом типичные зимние величины k(foF2), такое сравнение вполне правомерно.
Если усреднить условно приведенные выше в соответствующих таблицах величины k(foF2) по всем трем станциям Северного полушария, мы получим (–0.025–0.028–0.032)/3= –0.028 МГц/год для января и (–0.041–0.036–0.033)/3=–0.038 МГц/год для февраля. А соответствующее усреднение по трем станциям Южного полушария дает (–0.030–0.024–0.026)/3 =–0.027 МГц/год для июня и (–0.024–0.023–0.026).3 =–0.024 МГц/год для июля.
На наш взгляд близость найденных зимних величин k(foF2) для разных станций в разных полушариях является подтверждения надежности полученных выводов о знаке и амплитуде трендов foF2. Следует подчеркнуть, что в каждой ситуации для устранения эффектов солнечной активности мы использовали три индекса СА (F30, Ly-α и MgII), которые согласно недавнему исследованию являются наилучшими для описания изменения foF2 со временем.
Приведенные результаты подтверждают наши предыдущие выводы о том, что в течение последних десятилетий происходит систематическое уменьшение критической частоты слоя F2, т.е. тренды foF2 отрицательны. Этот вывод согласуется со многими исследованиями последних лет (см. недавний обзор Laštovička [2023]). В частности, вывод о том, что амплитуда отрицательных трендов foF2 имеет выраженный суточный ход (днем больше, чем ночью) получен также в работе Yue et al. [2018].
Работа [Duran et al., 2023] была специально посвящена проблеме суточных и сезонных вариаций трендов foF2. В частности, был получен суточный ход k(foF2): наиболее сильный отрицательный тренд наблюдается в дневные часы, тогда как ночью он слаб. При этом было получено, что максимальные отрицательные тренды днем могут достигать –(0.03–0.04) МГц в год, что близко к величинам k(foF2), полученным в данной работе.
То, что для пяти околополуденных моментов LT в каждой ситуации получились достаточно близкие результаты, подтверждает вывод [Данилов и Бербенева, 2023а; Данилов и др., 2023б] о том, что в суточном ходе трендов foF2 существует “плато” в дневные часы, когда величины k(foF2) практически неизменны. Этот вывод важен для выбора данных для анализа трендов критической частоты. Например, в работе Laštovička [2024] как раз анализируются тренды foF2 для 11:00–13:00 LT, что исключает мешающее влияние суточных вариаций на получаемые величины трендов.
Нам представляется, что подтверждение вывода об усилении отрицательных трендов foF2 в последние годы, который был получен ранее [Данилов и др., 2023а, б; Данилов и Бербенева, 2023а] также является важным результатом данной работы. Если это усиление действительно происходит, то уже скоро можно ожидать заметных эффектов в распространении КВ-радиоволн, вызванных отрицательными трендами foF2.
Анализ величин foF2 станциях Южного полушария в летний месяц февраль подтвердил наши представления о сезонных вариациях трендов, которые основывались на анализе данных только станций Северного полушария.
6. ЗАКЛЮЧЕНИЕ
Мы надеемся, что полученные в данной работе результаты являются еще одним подтверждением нашей концепции заметных отрицательных трендов критической частоты foF2 в течение последних десятилетий. На наш взгляд важен факт, что получены близкие по амплитуде отрицательные тренды для разных месяцев (январь/февраль с одной стороны и июнь/июль ‒ с другой), которые являются, однако, зимними месяцами для Северного и Южного полушарий.
Подавляющее большинство полученных для различных ситуаций (станция, месяц, индекс СА, момент LT) величин k(foF2) лежит в интервале от –0.020 до –0.045 МГц/год. Усреднение всех данных по каждому полушарию дает два значения, близких к –0.025 МГц/год. Эту цифру можно считать основным результатом работы.
Отличие наших результатов от результатов некоторых других исследований связано на наш взгляд с более точных учетом в наших исследованиях влияния эффектов солнечной активности. При анализе всего ряда данных за много десятилетий, как это делается во многих работах по поиску трендов, есть опасность того, что для исключения эффектов СА используются данные, которые уже “загрязнены” трендами.
Наконец, подтверждение полученного ранее вывода об усилении отрицательных трендов в последние годы может оказаться важным для всей концепции возникновения и развития долговременных изменений в ионосфере и термосфере.
БЛАГОДАРНОСТИ
Величины солнечных индексов взяты с сайта LISIRD (https://lasp.colorado.edu). Медианы foF2 взяты из банка Дамбольдта на сайте (https://downloads.sws.bom.gov.au/wdc/iondata/medians/) и с сайта ИЗМИРАН (http://www.wdcb.ru/stp/data/ionosphere_4/MO155_Moscow_(IZMIRAN)).
КОНФЛИКТ ИНТЕРЕСОВ
Авторы заявляют об отсутствии конфликта интересов.
Об авторах
А. Д. Данилов
Институт прикладной геофизики им. акад. Е.К. Федорова Росгидромета
Автор, ответственный за переписку.
