Developmental Features of Corpus Callosum in Children Revealed by MRI
- Authors: Zykin P.A.1, Yalfimof A.N.2, Aleksandrov T.A.2, Krasnoshchekova E.I.1, Tkachenko L.A.1, Sereda V.M.2, Nasyrov R.A.2
-
Affiliations:
- Saint Petersburg State University
- St. Petersburg State Pediatric Medical University
- Issue: Vol 9, No 1 (2018)
- Pages: 37-48
- Section: Articles
- URL: https://ogarev-online.ru/pediatr/article/view/8733
- DOI: https://doi.org/10.17816/PED9137-48
- ID: 8733
Cite item
Full Text
Abstract
With the wide use of magnetic resonance imaging (MRI) in clinical practice, more attention is paid to corpus callosum hypoplasia in children with various central nervous system diseases, including the cerebral palsy. We compared the areas of corpus callosum segments on the mid-sagittal MR images of the children with cerebral palsy and a control group; full-term infants and preterm infants. During the postnatal development, overall callosum area naturally increases, but single segments change differently in both absolute and relative values. In the control group, the relative area of the splenium grew insignificantly, whereas for the genu, it was stable. Children with cerebral palsy also show age-specific growth, but the area of corpus callosum is smaller compared with equal age children in the control group. We found an increased relative area of corpus callosum genu and a decrease of anterior body and splenium in the cerebral palsy group compared with the control group. The kCC index shows higher values in the control group than in any age subgroup of children with cerebral palsy. Mean values for the control group steadily increase with age, whereas in the cerebral palsy group, they remain the same. For every age-specific group, the difference of kCC was statistically significant. Mean kCC index values depend on gestational age and are statistically lower in preterm infants compared with full-term infants. Selective corpus callosum hypoplasia found in the current research could be due to Wallerian degeneration or a decreased number of axons in some of its segments. This could be explained by the disruption of neurogenesis in certain cortical areas. The morphometric index kCC can be used to detect deviations in the corpus callosum structure associated with prematurity and cerebral palsy.
Keywords
Full Text
Мозолистое тело (corpus callosum, CC) — самый крупный тракт конечного мозга, который объединяет новую кору обоих полушарий и с которым традиционно связывают представления о латерализации функций, особенностях поведения человека и его когнитивных способностях. С широким внедрением в клиническую практику методов магнитно-резонансной томографии (МРТ) стали обращать внимание на гипо- и дисплазии СС у детей с заболеваниями ЦНС различного генеза: с детским церебральным параличом (ДЦП), с фетальным алкогольным синдромом, у детей, рожденных женщинами с гипотиреозом, и т. д. — всего около 50 заболеваний [12, 26, 35, 39].
ДЦП — ведущая причина детской инвалидности во всем мире, формирует группу непрогрессирующих поражений головного мозга, которые в подавляющем большинстве случаев возникают пренатально и частота встречаемости которых постоянно растет, достигая в среднем 2,11 случая на 1000 новорожденных в год [6, 31]. Неоднократно отмечена положительная корреляция роста заболеваемости ДЦП и численности новорожденных с низкой и экстремально низкой массой тела, но адекватного объяснения этому не найдено [31]. В то же время по данным МРТ в структуре мозга детей с ДЦП, кроме типичных отклонений, таких как кистозные лейкомаляции, локальные очаги демиелинизации, вентрикуломегалия [11, 13], отмечают дефицит кортикоспинального, сенсомоторных трактов мозга, а также гипоплазии СС [32, 38]. Одна из возможных причин развития гипоплазий СС — валлеровская дегенерация аксонов. Это явление было открыто более 100 лет назад и представляет собой антероградное перерождение аксонов, их миелиновой оболочки после гибели нейронов и/или отделения аксона от тела клетки. Гистологически такие аксоны визуализируются на протяжении первых двух недель после травмы, по результатам структурной МРТ изменения белого вещества той же природы обнаруживают через три недели после инсульта [16, 22]. У новорожденных методом диффузионно-тензорной томографии нарушения целостности нисходящих трактов и СС визуализируют уже в первые сутки после инсульта, это так называемая преваллеровская дегенерация [10, 19]. На более поздних сроках судить о причине гипоплазии трактов можно по уменьшению плотности инициальных нейронов и истончению коры. Так, в модельных экспериментах на животных наблюдают прямую корреляцию уменьшения количества транскаллозальных волокон, плотности нейронов и толщины коры полушарий [7, 36]. В то же время у взрослых пациентов с агенезиями СС сниженную толщину коры описывают только в первичных сенсорных и моторном полях коры [9].
