Effect of heavy metals on mycorrhization roots of legume-¬rhizobia symbiosystems of Pisum sativum L.
- Authors: Vorobyov N.I.1, Puhalsky J.V.1,2, Azarova T.S.1, Loskutov S.I.2,3, Laktionov Y.V.1, Kosulnikov Y.V.1, Kovalchuk A.I.1, Kozhemyakov A.P.1
-
Affiliations:
- All-¬Russia Research Institute for Agricultural Microbiology
- Pushkin Leningrad State University
- V. M. Gorbatov Research Center for Food Systems
- Issue: No 5 (2024)
- Pages: 64-70
- Section: Ecotoxicology
- URL: https://ogarev-online.ru/0002-1881/article/view/261199
- DOI: https://doi.org/10.31857/S0002188124050086
- EDN: https://elibrary.ru/CYTCUS
- ID: 261199
Cite item
Full Text
Abstract
The influence of a microbial consortium consisting of the nodule bacterium Rhizobium leguminosarum bv. viciae strain CIAM1079, the associative rhizobacterium Variovorax paradoxus strain 5C-2 and the arbuscular fungus Glomus sp. 1Fo was studied. on the biomass of roots and the formation of mycorrhizal infection in various genotypes of peas grown on fallow sod-podzolic soil contaminated with heavy metals. It was shown that artificial inoculation of plants on average contributed to an increase in mycorrhization parameters by about 4 times. At the same time, in most cases, this practically did not affect the intensity of growth of the root system of plants against the background of soil contamination with toxicants. The use of the neural network data analysis method showed that morphometric indicators were not a reliable criterion for assessing the degree of mycorrhization of a macrosymbiont. The calculation of cognitive significance indices provided a prerequisite for the creation of a program for assessing the ecochemical processes underlying the integral interaction of symbiotic partners in conditions of multiple symbiosis and the stressful influence of environmental factors.
Full Text
Введение
В последнее время все большую актуальность приобретает проблема загрязнения почв сельскохозяйственных угодий солями тяжелых металлов (ТМ) [1, 2]. Причем, как правило, эти загрязнения характеризуются полиэлементным типом [3]. Связано это в первую очередь c нерациональным применением минеральных удобрений (в частности. фосфорных), а также осадков сточных вод, используемых в качестве нетрадиционных мелиорантов [4, 5].
Известно, что представители семейства Бобовых (Fabaceae) более чувствительны к воздействию ТМ, нежели, например, Мятликовые (Poaceae) или Капустные (Brassicaceae). При этом данные виды культивируются повсеместно и являются более экологически пластичными за счет способности к образованию множественного симбиоза с широким спектром почвенных микроорганизмов, в частности, с арбускулярными грибами, формирующими на их корневой системе везикулярно-арбускулярную микоризу (ВАМ) [6, 7]. Данный симбиоз взаимовыгоден обоим партнерам, поскольку микоризные грибы обеспечивают растения водой и минеральными веществами, в основном фосфором. Последний играет важную роль в энергетическом обмене и особенно в таком энергозатратном процессе как азотфиксация [8]. Совместная инокуляция арбускулярными грибами и ризобактериями (Plant Growth Promoting Rhizobacteria – PGPR) также оказывает положительное действие на растения, главным образом за счет ингибирования развития грибных фитопатогенов [9]. Растения взамен выделяют в ризосферу различные низкомолекулярные органические соединения (экзометаболиты), используемые микробами в качестве дополнительного источника доступного углерода [10].
За счет улучшения общих (неспецифических) ответных реакций растительного организма к воздействию стрессов, связанных с повышением проницаемости мембран корневой системы для поступления в нее воды и растворенных в ней минеральных элементов, эктомикоризная колонизация также влияет на толерантность растений к ТМ, в частности, к токсичным ионам Cd, Cu, Pb, Ni, Zn [11]. Механизм влияния арбускулярных грибов на снижение аккумуляции токсикантов в растениях связан с возможностью их детоксикация внутри клеточных гиф ВАМ с участием сернистых соединений (тиолов). Проявление данного эффекта, напрямую зависит от выбора инокулянтов, поскольку устойчивость микроорганизмов к ТМ видоспецифична и может быть гораздо более высокой, чем у растений. Выделено лишь несколько линий грибов, относительно устойчивых к ТМ и относящихся к роду Glomus.
