Влияние эндофитных бактерий Bacillus velezensis M66 на транскрипционную активность генов системы рнк-интерференции при развитии защитных реакций против возбудителя фитофтороза Phytophthora infestans (Mont.) de Bary
- Authors: Сорокань А.В.1, Габдрахманова В.Ф.1, Марданшин И.С.2, Максимов И.В.1
-
Affiliations:
- Институт биохимии и генетики – обособленное структурное подразделение Федерального государственного бюджетного научного учреждения Уфимского федерального исследовательского центра Российской академии наук
- Федеральное государственное бюджетное научное учреждение Уфимский федеральный исследовательский центр Российской академии наук
- Issue: Vol 71, No 4 (2024)
- Pages: 409-417
- Section: ЭКСПЕРИМЕНТАЛЬНЫЕ СТАТЬИ
- URL: https://ogarev-online.ru/0015-3303/article/view/268077
- DOI: https://doi.org/10.31857/S0015330324040039
- EDN: https://elibrary.ru/MODMNQ
- ID: 268077
Cite item
Full Text
Abstract
Изучено влияние штамма бактерий Bacillus velezensis М66 на устойчивость растений картофеля к оомицету Phytophthora infestans (Mont.) de Bary., вызывающему фитофтороз. Впервые показано накопление числа эндофитных бактерий B. velezensis М66 во внутренних тканях растений после инфицирования возбудителем болезни в сравнении с растениями, инокулированными только бактериями. Выявлено значительное сокращение площади поражения фитофторозом вне зависимости от агрессивности используемого штамма патогена. Формирование устойчивости растений под влиянием клеток B. velezensis М66 сопровождалось активацией ингибитора трипсина и пероксидаз, накоплением пероксида водорода и транскриптов генов, кодирующих ингибиторы протеиназ, β-1,3-глюканазу и анионную пероксидазу, а так же снижением уровня транскриптов гена PR1 – маркера развития салицилат-зависимых реакций. По отношению к системе РНК-интерференции было выявлено, что агрессивный штамм P. infestans Sn стимулировал в растениях картофеля накопление транскриптов только гена, кодирующего Dicer-подобный белок (DCL), а менее агрессивный P. infestans 1840 – генов DCL и Ago4. Обработка растений бактериями B. velezensis М66 способствовала накоплению транскриптов гена Ago1 как в здоровых, так и в инфицированных растениях. Инокуляция растений бактериями и последующее инфицирование оомицетом способствовало накоплению транскриптов всех исследованных генов системы РНК-интерференции. Можно полагать, что инокуляция растений клетками эндофитных бактерий штамма B. velezensis M66 способствует формированию устойчивости растений картофеля в отношении оомицета P. infestans посредством эффективного праймирования фитоиммунного потенциала.
Full Text
Введение1
Совокупность микроорганизмов, ассоциированных с растением – микробиом – важный фактор модификации фенотипа растения-хозяина, обеспечивающий вариативность всей системы макро- и микроорганизмов, на которую действуют факторы естественного отбора. Эндофитные микроорганизмы принимают активное участие в метаболизме растений [1, 2]. Вместе с тем, исследование трехстороннего взаимодействия между эндофитами, патогенами и растением является сложной, но тем не менее приоритетной задачей для понимания экологии сложных биосистем. Например, действие таких бактерий на устойчивость растений может быть основано не только на антибиотическом действии их метаболитов на патогенов, но и на стимуляции защитных механизмов растений [1–3].
Одним из наиболее распространенных типов культивируемых эндофитных бактерий, обнаруженных в различных растениях, являются бактерии рода Bacillus, к которым относятся наиболее известные агенты биологического контроля – ассоциированные с растениями штаммы B. thuringiensis, B. subtilis и B. velezensis [1]. Так, эндофитный штамм B. velezensis FQ-G3 продемонстрировал превосходную ингибирующую активность в отношении Botritis cinerea, а плоды томатов, инокулированные этим штаммом, были меньше подвержены серой гнили [2]. Выделенный из побегов риса штамм B. velezensis J17-4 обладал значительным антагонистическим эффектом против патогена Dickeya zeae [4]. Важно, что выделенный из растений оливы штамм B. velezensis OEE1 проявлял антагонизм против оомицетов Phytophthora ramorum, P. cryptogea, P. plurivora благодаря биосинтезу спектра антибиотических соединений [5]. Неоднократно показана их способность индуцировать устойчивость растений к различным патогенам, в том числе возбудителю фитофтороза, наиболее экономически значимой болезни картофеля – оомицету P. infestans (Mont.) de Bary [6, 7]. Этот процесс опосредован праймированием защитных PR-генов с вовлечением фитогормонов, таких как жасмоновая (ЖК) и салициловая (СК) кислоты [7–9]. СК – известный участник защиты от биотрофов, индуцирующий экспрессию маркерных генов PR1 (маркер развития системной приобретенной устойчивости), PR2 (β-1,3-глюканазы) и PR5 (тауматин-подобные белки) [9], тогда как ЖК эффективна против некротрофных патогенов и насекомых–вредителей и активирует экспрессию семейств генов PR3 (хитиназы), PR4 (белки с нуклеазной активностью), PR6 (ингибиторы протеиназ) и PR9 (пероксидазы) [8]. Соответственно, при инфицировании гемибиотрофным патогеном, таким как P. infestans, СК-зависимые реакции эффективны во время биотрофной фазы, а ЖК-зависимые – во время некротрофной фазы [7, 8].