Email: adanilov99@mail.ru
Россия, Москва
А. В. Константинова
Институт прикладной геофизики им. акад. Е.К. Федорова Росгидромета
Email: adanilov99@mail.ru
Россия, Москва
Н. А. Бербенева
Московский государственный университет им. М.В. Ломоносова
Email: adanilov99@mail.ru
Физический факультет
Россия, МоскваСписок литературы
- Данилов А.Д., Бербенева Н.А. Тренды критической частоты слоя F2 в последнее десятилетие // Геомагнетизм и аэрономия. Т. 63. № 2. С. 139–146. 2023а. https://doi.org/10.31857/S0016794022600697
- Данилов А.Д., Бербенева Н.А. Статистический анализ зависимости критической частоты foF2 от различных индексов солнечной активности // Геомагнетизм и аэрономия. Т. 63. № 5. С. 584–594. 2023б. https://doi.org/10.31857/S0016794023600588
- Данилов А.Д., Бербенева Н.А. Дальнейший детальный анализ зависимости foF2 от солнечной активности // Геомагнетизм и аэрономия. Т. 64. № 2. С. 253–262 . 2024.
- Данилов А.Д., Константинова А.В. Поведение параметров слоя F2 на грани веков. 1. Критическая частота // Геомагнетизм и аэрономия. Т. 53. № 3. C. 361–372. 2013. https://doi.org/10.7868/S0016794013030048
- Данилов А.Д., Константинова А.В. Долговременные изменения параметра “дельта foF2” по данным двух европейских ионосферных станций // Геомагнетизм и аэрономия. Т. 57. № 5. С. 623–627. 2017. https://doi.org/10.7868/S0016794017050054
- Данилов А.Д., Константинова А.В. Долговременные вариации параметров средней и верхней атмосферы и ионосферы (обзор) // Геомагнетизм и аэрономия. Т. 60. № 4. С. 411–435. 2020. https://doi.org/10.31857/S0016794020040045
- Данилов А.Д., Константинова А.В., Бербенева Н.А. Анализ трендов foF2 до 2022 г. с использованием разных индексов солнечной активности // Гелиогеофизические исследования. Вып. 37. С. 42–54. 2023а. https://doi.org/10.5425/2304-7380_2022_37_42
- Данилов А.Д., Константинова А.В., Бербенева Н.А. Детальный анализ суточных вариаций трендов foF2 // Гелиогеофизические исследования. Вып. 39. С. 8–16. 2023б. https://doi.org/10.5425/2304-7380_2023_39_8
- Данилов А.Д., Константинова А.В., Бербенева Н.А. Дальнейший детальный анализ зависимости foF2 от солнечной активности // Гелиогеофизические исследования. Вып. 40. С. 68–80. 2023в.
- Danilov A.D., Berbeneva N.A. Statistical analysis of the critical frequency foF2 dependence on various solar activity indices // Adv. Space Res. V. 72. № 6. P. 2351–2361. 2023. https://doi.org/10.1016/j.asr.2023.05.012
- De Haro Barbás B.F., Elias A.G. Effect of the inclusion of solar cycle 24 in the calculation of foF2 long-term trend for two Japanese ionospheric stations // Pure Appl. Geophys. V. 177. № 2. P. 1071–1078. 2020. https://doi.org/10.1007/s00024-019-02307-z
- De Haro Barbás D.F., Elias A.G., Venchiarutti J.V., Fagre M., Zossi B.S., Jun G.T., Medina F.D. MgII as a solar proxy to filter F2-region ionospheric parameters // Pure Appl. Geophys. V. 178. № 11. P. 4605–4618. 2021. https://doi.org/10.1007/s00024-021-02884-y
- Duran T., Melendi Y., Zossi B.S., de Haro Barbás B.F., Buezas F.S., Juan A., Elias A.G. Contribution to ionospheric F2 region long-term trend studies through seasonal and diurnal pattern analysis // Global Planet. Change. V. 229. ID 104249. 2023. https://doi.org/10.1016/j.gloplacha.2023.104249
- Laštovička J. A review of recent progress in trends in the upper atmosphere // J. Atmos. Sol.-Terr. Phy. V. 163. P. 2–13. 2017. https://doi.org/10.1016/j.jastp.2017.03.009
- Laštovička J. Long-term changes in ionospheric climate in terms of foF2 // Atmosphere. V. 13. № 1. ID 110. 2022. https://doi.org/10.3390/atmos13010110
- Laštovička J. Dependence of long-term trends in foF2 at middle latitudes on different solar activity proxies // Adv. Space Res. V. 73. № 1. P. 685–689. 2024. https://doi.org/10.1016/j.asr.2023.09.047
- Laštovička J. Progress in investigating long-term trends in the mesosphere, thermosphere, and ionosphere // Atmos. Chem. Phys. V. 23. № 10. P. 5783–5800. 2023. https://doi.org/10.5194/acp-23-5783-2023
- Laštovička J., Burešová D. Relationships between foF2 and various solar activity proxies // Space Weather V. 21. № 4. ID e2022SW003359. 2023. https://doi.org/10.1029/2022SW003359
- Yue X., Hu L., Wei Y., Wan W., Ning B. Ionospheric trend over Wuhan during 1947–2017: Comparison between simulation and observation // J. Geophys. Res.− Space. V. 123. № 2. P. 1396–1409. 2018. https://doi.org/10.1002/2017JA024675
Дополнительные файлы