Способность хелатирования и иммобилизации ионов ТМ описана и для многих типичных представителей PGPR-бактериальной микрофлоры: Agrobacterium, Arthrobacter, Azospirillum, Bacillus, Pseudomonas,Rhizobium, Serracia и др. [12, 13]. Воздействие арбускулярных грибов и ризобий на растение при совместной инокуляции будет сильно варьировать в зависимости от конечного выбора штаммов, формирующих микробный консорциум. Механизмы, лежащие в основе взаимного влияния микроорганизмов, остаются пока недостаточно детально изученными. Однако в большинстве случаев дополнительная инокуляция бобовых культур бактериальными штаммами проявляется в положительном аспекте, связанном с усилением процессов стимуляции роста и микоризации корневой системы растений, даже в отсутствие металл-индуцированного стресса.
Цель работы – оценка изменения формировании ВАМ на корнях бобово-ризобиальной симбиоситемы гороха посевного, выращенного на загрязненной ТМ почве при инокуляции микробным консорциумом.
Методика исследования
Объектами исследования послужили разные генотипы гороха (Pisum sativum L.), полученные из коллекции ФИЦ ВИГРР им. Н. И. Вавилова (табл. 1), а также 2 генотипа из коллекции ВНИИсельскохозяйственной микробиологии – дикая линия SGE и созданный на ее основе в результате мутагенеза этилметансульфонатом Cd-устойчивый генотип SGECDt [14].
Таблица 1. Образцы гороха посевного (Pisum sativum L.), оцененные по способности аккумулировать и транспортировать ТМ из побега в семена (коллекция Всероссийского института генетических ресурсов растений им. Н. И. Вавилова, г. Санкт-Петербург)
№ в каталоге ВИР | Название | Происхождение | Направление использования |
1027 | Без названия | Германия до ١٩٤٩ г. | Кормовое |
1658 | Вейбуля | Швеция | Кормовое |
4788 | Без названия | Монголия | Кормовое |
5012 | Ojo negro especial | Аргентина | Зерно-овощное |
8093 | Telephone | Мадагаскар | Овощное |
8862 | Агат | Белоруссия | Кормовое |
9283 | Николка | РФ, Тюменская область | Кормовое |
9385 | Борей | РФ, Кировская область | Кормовое |
9540 | ID29001914 | Австралия | Кормовое |
Растения выращивали в эмалированных сосудах, заполненных 2.0 кг залежной дерново-подзолистой почвы слабой степени окультуренности. Агрохимическая характеристика почвы: pHKCl 4.63 ± 0.62, pHH2O5.43 ± 0.32, содержание гумуса – 1.47 ± 0.01%, гидролитическая кислотность – 4.89 ± 0.02 мг-экв/100 г, сумма обменных оснований – 7.30 ± 0.70 мг-экв/100 г, подвижные K2O – 87.7 ± 7.3 и P2O5 – 106 ± 5 мг/кг. На каждый сосуд приходилось по 5 семян, что примерно соответствовало норме высева 100 семян/ м2. Одновременно с посевом каждый проросток инокулировали смесью микроорганизмов (РКСМ, Санкт-Петербург, РФ, http://www.arriam.ru/kollekciya-kul-tur1/): водными суспензиями клубеньковой бактерией Rhizobium leguminosarum bv. viciae штамм CIAM1079, ассоциативной бактерией Variovorax paradoxus штамм 5C-2 (107 КОЕ/мл) и 1.0 г почвенно-корневой смеси из накопительной культуры гриба Glomus sp. 1Fo.
Удобрения вносили в почву в виде питательного раствора солей из расчета конечного содержания их в почве (мг/кг): NH4NO3 – 15, KNO3 – 200, KH2PO4 – 200, MgSO4 – 35, CaCl2 – 25, H3BO3 – 3, MnSO4 – 3, ZnSO4 – 3, Na2MoO4 – 2. Дальнейшее внесение удобрений в виде подкормок в период вегетации в схеме опыта не было предусмотрено, т. к. это могло нарушить развитие и полезное действие АМГ.