Анализируя причины гипоплазий СС у детей с ДЦП и иными заболеваниями пренатального генеза, необходимо учитывать известный факт гетерохронного развития коры и периоды ее повышенной уязвимости. Во второй половине гестации критический период развития коры связан с постмиграционной дифференцировкой нейронов, когда клетки уязвимы по отношению к тератогенным факторам. Разные корковые территории проходят этот период гетерохронно. В качестве маркеров таких периодов чаще всего используют белки пре-, постсинапсов и цитоскелета. К последним относится белок микротрубочек МАР2, который позволяет идентифицировать морфотип клетки и период активного синаптогенеза, то есть критический период постмиграционной дифференцировки с высокой уязвимостью нейронов [37]. Во втором и начале третьего триместра гестации кора предцентральной, постцентральной, перисильвиевой и префронтальной областей полушарий демонстрирует опережающую постмиграционную дифференцировку, о чем свидетельствует сравнительно большая ее толщина по результатам плодной МРТ [15, 34] и МАР2-позитивные пирамидные клетки в слоях III и V [5, 44]. Эти нейроны инициируют как нисходящие, так и корково-корковые связи, в том числе транскаллозальные. Таким образом, можно обоснованно полагать, что в зависимости от временного совпадения критического периода развития клеток, неблагополучного периода беременности или преждевременного рождения нейродегенеративный процесс затронет разные области коры и скажется на организации проводящих трактов. Принимая во внимание строгую топографию каллозальных волокон, локальные гипоплазии СС можно рассматривать как следствие избирательной гибели нейронов, последующей валлеровской дегенерации транскаллозальных аксонов. Опираясь на эту гипотезу, был разработан количественный метод диагностики ДЦП по морфометрическим параметрам СС на срединных сагиттальных томограммах мозга [4]. Диагностическая значимость такого метода может быть существенно повышена его адаптацией к анализу томограмм детей младшего грудного возраста.
Цель настоящего исследования заключается в сравнительной морфометрической оценке состояния мозолистого тела по результатам МРТ мозга детей разного возраста без патологий ЦНС и с ДЦП, а также доношенных и недоношенных детей раннего грудного возраста.
Материал и методы исследования
В исследование включены результаты обследования детей, выполненных на отделении лучевой диагностики Санкт-Петербургского государственного педиатрического медицинского университета (СПбГПМУ). Все дети проходили обследование по назначению врача-невролога в период с 2008 по 2013 г. Новорожденные дети проходили МРТ-обследования в 2011 г. в ходе стационарного лечения в отделении патологии новорожденных СПбГПМУ. По результатам обследования во всех случаях имелось заключение врача-радиолога. Родители или опекуны детей подписывали информированное согласие на использование результатов обследования в открытых публикациях, исследование одобрено этическим комитетом СПбГПМУ.
В первой части работы был осуществлен сравнительный анализ МР-томограмм мозга детей обоих полов в возрасте от 2 до 11 лет без неврологических заболеваний (n = 50; 24 мальчика, 26 девочек) и их сверстников с диагнозом ДЦП (n = 60; 27 мальчиков, 33 девочки). Дети группы контроля проходили диагностическое обследование по поводу таких заболеваний, как отит, синусит, ушиб головы. Изображения были получены на томографе General Electric Signa HDx с напряженностью поля 1,5 T с использованием 8-канальной катушки приема сигнала в режимах T1 и T2 fl3d с шагом в 2 мм и толщиной среза 2,5 мм в сагиттальной и аксиальной проекциях.