Особое место в системном и клеточном иммунитете растений занимает механизм, названный Файером и Мэллоу термином “РНК-интерференция” (РНКи), по аналогии с наложением волн в физике – высоко видоспецифичный иммунный компонент, являющийся эволюционно консервативным [10]. РНКи принадлежит ключевая роль в эпигенетических изменениях, контроле перемещения мобильных генетических элементов, регуляции экспрессии генов, стабильности генома и образования гетерохроматина, а также в осуществлении реакций в ответ на действия различных стрессовых факторов [10, 11]. Механизм РНКи регулирует экспрессию генов эукариот по принципу гомологии. В процессе участвуют малые РНК (20–26 п.о.) и взаимодействующий с нуклеиновыми кислотами комплекс белков, включающий РНК-зависимую РНК-полимеразу, Dicer-подобные белки (DCL), белки-аргонавты (Ago) и белки, задействованные в процессе РНК-зависимого ДНК-метилирования. Фермент DCL расщепляет двуцепочечные РНК на короткие фрагменты, включающиеся в белковый комплекс RISK (РНК-индуцируемый сайленсинговый комплекс), связываясь с белками Ago, взаимодействующими затем с целевым гомологичным фрагментом РНК [10, 11].
Посредством механизма РНКи в организме формируется уникальная и эффективная стратегия защиты от патогенных микроорганизмов – хозяин-индуцированный генный сайленсинг. На современном этапе исследований описано формирование этого механизма с участием отвечающих за РНКи белков растений картофеля, инокулированных оомицетом P. infestans [12, 13]. Хорошо известно о наличии у оомицетов, представителей рода Phytophthora, супрессоров сайленсинга, способствующих инфицированию растения. Описано наличие и механизмы действия супрессоров сайленсинга PSR1 и PSR2 для Phytophthora sojae и P. capsici [14–17]. Так, заражение растений арабидопсиса P. capsici приводит к увеличению производства разнообразного пула вторичных малых интерферирующих РНК (миРНК), которые обнаруживаются во внеклеточных везикулах и, вероятно, подавляют гены-мишени у патогена. Эффектор PSR2 специфически ингибирует биогенез вторичной миРНК у арабидопсиса и способствует увеличению восприимчивости растений к инфекции [16]. У P. infestans был найден другой предположительный супрессор сайленсинга – Pi14054 [19]. Так, внедрение последовательности гена Pi14054 в геном вируса морщинистости репы (TCV) на место известного вирусного супрессора РНКи вызывало такие же реакции у растений, как и нативный вирус, в частности, снижение экспрессии генов Ago и DCL [19]. Наличие в арсенале Phytophthora различных видов супрессоров сайленсинга показывает важность механизма РНКи в защите растений от фитопатогенов данного рода, стремящихся его преодолеть [20].
Влияние эндофитов на механизм РНКи растения-хозяина остается крайне малоизученным. Так, по последним данным, под действием B. amyloliquefaciens Ba13 количество вирусных частиц вируса желтой курчавости листьев томата (TYLCV) в листьях томата снижалось на 70.1%, а транскрипционная активность генов Ago3, Ago4, Ago5 и Ago7 увеличивалась в 2.44–6.73 раза [3].
В связи с этим целью работы является оценка влияния инокуляции растений картофеля эндофитными бактериями штамма B. velezensis M66 на механизм РНКи при инфицировании их различными по агрессивности штаммами оомицета P. infestans 1840 и P. infestans Sn.
Материалы и методы
Растительный и микробный материал. В работе использовали стерильные растения картофеля (Solanum tuberosum L.) сорта Ранняя Роза, полученные методом микроклонирования и выращенные в пробирках с МС-средой [21] в климатической камере KBW E6 (Binder GmbH, Германия) с 16-часовым световым периодом при 20–22°С в течение 21 суток.
Бактерии штамма Bacillus velezensis M66 были выделены из внутренних тканей стеблей картофеля сорта Удача (Чишминский район, Башкортостан) и депонированы в коллекции лаборатории биохимии иммунитета растений Института биохимии и генетики УФИЦ РАН [22]. Последовательность 16sРНК штамма зарегистрирована в базе GenBank (accession number PP396155). Культуру бактерий выращивали на жидком лизогенном бульоне (LB) (1% триптона, 0.5% дрожжевого экстракта, 0.5% NaCl) при 20–22°С на лабораторных шейкерах OS-20 (BioSan, Латвия) (120 об./ мин).
Для формирования системы “растение + эндофит” стерильные 15-дневные растения картофеля инокулировали по ранее описанной методике [6, 23] с бактериями B. velezensis M66, выращенными на питательной среде LB, путем нанесения мазка бактериальной массы на нижнюю треть стебля.
Фитопатоген и инокуляция. Для инфицирования растений картофеля использовали зооспоры двух штаммов оомицета P. infestans 1840 и P. infestans Sn. Патоген выращивали на агаризованной ржаной среде в течение 7 дней [24]. Поверхности колоний промывали дистиллированной водой при температуре 4°С в течение 30 мин, после чего оценивали в камере Фукса-Розенталя количество спорангиев. Растения инфицировали 105 спор/мл суспензией на 7 сутки после инокуляции бактериальной массой. Исследование симптомов проводили с использованием фитопатологических газонов, на 10 сутки после заражения растений возбудителем фитофтороза, пораженность определяли в процентах площади поражения к общей площади листьев. Изображения исследовали с помощью программного обеспечения ImageJ (NIH, США). В качестве контроля использовали растения, обработанные водой и не зараженные патогеном.
Определение титра эндофитных микроорганизмов в тканях растений. Количество колониеобразующих единиц (КОЕ) эндофитных микроорганизмов определяли через 24 ч после инфицирования растений P. infestans. Для этого навески по 100 мг экспериментальных растений (из верхушечной части или корней 3 разных растений), поверхностно стерилизовали по следующей схеме: 70% этанол – 1 мин; 5% раствор пероксида водорода – 3 мин; дистиллированная вода. Стерильность поверхности определяли по отсутствию роста бактерий в отпечатках листьев и корней на поверхности агаризованной среды LB. Навески растений гомогенизировали в стерильных фарфоровых ступках с добавлением 2 мл стерильной воды. Аликвоты гомогената после разбавления (100 мкл) распределяли по поверхности агаризованной среды LB при помощи шпателя Дригальского до полного высыхания. Чашки Петри инкубировали при температуре 28°С в термостате ТС-1/20 СПУ (Смоленское СКТБ СПУ, Россия) в течение 24 ч. Подсчет КОЕ производили во втором и третьем разведении, и их количество пересчитывали на 1 г сырой массы растений [6, 23].