ТМ вносили в почву в виде смеси солей (мг/кг почвы): Cd – 5, Co – 25, Cr – 60, Cu – 10, Fe – 10, Hg – 3, Mn – 1, Ni – 15, Pb – 100, Sr –50, Zn – 50. Контролем служили сосуды с неинокулированными растениями. В пределах каждого генотипа и варианта было 4 аналитических повторности. Влажность субстрата в опыте поддерживали на уровне 70% ППВ путем ежедневного полива под корень, согласно расчетным формулам в зависимости от фаз онтогенеза, основанным на весовом методе. Общая продолжительность опыта составила 75 сут, до фазы полной спелости бобов.
В фазе начала созревания растения вместе с корневой системой осторожно вынимали из почвы. Корневую систему отделяли, промывали в проточной воде, избыток поверхностной влаги удаляли фильтровальной бумагой и взвешивали. Корни отделяли и фиксировали в формалине. Гистохимический анализ и количественный учет ВАМ проводили с применением метода мацерации (кипячения при 95°C) и последующим окрашиванием в течение 3 мин в растворе 10%-ной уксусной кислоты с добавлением 5% черной туши (Sheaffer Pen, Shelton, Connecticut, USA) по методике Филипс–Хейман [15]. Микроскопирование зафиксированных корней проводили с помощью светового микроскопа Axio Lab.A1 (Carl Zeiss, Germany) по методу Травло [16]. Расчет частоты микоризации и относительного количества микоризных структур (арбускул и везикул) оценивали согласно методике Воробьева с соавт. [17].
Обработку экспериментальных данных проводили с помощью статистических программ Excel 2010 (Microsoft Corp., USA). Также проводили расчет индекса когнитивной значимости (CSI) [18], с помощью вычислительной нейронной сети EuclidNN [19], анализирующей показатели микоризации и биомассы корней растений в вариантах опыта. Своей величиной данный показатель количественно характеризует уровень симбиотической активности микоризы по отношению к растению.
Результаты и их обсуждение
У всех 11-ти изученных генотипов гороха, выращенных на загрязненной ТМ почве, инокуляция растений микробным консорциумом способствовала развитию ВАМ (табл. 2).
Таблица 2. Параметры развития микоризных структур у различных генотипов гороха, выращенных на загрязненной ТМ почве, при инокуляции комплексом микроорганизмов (%)
Вариант | Частота микоризной инфекции | Обилие в образце | Обилие в микоризированной части ١ см корня | ||
арбускул | везикул | арбускул | везикул | ||
1027 – M | 1.8 ± 0.6 | 0.3 ± 0.3 | 0.0 | 7.5 ± 2.5 | 0.0 |
1658 – M | 4.2 ± 0.9 | 4.2 ± 1.0 | 0.0 | 18.3 ± 2.9 | 0.0 |
4788 – M | 4.3 ± 1.5 | 3.1 ± 1.1 | 0.2 ± 0.2 | 30.8 ± 12.0 | 2.5 ± 2.5 |
5012 – M | 2.3 ± 1.6 | 1.4 ± 0.9 | 0.2 ± 0.2 | 10.0 ± 7.1 | 0.0 |