Для исследования были отобраны МР-то мограммы удовлетворительного контраста и без выраженных структурных патологий мозга. По заключению врача-радиолога у всех детей с ДЦП обнаружена перивентрикулярная лейкомаляция. Во всех 110 случаях мозолистое тело мозга было полностью сформировано. Сравнительный анализ развития СС мозга детей с ДЦП и группы контроля осуществляли с учетом возраста пациентов. Принимая во внимание индивидуальную вариабельность онтогенетических преобразований мозга и психомоторного развития детей, были выделены 8 возрастных подгрупп сравнения (табл. 1). Пол детей не учитывали ввиду малочисленности этих подгрупп.
Таблица 1 (Table 1). Численный состав возрастных подгрупп сравнения детей с детским церебральным параличом и контроля
The number of cases in each age subgroups for groups with cerebral palsy and control
Группы | Возрастные подгруппы, лет | |||||||
2–3 | 3–4 | 4–5 | 5–6 | 6–7 | 7–8 | 8–9 | 9–11 | |
Контроль | 11 + 1ДТ | 14 + 2ДТ | 8 | 8 | 14 | 13 | 11 | 12 + 1ДТ |
ДЦП | 24 | 18 | 18 | 13 | 7 | 8 | 6 | 6 |
Примечание: ДТ — диффузионно-тензорная томография | ||||||||
В дополнение к стандартным протоколам МРТ одному ребенку 3 лет, двум — 4 лет и одному — 11 лет выполняли диффузионно-тензорную томографию (ДТ-МРТ). Сканирование проводили по протоколу одноимпульсной эхопланарной томографии без подавления сигнала от свободной воды. Использовали следующие параметры: TR = 6000 мс, ТЕ = 96,6 мс, толщина среза — 5 мм, пропуск — 6 мм, FOV — 280 мм, матрица — 256 × 256, значение фактора диффузии b = 1000 для всех 16 направлений градиента. Коэффициент фракционной анизотропии (КФА), отражающий степень направленности диффузии в каждом единичном элементе объема (вокселе) томограммы, рассчитывали общепринятым методом [8].
Во второй части исследований был выполнен сравнительный анализ 16 МР-томограмм мозга детей раннего грудного возраста, рожденных на сроке гестации от 27 до 42 недель. Дети были обследованы однократно в первые недели после рождения в открытом томографе Siemens Magnetom Concerto 0,2 T в режимах T1 и T2 fl3d c толщиной среза 5 мм, шагом 5 мм, в двух проекциях — аксиальной и сагиттальной. Из анализа МР-изображений были исключены гипоконтрастные томограммы с нечеткими границами серого и белого вещества и случаи с выраженной дисплазией полушарий мозга, с перивентрикулярной лейкомаляцией; с острой гидроцефалией заместительного типа со значительно расширенными периваскулярными пространствами, с обширными гипоксически-ишемическими поражениями мозга, дисгенезией мозолистого тела и кистой прозрачной перегородки. По заключению врача-радиолога у всех недоношенных детей отмечены признаки слабовыраженной гидроцефалии открытого типа и умеренной дисмиелинизацией. По литературным данным, такие отклонения в структуре мозга не приводят к развитию неврологических нарушений, на что указывают результаты ретроспективного анализа томограмм мозга новорожденных, проведенного с учетом психомоторного развития детей в двухлетнем возрасте [43]. Во всех случаях мозолистое тело было полностью сформировано. В группу доношенных вошли 6 детей, родившихся на сроке 38–42 недели, а в группу недоношенных — 10 детей, родившихся на сроке 27–36 недель.
Морфометрический анализ осуществляли при помощи свободно доступных программ просмотра и обработки изображений DICOM Viewer 1 и NIH ImageJ [39].