Биохимические исследования. Навеску пробирочных растений растирали в 0.025 М фосфатном буфере (pH 6.2) в соотношении 1 : 5, экстрагировали 30 мин при 4°С, затем центрифугировали 10 мин при 8000 g на микроцентрифуге 5415R (Eppendorf, США). Активность пероксидазы измеряли микрометодом с использованием орто-фенилендиамина в качестве субстрата. Концентрацию пероксида водорода измеряли с использованием красителя ксиленолового оранжевого. Для определения активности ингибитора трипсина использовали реакцию с субстратом Nα-бензоил-DL-аргинин-п-нитроанилид (БАПНА). Оптическую плотность определяли на спектрофотометре LS-55 (Perkin Elmer, США) при длине волны 409 нм [6].
Выделение тотальной РНК и проведение ПЦР в режиме реального времени. Выделение тотальной РНК проводили через 24 ч после инокуляции растений картофеля суспензией спор P. infestans, с использованием реактива “Лира” (Биолабмикс, Россия), согласно протоколу фирмы-поставщика. Для этого растения фиксировали в жидком азоте. Содержание нуклеиновых кислот измеряли по А260/A280 на спектрофотометре Smart Spec Plus (Bio-Rad, США), предварительно растворив образцы в трис-ЭДТА буфере.
Для получения кДНК на основе РНК изучаемых образцов проводили реакцию обратной транскрипции с использованием обратной транскриптазы, согласно протоколу фирмы-поставщика “Синтол” (Россия). Анализ экспрессии генов StPR-белков (S. tuberosum PR-гены) и генов системы РНКи проводили методом количественной ПЦР на приборе CFX Connect Real-Time PCR Detection System (Bio-Rad, США) с использованием интеркалирующего красителя SYBR Green I (Синтол, Россия). Изменения в транскрипционной активности генов (оценка числа копий мРНК для каждого гена) определяли относительно референсного гена актина с помощью программного обеспечения iCycler iQ5 Real Time Detection System software (Bio-Rad, США). Использованные в работе нуклеотидные последовательности праймеров приведены в табл. 1 (Дополнительные материалы).
Статистика. Все опыты проведены в 3–5 биологических и 3 аналитических повторностях. Экспериментальные данные выражали в виде средних значений ± стандартные ошибки, значения которых рассчитывали для всех вариантов обработок с использованием MS Excel. Значимость различий оценивали с применением дисперсионного анализа (ANOVA) с последующим тестом Дункана (P < 0.05) с помощью программного обеспечения STATISTICA 12.0.
Результаты
Из двух исследованных штаммов возбудителя фитофтороза штамм P. infestans Sn обладал несколько большей агрессивностью, что выражалось в более сильном, чем в случае P. infestans 1840, проявлении симптомов болезни на листьях растений картофеля (рис. 1а). При этом обработка растений клетками бактерий B. velezensis M66 сокращала площадь развития характерных для фитофтороза симптомов на листьях в равной степени для обоих штаммов.
Рис. 1. Процент площади листовой пластинки с видимыми симптомами фитофтороза на растениях картофеля под влиянием бактерий Bacillus velezensis M66 на 8 сутки после нанесения спор патогена (а); количество КОЕ эндофитных бактерий B. velezensis M66 в тканях картофеля через 24 ч после инфицирования возбудителем фитофтороза (б). 0 – неинфицированные растения. Разными буквами обозначены варианты, показавшие статистически значимые отличия друг от друга (P ≤ 0.05).
Оценка числа клеток эндофитного штамма B. velezensis M66 в тканях растений картофеля, инфицированных возбудителем фитофтороза, показала присутствие до 66.75 ± 9.9 × 104 КОЕ B. velezensis M66/г сырой массы побегов к восьмым суткам после инокуляции бактериями (рис. 1б). Интересно, что уже к первым суткам после инфицирования растений картофеля суспензией спор патогена P. infestans Sn наблюдалось до 199.3 ± 18.0 × 104 КОЕ B. velezensis M66/г сырой массы побегов, а при инфицировании P. infestans 1840 – до 109.3 ± 13.2 × 104 КОЕ/г сырой массы побегов. Таким образом, инфицирование предобработанных клетками B. velezensis M66 растений картофеля разными штаммами патогена увеличивало численность клеток бактерий в растениях.
Анализ биохимических показателей выявил, что штамм P. infestans Sn вызывал резкое снижение содержания пероксида водорода и препятствовал увеличению активности пероксидаз в инфицированных растениях, в случае же со слабовирулентным штаммом P. infestans 1840 наблюдалась активация пероксидаз, на фоне отсутствия выраженного накопления Н2О2 (рис. 2). В обоих случаях активность ингибиторов протеиназ была выше контрольных показателей. Под действием бактерий B. velezensis M66 в неинфицированных растениях увеличивалась активность ингибиторов протеиназ и пероксидаз, однако окислительного взрыва не наблюдалось. Инфицирование обработанных эндофитными бактериями растений P. infestans Sn частично предотвращало резкое снижение уровня Н2О2, но не влияло на остальные показатели относительно наблюдаемых в не содержащих эндофиты инфицированных растениях. При этом в обработанных B. velezensis M66 растениях после инфицирования P. infestans 1840 наблюдалось двукратное превышение содержания Н2О2, активности ингибиторов протеиназ и увеличение на 40% активности пероксидаз относительно контрольных показателей (рис. 2).