8093 – M | 4.8 ± 1.5 | 3.0 ± 1.4 | 2.0 ± 1.7 | 20.8 ± 10.8 | 12.5 ± 12.5 |
8862 – M | 0.7 ± 0.3 | 0.5 ± 0.2 | 0.1 ± 0.1 | 2.5 ± 2.5 | 0.0 |
9283 – M | 8.2 ± 1.6 | 4.3 ± 1.3 | 0.7 ± 0.4 | 28.7 ± 9.0 | 5.0 ± 2.9 |
9385 – M | 1.7 ± 0.7 | 1.0 ± 0.3 | 0.0 | 7.5 ± 2.5 | 0.0 |
9540 – M | 3.2 ± 0.8 | 2.4 ± 1.4 | 0.2 ± 0.2 | 20.0 ± 10.0 | 2.5 ± 2.5 |
SGE – M | 5.2 ± 0.7 | 2.1 ± 0.8 | 0.0 | 30.0 ± 11.5 | 0.0 |
SGECDt – M | 6.7 ± 1.4 | 4.3 ± 0.1 | 0.4 ± 0.4 | 30.0 ± 0.1 | 3.3 ± 3.3 |
1027 + М | 27.5 ± 7.5 | 17.0 ± 6.0 | 0.0 | 24.8 ± 6.2 | 0.0 |
1658 + М | 12.0 ± 1.2 | 6.8 ± 1.5 | 0.1 ± 0.1 | 36.2 ± 6.7 | 5.0 ± 2.9 |
4788 + М | 16.0 ± 3.0 | 10.6 ± 2.6 | 1.3 ± 0.8 | 25.8 ± 7.9 | 15.0 ± 11.9 |
5012 + М | 10.7 ± 4.7 | 7.3 ± 4.4 | 0.5 ± 0.2 | 19.1 ± 7.3 | 5.0 ± 2.9 |
8093 + М | 17.0 ± 2.3 | 15.0 ± 3.2 | 1.5 ± 1.1 | 54.8 ± 6.6 | 10.8 ± 4.8 |
8862 + М | 6.8 ± 2.8 | 4.9 ± 2.3 | 0.8 ± 0.8 | 30.3 ± 12.9 | 12.5 ± 12.5 |
9283 + М | 13.0 ± 5.7 | 9.5 ± 5.3 | 0.3 ± 0.2 | 25.8 ± 9.1 | 5.0 ± 2.9 |
9385 + М | 10.0 ± 4.3 | 7.8 ± 3.1 | 0.2 ± 0.2 | 32.7 ± 8.3 | 2.5 ± 2.5 |
9540 + М | 37.0 ± 4.3 | 4.7 ± 4.2 | 0.2 ± 0.2 | 15.5 ± 12.4 | 2.5 ± 2.5 |
SGE + М | 10.0 ± 5.9 | 7.8 ± 3.2 | 0.0 | 23.8 ± 8.7 | 0.0 |
SGECDt + M | 20.3 ± 6.1 | 14.2 ± 4.3 | 1.0 ± 0.8 | 32.8 ± 3.9 | 6.7 ± 3.3 |
Примечания. 1. – M – контроль без инокуляции, + М – инокуляция смесью симбиотических микроорганизмов. 2. Указаны ошибки средних.
На корнях некоторых неинокулированных растений также была обнаружена ВАМ, вероятно образованная аборигенными штаммами, но интенсивность микоризации в этом случае была существенно меньше, чем при инокуляции.
Искусственная инокуляция растений микробным консорциумом, в составе которого присутствовал арбускулярный гриб Glomus sp. 1Fo, в среднем способствовала увеличению встречаемости ВАМ инфекции в образцах и обилия арбускул в образце примерно в 4 раза (рис. 1). При этом, обилие везикул в образце при инокуляции растений по сравнению с контрольным вариантом повысилось незначительно.
Рис. 1. Средние для всех выращенных на загрязненной ТМ дерново-подзолистой почве генотипов гороха величины параметров развития микоризных структур. Параметры микоризации корней: встречаемость микоризной инфекции (F), обилие арбускул в образце (М), обилие арбускул в микоризованных фрагментах (m), обилие везикул в образце (V) и обилие везикул в микоризованных фрагментах (v). Вертикальные отрезки обозначают ошибки средних.
Наиболее отзывчивыми к искуственной микоризации оказались генотипы 1027 и 9540, в которых частота микоризной инфекции в опытных вариантах возросла соответственно с 1.8 до 27.5% (рост на 25.7%), и с 3.2 до 37% (рост на 33.8%) в сравнении с контрольными.