Все морфометрические исследования проводили на срединных сагиттальных томограммах мозга поэтапно и автоматически 2: 1) выравнивали изображения по передней и задней комиссурам, предварительно соединив их прямой линией и повернув изображение таким образом, чтобы данная линия стала строго горизонтальной; 2) разделяли СС по схеме Вителсон [47] на семь сегментов: клюв (СС1), колено (СС2), передняя (СС3), средняя (СС4) и задняя части ствола (СС5), перешеек (СС6), валик (СС7). В контексте поставленных задач точное выделение частей мозолистого тела особенно важно, так как транскаллозальные связи отличаются высокой упорядоченностью: в составе клюва, колена и передней части ствола проходят аксоны, соединяющие префронтальные области коры; в средней и задней частях ствола — премоторные и дополнительные моторные; в составе перешейка — пред- и постцентральные; аксоны, связывающие затылочные и височные области коры, проходят в составе валика [20]. После выделения сегментов подсчитывали площади каждого из них и общую площадь комиссуры. Клюв, как самую малую ростральную часть СС, не удается четко выделить на всех томограммах, поэтому данный сегмент мозолистого тела был исключен из анализа.
В качестве интегрального морфометрического показателя был использован ранее запатентованный коэффициент мозолистого тела 3. Формула коэффициента мозолистого тела (kCC) представляет собой соотношение площадей сегментов переднего и заднего отделов мозолистого тела:
kCC = (СС2 + СС3) ∙ СС6/СС7.
Для анализа томограмм мозга детей раннего грудного возраста дополнительно использовали широтно-продольный показатель [28], который является соотношением битемпорального (БТД) и фронто-окципитального (ФОД) диаметров мозга:
БТД/ФОД ∙ 100.
Статистическую обработку результатов осуществляли в программе Statistica 6.0. Применяли методы описательной статистики: среднее арифметическое, стандартное отклонение. В качестве критерия достоверности различий использовали U-критерий Манна – Уитни.
Результаты исследования
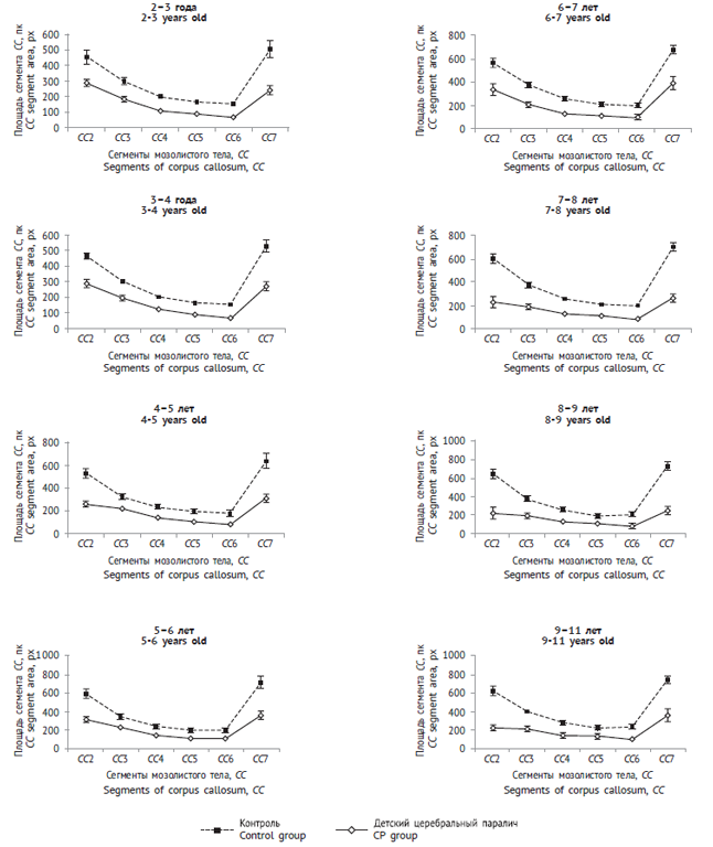
Динамику развития СС мозга детей без неврологических патологий и ее изменение при ДЦП в разных возрастных подгруппах оценивали по общей площади СС, площади отдельных сегментов СС относительно площади всей комиссуры на срединном сагиттальном срезе, коэффициенту мозолистого тела (kCC). У детей группы контроля общая площадь СС с возрастом закономерно увеличивалась, его отдельные сегменты по абсолютным и относительным значениям площади изменялись по-разному (рис. 1). В группе контроля во всех возрастных подгруппах максимальную площадь имели колено и валик (сегменты СС2 и СС7). С возрастом абсолютная площадь этих сегментов поступательно росла, при этом относительная площадь валика незначительно возрастала, а колена — нет. Абсолютные площади остальных сегментов (СС3–СС6) менялись очень слабо, при этом наиболее стабильными оказались сегменты СС5 (задняя часть ствола) и СС6 (перешеек).