Рис. 2. Влияние бактерий Bacillus velezensis M66 на содержание пероксида водорода (а), активность ингибиторов трипсина (б) и пероксидаз (в) в здоровых и инфицированных штаммами возбудителя фитофтороза Phytophthora infestans 1840 и P. infestans Sn растениях картофеля через 24 ч после инфицирования. Разными буквами обозначены варианты, показавшие статистически значимые отличия друг от друга (P ≤ 0.05).
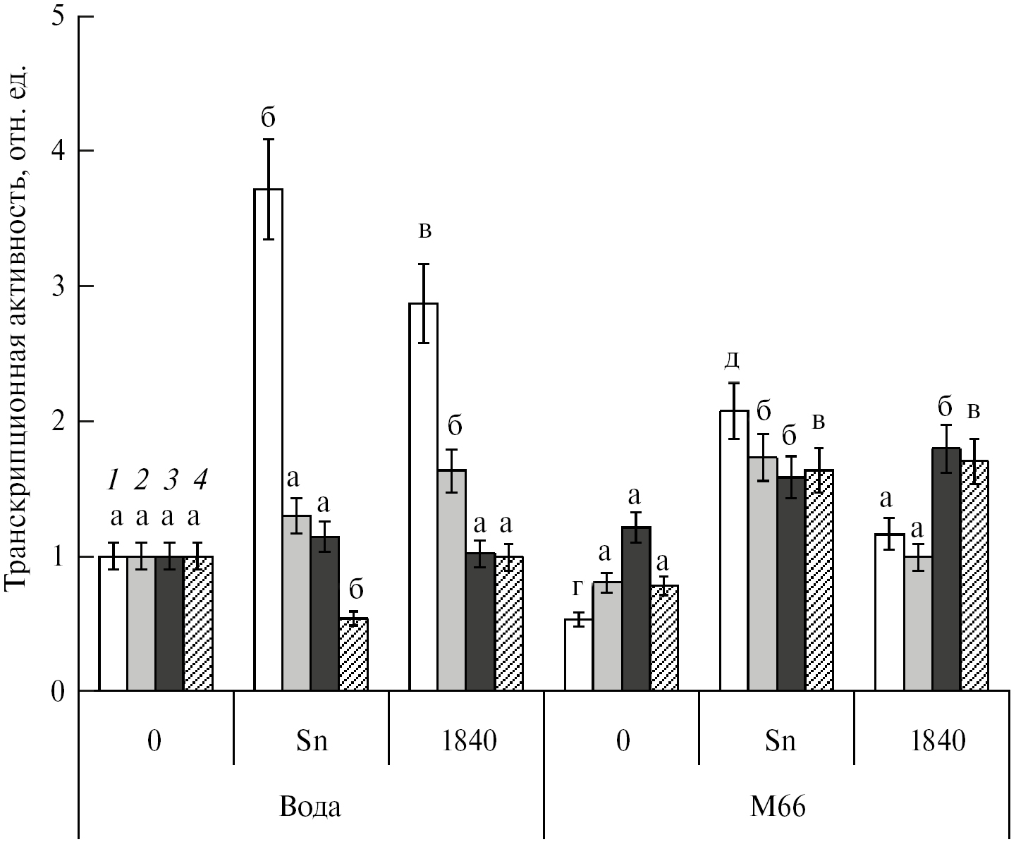
Под воздействием возбудителей фитофтороза P. infestans Sn и P. infestans 1840 активность транскрипции гена StPR1 значительно увеличивалась, в особенности, в случае агрессивного штамма P. infestans Sn, под воздействием которого также снижалось количество транскриптов гена StPR9. Инфицирование растений P. infestans 1840 вызывало также увеличение транскрипционной активности гена StPR2 (рис. 3).
Рис. 3. Влияние бактерий Bacillus velezensis M66 на относительное количество транскриптов генов ингибитора трипсина StPR6 (1), основного защитного белка – индикатора развития системной приобретенной устойчивости StPR1 (2), хитиназы StPR2 (3) и анионной пероксидазы StPR9 (4) в здоровых и инфицированных штаммами возбудителя фитофтороза Phytophthora infestans 1840 и P. infestans Sn растениях картофеля (24 ч после нанесения спор патогена). Транскрипционная активность каждого исследуемого гена нормализована относительно референсного гена актина картофеля. Разными буквами обозначены варианты, показавшие статистически значимые отличия друг от друга (P ≤ 0.05). Сравнение производилось для каждого конкретного гена в отдельности.
При контакте растений с B. velezensis M66 относительное содержание транскриптов гена StPR1, напротив, снижалось, а других рассматриваемых генов оставалось без изменений. В случае воздействия P. infestans Sn на растения, обработанные B. velezensis M66 наблюдалось 1.5–2-кратное увеличение относительного содержания транскриптов исследуемых генов (StPR1, StPR2, StPR9) по отношению к неинфицированным и неинокулированным растениям (рис. 3). В случае инфицирования P. infestans 1840 растений, обработанных B. velezensis M66, уровень транскриптов поднимался на 50% относительно контрольных растений только для генов StPR6 и StPR9 (рис. 3).