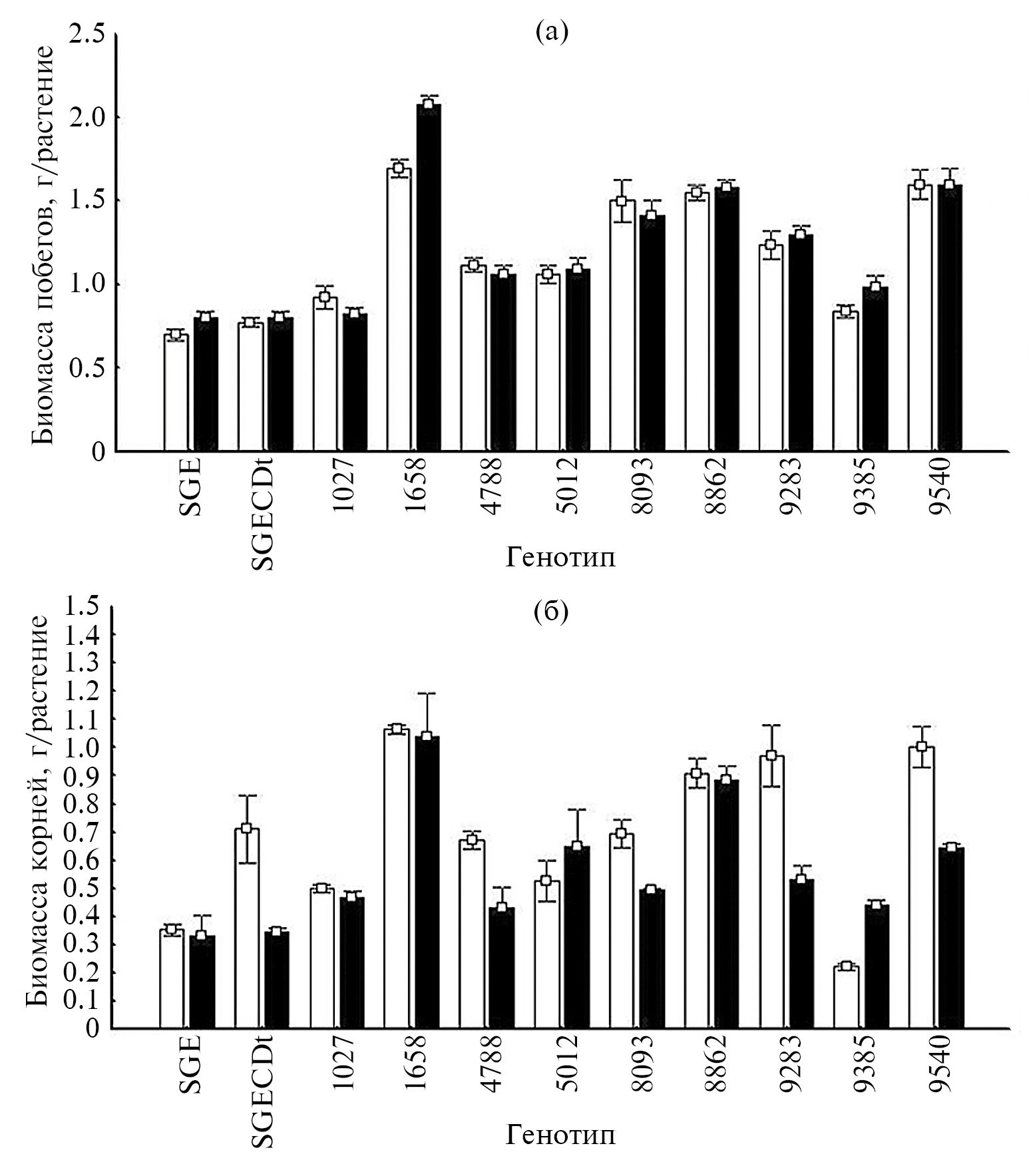
Наименее отзывчивыми к искуственной микоризации оказались генотипы 9283 и SGE, в которых частота микоризной инфекции в опытных вариантах возросла с 8.2 до 13.0% (рост на 4.8%) и с 5.2 до 10.0% (рост на 4.8%) соответственно. Отметим, что доля обилия арбускул в инокулированных растениях возрастала во всех образцах, в особенности максимальное увеличение данного показателя наблюдали угенотипов гороха 1027 и 8093, где количество арбускул в образцах увеличилось с 0.3 до 17.0% и с 3.0 до 15.0%. Было показано, что в большинстве случаев микоризация различных генотипов гороха не повлияла на интенсивность роста растений на фоне загрязнения почв ТМ (рис. 2).
Рис. 2. Влияние инокуляции на накопление биомассы побегов (а), биомассы корней (б). □ – неинокулированные растения, ■ – инокулированные растения. Вертикальные отрезки обозначают ошибки средних. Генотипы расположены слева направо по увеличению их коллекционного номера.
Исключение составили растения генотипа 1658, где в инокулированных образцах в сравнении с контролем биомасса побегов увеличилась примерно на 25%, и генотип 9385, инокуляция которого увеличила биомассу корневой системы почти в 2 раза. Были отмечены также случаи, когда инокуляция растений приводила к снижению роста корневой системы. Например, для генотипов SGECDt, 9283 и 9540 биомасса корней в опытном варианте была приблизительно в 2 раза меньше, чем у контрольных растений.