Рис. 1. Площади сегментов мозолистого тела у детей разного возраста с детским церебральным параличом и группы контроля
В качестве интегрального показателя состояния СС у детей с ДЦП и группы контроля был использован коэффициент мозолистого тела. Его значения в группе контроля выше, чем у детей с ДЦП, во всех возрастных подгруппах (рис. 2).
Рис. 2. Индивидуальные значения коэффициента kCC для детей с детским церебральным параличом и группы контроля (маленькие значки) и средние значения kCC по возрастным подгруппам (большие значки). Пунктирной линией отмечено пороговое значение kCC
Средние значения коэффициента по возрастным подгруппам у детей без патологий ЦНС увеличиваются, а с ДЦП — нет. Установлено пороговое значение kСС, равное 200. При этом у 85 % детей с ДЦП значения этого коэффициента было ниже 200, а у 78 % детей группы контроля — выше 200. Во всех возрастных подгруппах эти различия были достоверны (р ≤ 0,01), для подгруппы 5–6 лет порог достоверности был ниже (р ≤ 0,05).
Таким образом, морфометрический анализ СС и коэффициент kСС позволили охарактеризовать как возрастную динамику развития мозолистого тела, так и с высокой степенью достоверности различать мозг детей из группы контроля и с ДЦП.
Один из вариантов МРТ — ДТ-МРТ — позволяет исследовать трактографию и изменение КФА, отражающего степень миелинизации трактов. Такое исследование было проведено как дополнительное четырем детям из группы контроля в возрасте 3, 4 и 11 лет (рис. 3).
Рис. 3. Выделение (a) и трактография (b) сегментов СС2 и СС7 мозолистого тела на аксиальной, сагиттальной ДТ-МРТ мозга ребенка 4 лет и значения коэффициента фракционной анизотропии колена (СС2) и валика (СС7) у детей разного возраста (c)
В ходе обработки и анализа томограмм были восстановлены тракты в составе колена (сегмент СС2) и валика (сегмент СС7) (рис. 3, a, b), проведено сравнение КФА как между указанными сегментами, так и в зависимости от возраста детей. Из-за малочисленности группы статистический анализ не проводили, результаты позволяют говорить только о тенденции повышения КФА мозолистого тела с возрастом, при более выраженном увеличении коэффициента для трактов валика по сравнению с коленом (рис. 3, c). Эти предварительные результаты подтверждают обнаруженную закономерность об изменении относительной площади валика и колена у детей группы контроля в период с 2 до 11 лет.
Значения площади каждого сегмента и коэффициента мозолистого тела зависят от срока гестации и достоверно ниже у недоношенных детей, чем у доношенных (рис. 4, 5). Кроме того, обозначено пороговое значение kСС, равное 60, по которому мозг недоношенных детей отличается от мозга детей, рожденных в срок, в 90 % случаев.
Рис. 4. Площади сегментов мозолистого тела у детей младшего грудного возраста, рожденных в срок и недоношенных. *р ≤ 0,05; **р ≤ 0,01
Рис. 5 Индивидуальные значения коэффициента kCC для доношенных (Д) и недоношенных (НД) детей младшего грудного возраста (маленькие значки) и средние значения kCC по подгруппам (большие значки). Пунк тирной линией отмечено пороговое значение kCC (а). Выделение сегментов мозолистого тела на срединной сагиттальной томограмме мозга ребенка младшего грудного возраста (b). ** р ≤ 0,01
В качестве дополнительного признака относительной зрелости мозга при сравнении томограмм доношенных и недоношенных детей был использован широтно-продольный показатель, который представляет собой соотношение БТД/ФОД. Теоретической предпосылкой для использования этого показателя в настоящем исследовании служит то, что мозг недоношенных детей раннего грудного возраста имеет долихоцефалическую, то есть вытянутую фронто-окципитально, форму с заметно сглаженными височными долями и, соответственно, меньшим битемпоральным (широтным) размером. С увеличением гестационного срока объем височных долей увеличивается, вследствие чего форма мозга доношенных детей приближается к брахицефалической [28]. Таким образом, предполагали, что у доношенных детей, по сравнению с недоношенными, соотношение БТД/ФОД снижается. Однако значения данного показателя, полученные при анализе аксиальных томограмм мозга детей на уровне максимального развития головки хвостатого ядра, передних рогов латеральных желудочков и полости прозрачной перегородки, характеризуются большим разбросом. Сравнение средних значений не выявило статистически достоверных отличий (рис. 6).