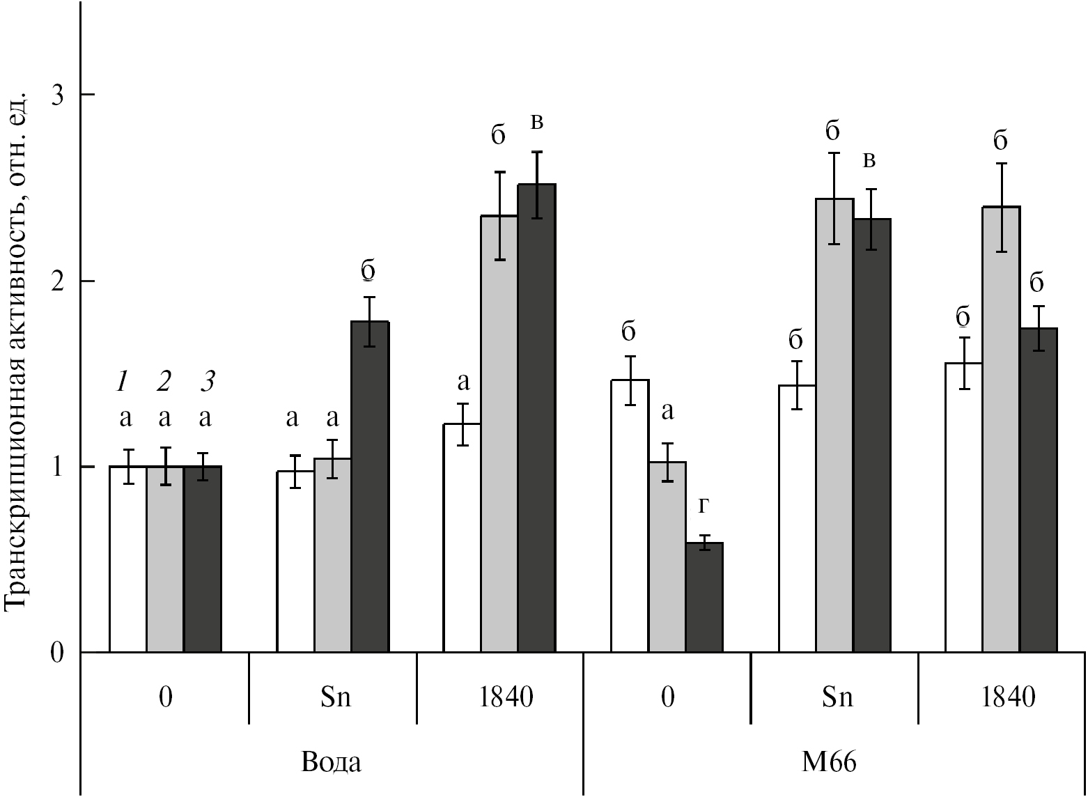
Под воздействием возбудителей фитофтороза штаммов P. infestans Sn и P. infestans 1840 активность транскрипции гена StAgo1 значительно не изменялась, а количество транскриптов гена StAgo4 увеличивалось в 2 раза относительно контрольных показателей только в случае инфицирования штаммом P. infestans 1840 (рис. 4). При этом транскрипционная активность гена StDCL1 увеличивалась под воздействием обоих исследуемых штаммов, причем в случае P. infestans 1840 – более значительно.
Рис. 4. Влияние бактерий Bacillus velezensis M66 на относительное количество транскриптов генов системы РНК-интерференции StAgo1 (1), StAgo4 (2) и StDCL (3) в здоровых и инфицированных штаммами возбудителя фитофтороза Phytophthora infestans 1840 и P. infestans Sn растениях картофеля (24 ч после нанесения спор патогена). Транскрипционная активность каждого исследуемого гена нормализована относительно референсного гена актина картофеля. Разными буквами обозначены варианты, показавшие статистически значимые отличия друг от друга (P ≤ 0.05). Сравнение производилось для каждого конкретного гена в отдельности.
Во всех вариантах воздействия на растения B. velezensis M66, как в здоровых, так и инфицированных обоими штаммами P. infestans наблюдалось увеличение относительного содержания транскриптов гена StAgo1 на 30% относительно неинфицированных и неинокулированных растений (рис. 4), чего не наблюдалось под воздействием оомицета в отдельности. При этом присутствие B. velezensis M66 в тканях здоровых растений снижало содержание транскриптов гена StDCL1 на 50% относительно контрольных растений, что было прямо противоположно эффекту заражения оомицетом. Так, в случае инфицирования содержащих эндофитные клетки B. velezensis M66 растений P. infestans Sn происходило двукратное увеличение содержания транскриптов гена StDCL1, а под воздействием P. infestans 1840 превышение содержания транскриптов достигало 70%, что соответствует тенденции, наблюдаемой в инфицированных растениях, не содержащих эндофитных бактерий (рис. 4). Интересно, что при совместном влиянии на растения бактериального штамма и обоих исследуемых штаммов оомицетов транскрипционная активность гена StAgo4 увеличивалась в той же степени, что и под индивидуальным воздействием менее агрессивного штамма P. infestans 1840, что говорит о важности его продукта в защитных реакциях от фитофтороза и возможном подавлении транскрипции этого гена более агрессивным штаммом P. infestans.
Обсуждение
Совместная эволюция предковых растений с микроорганизмами, вероятно, насчитывает более 450 млн лет [25], с заселения ими суши. Эндофиты, как и патогенные микроорганизмы, наиболее тесно встроены в экологическую нишу, предоставляемую растением, но меньше всего мы располагаем информацией об основных принципах организации их “трехчастного” симбиоза [1, 2, 25].
Так, если эндофитно существующие в тканях макросимбионта бактерии способны участвовать в биоконтроле фитопатогенов и праймировать иммунные реакции растений [1, 2, 25], то патоген вступает во взаимодействие со всей этой системой, и, соответственно, может оказывать прямое и опосредованное иммунными реакциями растения влияние на состав мутуалистической флоры. В нашей работе впервые показано, что инфицирование растений возбудителем фитофтороза вызвало увеличение числа клеток эндофитных микроорганизмов в тканях хозяина, причем в случае с инфицированием растений более агрессивным штаммом P. infestans Sn наблюдался более выраженный эффект на этот параметр. Важно отметить, что снижение площади симптомов фитофтороза на листьях содержащих эндофитные бактерии B. velezensis M66 растений было одинаковым в случае обоих штаммов, что говорит о вероятной значимости количества ассоциированных с растением микроорганизмов в реализации защитного ответа целостной системы растение/сообщество эндофитов. Так, ранее нами было показано, что под влиянием СК происходит увеличение количества КОЕ B. subtilis 26Д, что может быть одним из факторов, обусловливающих более высокий защитный эффект против фитофтороза, чем в варианте обработки B. subtilis 26Д индивидуально на фоне крайне низкого воздействия взятой концентрации СК на устойчивость растений к патогену [26].