Расчет CSI-индекса показал, что микориза проявляла наибольшую симбиотическую активность для генотипа 1658 (рис. 3).
Рис. 3. Показатели CSI-индекса в вариантах опыта, □ – неинокулированные растения, ■ – инокулированные растения.
При этом в отличие от показателей биомассы инокуляция микробным консорциумом для данного генотипа приводила к существенному снижению степени микоризации. Значимо рост консолидации CSIнаблюдался только в отношении генотипов 8093 и SGE.
Заключение
Таким образом, все изученные генотипы гороха продемонстрировали способность образовывать везикулярно-арбускулярную микоризу, однако в большинстве случаев инокуляция не повышала устойчивость растений к токсическому действию тяжелых металлов (ТМ), что выражалось в отсутствии достоверных прибавок биомассы корней и побегов. С одной стороны, это можно объяснить низкой способностью выбранного штамма арбускулярного гриба в составе микробного комплекса выступать в качестве унифицированного агента, способного к сорбции ТМ. С другой стороны, визуальные параметры морфометрии не являлись достоверным критерием оценки степени микоризации макросимбионта. Расчет показателей индексов CSI дал предпосылку создания программы нейросетевого моделирования экохимических процессов, лежащих в основе интегрального взаимодействия симбиотических партнеров в условиях множественного симбиоза и стрессового влияния факторов внешней среды.
Авторы признательны доктору биологических наук А. А. Белимову за предоставление семенного материала для проведения эксперимента.
About the authors
N. I. Vorobyov
All-¬Russia Research Institute for Agricultural Microbiology
Email: puhalskyyan@gmail.com
Russian Federation, 196608, Saint-¬Petersburg–Pushkin, Podbelskogo sh. 3
J. V. Puhalsky
All-¬Russia Research Institute for Agricultural Microbiology; Pushkin Leningrad State University
Author for correspondence.
Email: puhalskyyan@gmail.com
Russian Federation, 196608, Saint-¬Petersburg–Pushkin, Podbelskogo sh. 3; 196605, St. Petersburg–Pushkin, Petersburgskoye sh. 10
T. S. Azarova
All-¬Russia Research Institute for Agricultural Microbiology
Email: puhalskyyan@gmail.com
Russian Federation, 196608, Saint-¬Petersburg–Pushkin, Podbelskogo sh. 3
S. I. Loskutov
Pushkin Leningrad State University; V. M. Gorbatov Research Center for Food Systems
Email: puhalskyyan@gmail.com
All-Russian Scientific Research Institute of Food Additives
Russian Federation, 196605, St. Petersburg–Pushkin, Petersburgskoye sh. 10; 191014, St. Petersburg, Liteiny prosp. 55Yu. V. Laktionov
All-¬Russia Research Institute for Agricultural Microbiology
Email: puhalskyyan@gmail.com
Russian Federation, 196608, Saint-¬Petersburg–Pushkin, Podbelskogo sh. 3
Yu. V. Kosulnikov
All-¬Russia Research Institute for Agricultural Microbiology
Email: puhalskyyan@gmail.com
Russian Federation, 196608, Saint-¬Petersburg–Pushkin, Podbelskogo sh. 3
A. I. Kovalchuk
All-¬Russia Research Institute for Agricultural Microbiology
Email: puhalskyyan@gmail.com
Russian Federation, 196608, Saint-¬Petersburg–Pushkin, Podbelskogo sh. 3
A. P. Kozhemyakov
All-¬Russia Research Institute for Agricultural Microbiology
Email: puhalskyyan@gmail.com
Russian Federation, 196608, Saint-¬Petersburg–Pushkin, Podbelskogo sh. 3
References
- Давыдова С.Л., Тагасов В.И. Тяжелые металлы как супертоксиканты XXI века: учеб. пособ. М.: Изд-во РУДН, 2002. 140 с.
- Медведев И.Ф., Деревягин С.С. Тяжелые металлы в экосистемах. Саратов: Ракурс, 2017. 178 с.
- Елькина Г.Я. Реакция растений на полиэлементное загрязнение подзолистых почв тяжелыми металлами // Агрохимия. 2017. № 7. С. 78–85.
- Алексеев Ю.В. Тяжелые металлы в почвах и растениях. СПб.: Изд-во ПИЯФ РАН, 2008. 216 с.