Обработка растений B. velezensis M66 стимулировала в них активность ингибиторов протеиназ и пероксидаз растений в отсутствие патогена, формируя некоторый конститутивный барьер для инфицирования. Это, по-видимому, являлось одним из факторов, обеспечивающих защитный эффект, так как, например, высокая агрессивность штамма P. infestans Sn могла быть связана именно подавлением иммунного ответа растений, в частности, реакций, связанных с развитием окислительного взрыва (снижение содержания пероксида водорода, активности пероксидаз и транскрипционной активности гена анионной пероксидазы (StPR9), и, вероятно, других ЖК-зависимых механизмов). Об этом косвенно свидетельствует многократное накопление транскриптов маркера СК-зависимых реакций, гена StPR1, в инфицированных P. infestans Sn растениях [7].
Большинство ассоциированных с растениями микроорганизмов активируют индуцированную системную устойчивость через ЖК-зависимый сигнальный путь [25]. Ранее нами было показано участие ЖК в защитном ответе картофеля на возбудитель фитофтороза P. infestans и увеличение транскрипционной активности ЖК-зависимых генов и генов биосинтеза ЖК под действием штамма B. subtilis 26Д [6]. В данной работе показано, что обработка растений суспензией клеток эндофитного штамма B. velezensis M66 приводила к накоплению транскриптов ЖК-зависимых генов StPR6 и StPR9 в растениях, инокулированных двумя штаммами возбудителя фитофтороза, а также полностью нивелировала увеличение транскрипции СК-зависимых генов в инфицированных менее агрессивным штаммом, и снижала таковое в инфицированных более агрессивным штаммом растениях. Следует отметить, что выбранная временная точка соответствует переходу возбудителя фитофтороза из биотрофной фазы в некротрофную, и, вероятно, увеличение транскрипционной активности ЖК-зависимых генов является ключевым событием на этом этапе [7, 8].
В развитии устойчивости растений к патогенам важную роль играет эпигенетическая регуляция, включающая механизмы РНКи. Белки DCL и Ago являются неразрывно связанными компонентами механизма РНКи, поскольку при их совместном участии генерируются микроРНК (miRNA), подавляющие гены-мишени патогена [27]. Поэтому увеличение транскрипции исключительно гена StDCL1 при инфицировании P. infestans Sn, вероятно, было индуцировано патогеном и не обеспечивало эффективной защиты от внедрения патогена в ткани. В экспериментах с использованием риса и арабидопсиса при грибной инфекции сайленсинг гена DCL1 приводил к усилению устойчивости к Magnaporthe oryzae и Sclerotinia sclerotiorum, соответственно [28, 29]. Присутствие эндофитных бактерий в тканях растений без инфицирования патогеном, напротив, подавляло транскрипционную активность данного гена, что, однако, не было препятствием для увеличения этого параметра в присутствии патогена.
Менее агрессивный штамм P. infestans 1840, помимо StDCL1, воздействовал на транскрипционную активность гена StAgo4, который считается важным компонентом в регуляции устойчивости растений к биотическим воздействиям [27]. Так, Ago4 оказался важным в формировании защитной реакции у растений дикого табака Nicotiana attenuata к возбудителю стеблевых гнилей грибу Fusarium brachygibbosum, а замалчивание его синтеза нарушало работу жасмонатной сигнальной системы [30]. Транскрипционная активность этого гена была высокой в инфицированных обоими штаммами растениях, обработанных B. velezensis M66, что могло обусловить их возросшую устойчивость к фитофторозу.
Обработка растений B. velezensis M66 приводила к увеличению уровня транскриптов гена StAgo1, в равной степени в неинфицированных и инфицированных штаммами возбудителя фитофтороза растениях, что являлось специфической особенностью растений, содержащих эндофитные микроорганизмы. Основная функция белков Ago в растениях – связывание siRNA и miRNA, генерируемых с участием DCL белков, а также их использование в качестве “направляющего” при узнавании и последующем расщеплении РНК генов-мишеней на транскрипционном, посттранскрипционном и трансляционном уровнях [1, 2]. Имеющая гомологию с участком гена, кодирующего транскрипционный фактор семейства AP2/ERF (факторы, участвующие в регуляции ЖК-зависимых реакций), miR172 идентифицирована как регулятор устойчивости растений томатов к оомицету P. infestans [31]. Важно отметить, что в нашей работе в растениях картофеля, обработанных B. velezensis M66 наблюдалась повышенная относительно контрольных значений активность транскрипции как генов Ago, так и зависимых от ЖК генов StPR6 и StPR9.
Таким образом, эндофитные микроорганизмы, такие как B. velezensis M66, могут быть эффективными агентами для защиты растений от патогенов благодаря очень глубокой интеграции в систему регуляции фитоиммунного потенциала растений, и их использование в качестве компонентов биопрепаратов для защиты растений является весьма перспективным.
Работа выполнена в рамках проекта Российского научного фонда № 24-26-00025 “Перспектива применения выделенных на территории Южного Урала эндофитных штаммов бактерий рода Bacillus для повышения устойчивости сельскохозяйственных растений к комплексу биотических факторов среды”.
Авторы заявляют об отсутствии конфликта интересов.
Настоящая статья не содержит каких-либо исследований с использованием животных либо с участием людей в качестве объектов.
1 Сокращения: ЖК ‒ жасмоновая кислота; РНКи ‒ РНК-интерференция; СК ‒ салициловая кислота.
About the authors
А. В. Сорокань
Институт биохимии и генетики – обособленное структурное подразделение Федерального государственного бюджетного научного учреждения Уфимского федерального исследовательского центра Российской академии наук
Author for correspondence.
Email: fourtyanns@googlemail.com
Russian Federation, Уфа
В. Ф. Габдрахманова
Институт биохимии и генетики – обособленное структурное подразделение Федерального государственного бюджетного научного учреждения Уфимского федерального исследовательского центра Российской академии наук
Email: fourtyanns@googlemail.com
Russian Federation, Уфа
И. С. Марданшин
Федеральное государственное бюджетное научное учреждение Уфимский федеральный исследовательский центр Российской академии наук
Email: fourtyanns@googlemail.com
Башкирский научно-исследовательский институт сельского хозяйства
Russian Federation, УфаИ. В. Максимов
Институт биохимии и генетики – обособленное структурное подразделение Федерального государственного бюджетного научного учреждения Уфимского федерального исследовательского центра Российской академии наук
Email: fourtyanns@googlemail.com
Russian Federation, Уфа
References
- Wu X., Wang Z., Zhang R., Xu T., Zhao J., Liu Y. Diversity of endophytic bacteria in hybrid maize seeds and Bacillus mojavensis J2416-7 may be capable of vertical transmission // Arch. Microbiol. 2022. V. 204. P. 213. https://doi.org/10.1007/s00203-022-02824-x
- Kim J.A., Song J.S., Kim P.I., Kim D.H., Kim Y. Bacillus velezensis TSA32-1 as a promising agent for biocontrol of plant pathogenic fungi // J. Fungi (Basel). 2022. V. 8. P. 1053. https://doi.org/10.3390/jof81010532
- Guo Q., Sun Y., Ji C., Kong Z., Liu Z., Li Y., Li Y., Lai H. Plant resistance to tomato yellow leaf curl virus is enhanced by Bacillus amyloliquefaciens Ba13 through modulation of RNA interference // Front. Microbiol. 2023. V. 14. P. 1251698. https://doi.org/10.3389/fmicb.2023.1251698
- Shi Z., Hong W., Wang Q. Complete genome resource of Bacillus velezensis J17-4, an endophyte isolated from stem tissues of rice // Plant Dis. 2022. V. 106. P. 727. https://doi.org/10.1094/PDIS-05-21-0996-A
- Cheffi M., Bouket A.C., Alenezi F.N., Luptakova L., Belka M., Vallat A., Rateb M.E., Tounsi S., Triki M.A., Belbahri L. Olea europaea L. root endophyte Bacillus velezensis OEE1 counteracts oomycete and fungal harmful pathogens and harbours a large repertoire of secreted and volatile metabolites and beneficial functional genes // Microorganisms. 2019. V. 7. P. 314. https://doi.org/10.3390/microorganisms7090314
- Sorokan A., Benkovskaya G., Burkhanova G., Blagova D., Maksimov I. Endophytic strain Bacillus subtilis 26DCryChS producing Cry1Ia toxin from Bacillus thuringiensis promotes multifaceted potato defense against Phytophthora infestans (Mont.) de Bary and pest Leptinotarsa decemlineata Say // Plants. 2020. V. 9: 1115. https://doi.org/10.3390/plants9091115
- Coles D.W., Bithell S.L., Mikhael M., Cuddy W.S., Plett J.M. Chickpea roots undergoing colonisation by Phytophthora medicaginis exhibit opposing jasmonic acid and salicylic acid accumulation and signaling profiles to leaf hemibiotrophic models // Microorganisms. 2022. V. 10: 2. P. 343. https://doi.org/10.3390/microorganisms10020343
- Li N., Han X., Feng D., Yuan D., Huang L.-J. Signaling crosstalk between salicylic acid and ethylene/jasmonate in plant defense: do we understand what they are whispering? // Int. J. Mol. Sci. 2019. V. 20. P. 671. https://doi.org/10.3390/ijms20030671
- Huang S., Zhang X., Fernando W.G.D. Directing trophic divergence in plant-pathogen interactions: antagonistic phytohormones with NO doubt? // Front. Plant Sci. 2020. V. 11: 600063. https://doi.org/10.3389/fpls.2020.600063
- Fire A., Xu S., Montgomery M.K., Kostas S.A., Driver S.E., Mello C.C. Potent and specific genetic interference by double-stranded RNA in Caenorhabditis elegans // Nature. 1998. V. 391: 6669. P. 806. https://doi.org/10.1038/35888
- Maksimov, I.V., Shein, M.Y. & Burkhanova, G.F. RNA Interference in plant protection from fungal and oomycete infection // Appl. Biochem. Microbiol. 2022. V. 58. P. 16–31. https://doi.org/10.1134/S000368382210106
- Jahan S.N., Åsman A.K., Corcoran P., Fogelqvist J., Vetukuri R.R., Dixelius C. Plant-mediated gene silencing restricts growth of the potato late blight pathogen Phytophthora infestans // J. Exp. Bot. 2015. V. 66. P. 2785. https://doi.org/10.1093/jxb/erv094
- Sanju S., Siddappa S., Thakur A., Shukla P.K., Srivastava N., Pattanayak D., Sharma S., Singh B.P. Host-mediated gene silencing of a single effector gene from the potato pathogen Phytophthora infestans imparts partial resistance to late blight disease // Funct. Integr. Genomic. 2015. V. 15. P. 697. https://doi.org/10.1007/s10142-015-0446-z