- Водяницкий Ю.Н., Ладонин Д.В., Савичев А.Т. Загрязнение почв тяжелыми металлами: учеб. пособ. М.: Почв. ин-т им. В.В. Докучаева РАСХН, 2012. 304 с.
- Борисов А.Ю., Штарк О.Ю., Жуков В.А., Неманкин Т.А., Наумкина Т.С., Пинаев А.Г., Ахтемова Г.А., Ворошилова В.А., Овчинникова Е.С., Рычагова Т.С., Цыганов В.Е., Жернаков А.И., Кузнецова Е.В., Гришина О.А., Сулима А.С., Федорина Я.В., Чеботарь В.К., Бисселинг Т., Лемансо Ф., Джианиназзи–Пирсон В., Ратэ П., Санхуан Х., Стоугаард Й., Берг Г., Макфи К., Эддис Н., Тихонович И.А. Взаимодействие бобовых с полезными почвенными микроорганизмами: от генов растений к сортам // Сел.-хоз. биол. 2011. № 3. С. 41–47.
- Штарк О.Ю., Борисов А.Ю., Жуков В.А., Неманкин Т.А., Тихонович И.А. Многокомпонентный симбиоз бобовых с полезными почвенными микроорганизмами: генетическое и эволюционное обоснование использования в адаптивном растениеводстве // Экол. генетика. 2011. № 9. С. 80–94.
- Dilworth M.J. Dinitrogen fixation // Ann. Rev. Plant Physiol. 1974. V. 25. № 1. P. 81–114.
- Леппянен И.В., Штарк О.Ю., Павлова О.А., Бовин А.Д., Иванова К.А., Серова Т.А., Долгих Е.А. Анализ эффектов совместной инокуляции грибами арбускулярной микоризы и ризобиями на рост и развитие растений гороха Pisum sativum L. // Сел.-хоз. биол. 2021. Т. 56. № 3. С. 475–486.
- Шапошников А.И., Пухальский Я.В., Кравченко Л.В., Белимов А.А. Роль корневой экссудации в трофических взаимодействиях растений с ризосферными микроорганизмами. СПб.: Информ-Навигатор, 2016. 104 c.
- Смит С.Э., Рид Д. Дж. Микоризный симбиоз. М.: То- варищество научн. изд. КМК, 2012. 776 с.
- Белимов А.А., Кунакова А.М., Сафронова В.И., Степанок В.В., Юдкин Л.Ю., Алексеев Ю.В., Кожемяков А.П. Использование ассоциативных бактерий для инокуляции ячменя в условиях загрязнения почвы свинцом и кадмием // Микробиология. 2004. Т. 73. С. 118–125.
- Hu N., Zhao B. Key genes involved in heavy-metal resistance in Pseudomonas pulida CD2 // FEMS Microbiol. Lett. 2007. V. 267. P. 17–22.
- Tsyfanov V.E., Belimov A.A., Borisov A.Y., Safro- nova V.I., Georgi M., Dietz K.–J., Tikhonovich I.A. A chemically induced new pea (Pisum sativum L.) mutant SGECdt with increased tolerance to and accumulation of cadmium // Annal. Botany. 2007. № 99. P. 227–237.
- Phillips J.M., Hayman D.S. Improved procedures for clearing roots and staining parasitic and vesicular-arbuscular mycorrhizal fungi for rapid assessment of infection // Transact. British Mycor. Soc. 1970. V. 55. P. 158–161.
- Trouvelot A., Kough J.L., Gianinazzi-Pearson V. Mesure du taux de mycorhization VA d’un systeme radi-culaire // Physiol. Genet. Aspect. Mycorrhizae. Paris: INRA-Press, 1986. P. 217–221.
- Воробьев Н.И., Юрков А.П., Проворов Н.А. Свид-во № 2016612112 от 12.02.2016 о регистрации программы ЭВМ “Программа вычисления индексов микоризации корней растений”. М.: Федерал. служба по интеллект. собственности. 2016.
- Sutrop U. List task and a cognitive salience index // Field metods. 2001. V. 13(3). P. 263–276.
- Воробьев Н.И., Пухальский Я.В., Пищик В.Н. Программа нейросетевого анализа корреляционных связей в биосистемах. Свид-во гос. регистр. программы для ЭВМ № 2023611435 от 19.01.2023.
Supplementary files