- Qiao Y., Liu L., Xiong Q., Flores C., Wong J., Shi J., Wang X., Liu X., Xiang Q., Jiang S., Zhang F. Oomycete pathogens encode RNA silencing suppressors // Nat. Genet. 2013. V. 45. P. 330. https://doi.org/10.1038/ng.2525
- Gui X., Zhang P., Wang D., Ding Z., Wu X., Shi J., Shen Q-H., Xu Y-Z., Ma W., Qiao Y. Phytophthora effector PSR1 hijacks the host pre-mRNA splicing machinery to modulate small RNA biogenesis and plant immunity // Plant Cell. 2022. V. 34: 9. P. 3443. https://doi.org/10.1093/plcell/koac176
- Hou Y., Zhai Y.I., Feng L.I., Karimi H.Z., Rutter, B.D., Zeng L., Choi D.S., Zhang B., Gu W., Chen X., Ye W., Innes R.W., Zhai J., Ma W. A Phytophthora effector suppresses trans-kingdom RNAi to promote disease susceptibility // Cell Host Microbe. 2019. V. 25. P. 153. https://doi.org/10.1016/j.chom.2018.11.007
- de Vries S., von Dahlen J.K., Uhlmann C., Schnake A., Kloesges T., Rose L.E. Signatures of selection and host‐adapted gene expression of the Phytophthora infestans RNA silencing suppressor PSR2 // Mol. Plant Pathol. 2017. V. 18. P. 110. https://doi.org/10.1111/mpp.12465
- Xiong Q., Ye W., Choi D., Wong J., Qiao Y., Tao K., Wang Y., Ma W. Phytophthora suppressor of RNA silencing 2 is a conserved RxLR effector that promotes infection in soybean and Arabidopsis thaliana // Mol. Plant Microbe Interact. 2014. V. 27. P. 1379. https://doi.org/10.1094/MPMI-06-14-0190-R
- Vetukuri R.R., Whisson S.C., Grenville-Briggs L.J. Phytophthora infestans effector Pi14054 is a novel candidate suppressor of host silencing mechanisms // Eur. J. Plant Pathol. 2017. V. 149. P. 771. https://doi.org/10.1007/s10658-017-1222-9
- Parperides E., El Mounadi K., Garcia‐Ruiz H. Induction and suppression of gene silencing in plants by nonviral microbes // Mol. Plant Pathol. 2023. V. 24. P. 1347. https://doi.org/10.1111/mpp.13362
- Murashige T., Skoog F. A revised medium for rapid growth and bio assays with tobacco tissue cultures // Physiol. Plant. 1962. V. 15. P. 473. https://doi.org/10.1111/j.1399-3054.1962.tb08052.x
- Каталог штаммов и изолятов коллекции эндофитных микроорганизмов ИБГ УФИЦ РАН (2018), Уфа. http://ibg.anrb.ru/wp-content/uploads/2019/04/Katalog-endofit.doc
- Сорокань А.В., Бурханова Г.Ф., Алексеев В.Ю., Максимов И.В. Влияние совместной обработки эндофитным штаммом бактерий Bacillus thuringiensis B-5351 и салициловой кислотой на устойчивость растений картофеля к Phytophthora infestans (Mont.) de Bary // Вестник Томского государственного университета. Биология. 2021. № 53. С. 109. https://doi.org/10.17223/19988591/53/6
- Nowicki M., Foolad M.R., Nowakowska M., Kozik E.U. Potato and tomato late blight caused by Phytophthora infestans: an overview of pathology and resistance breeding // Plant Dis. 2012. V. 96(1). P. 4-17. https://doi.org/10.1094/PDIS-05-11-0458.
- Kumawat K.C., Razdan N., Saharan K. Rhizospheric microbiome: bio-based emerging strategies for sustainable agriculture development and future perspectives // Microbiol. Res. 2022. V. 254: 126901. https://doi.org/10.1016/j.micres.2021.126901
- Sorokan A., Burkhanova G., Gordeev A., Maksimov I. Exploring the role of salicylic acid in regulating the colonization ability of Bacillus subtilis 26D in potato plants and defense against Phytophthora infestans // Int. J. Plant Biol. 2023. V. 14. P. 242. https://doi.org/10.3390/ijpb14010020
- Huang Ch.-Y., Wang H., Hu P., Hamby R., Jin H. Small RNAs ‒ big players in plant-microbe interactions // Cell Host Microbe. 2019. V. 26. P. 173. https://doi.org/10.1016/j.chom.2019.07.021
- Zhang D., Liu M., Tang M., Dong B., Wu D., Zhang Z., Zhou B. Repression of microRNA biogenesis by silencing of OsDCL1 activates the basal resistance to Magnaporthe oryzae in rice // Plant Sci. 2015. V. 237. P. 24. https://doi.org/10.1016/j.plantsci.2015.05.002
- Cao J.Y., Xu Y.P., Li W., Li S.S., Rahma, H., Cai X.Z. Genome-wide identification of Dicer-like, Argonaute, and RNA-dependent RNA polymerase gene families in Brassica species and functional analyses of their Arabidopsis homologs in resistance to Sclerotinia sclerotiorum // Front. Plant Sci. 2016. V. 7. P. 1614. https://doi.org/10.3389/fpls.2016.01614
- Pradhan M., Pandey P., Baldwin I.T., Pandey S.P. Argonaute4 modulates resistance to Fusarium brachygibbosum infection by regulating jasmonic acid signaling // Plant Physiol. 2020. V. 184. P. 1128. https://doi.org/10.1104/pp.20.00171
- Luan Y., Cui J., Li J., Jiang N., Liu P., Meng J. Effective enhancement of resistance to Phytophthora infestans by overexpression of miR172a and b in Solanum lycopersicum // Planta. 2018. V. 247. P. 127. https://doi.org/10.1007/s00425-017-2773-x
Supplementary files
Note
1Дополнительные материалы размещены в электронном виде по DOI статьи: 10.31857/S0015330324040039