Рис. 6 Индивидуальные значения показателя БТД/ФОД для доношенных (Д) и недоношенных (НД) детей младшего грудного возраста — маленькие значки и средние значения — большие значки (a). Аксиальная томограмма мозга ребенка младшего грудного возраста с обозначенными фронто-окципитального и битемпорального диаметров мозга (b)
Таким образом, исследование томограмм мозга детей младшего грудного возраста, основанное на анализе площади мозолистого тела, его отдельных сегментов, коэффициента мозолистого тела, а также широтно-продольного показателя указывает на то, что коэффициент мозолистого тела наиболее достоверно характеризует мозг недоношенных детей в сравнении с доношенными.
Заключение
Несмотря на развитие и широкое использование методов нейровизуализации, к настоящему времени отсутствует общепринятая классификация структурных нарушений мозга при ДЦП [12, 25, 30]. Различные варианты поражения белого вещества при этом заболевании встречаются наиболее часто (в 32,9 % случаев) и привлекают исследователей в связи с использованием в качестве возможного прогностического маркера [25, 30, 43]. К самым чувствительным маркерам деструктивных процессов в центральной нервной системе при ДЦП относят мозолистое тело и кортикоспинальный тракт [18, 27, 41]. При этом показатели фракционной анизотропии этих структур статистически значимо коррелируют с тяжестью двигательных нарушений при одной из самых распространенных форм ДЦП — спастической диплегии [27]. Высказывается мнение, что сниженный КФА именно мозолистого тела, а не кортикоспинальных трактов является точным индикатором моторного дефицита у детей с диплегической формой ДЦП, особенно в отношении тонких мануальных навыков [24, 29, 46]. Мозолистое тело при ДЦП тоньше, чем у неврологически здоровых детей, что соотносится с диффузной потерей всего белого вещества полушарий мозга. При общем истончении СС у детей с ДЦП больше всего страдают валик, в меньшей степени — колено СС [32]. Наши данные подтверждают это наблюдение.
Согласно результатам наших исследований, у детей в возрасте от 2 до 11 лет площадь комиссуры на срединных сагиттальных срезах достоверно ниже у больных ДЦП в сравнении с их ровесниками без неврологических патологий. Значения коэффициента мозолистого тела при ДЦП достоверно меньше, чем в группе контроля, независимо от возраста. При этом у 85 % исследованных детей с ДЦП значения kСС ниже порогового значения, а у 78 % детей группы контроля — выше.
Сниженная площадь всего СС, а также более выраженные, по сравнению с другими сегментами, гипоплазии валика у детей с ДЦП могут быть следствием нарушения пре-, перинатального кортикогенеза. Исследования с помощью ДТ-МРТ показывают, что в пренатальном периоде изменения в микроструктуре коры отражают постепенное снижение ее анизотропии, а именно возрастающую ветвистость базальных дендритов, иннервацию кортикальной пластинки таламо-кортикальными и кортико-кортикальными волокнами [17, 21]. При этом анизотропия теряется раньше в центральных областях коры, затем в затылочной, но фиксируется во фронтальной и височной примерно до 35 GW. Эти данные, так же как результаты гистологических исследований [5, 44], указывают на гетеро хронную последовательность критических периодов развития коры, характеризующихся повышенной уязвимостью нейронов. Из этого следует, что избирательные гипоплазии СС у детей с ДЦП могут быть связаны с валлеровской дегенерацией аксонов в определенных сегментах СС из-за нарушений нейрогенеза в тех областях коры, критический период развития которых совпал с преждевременным рождением и/или воздействием тератогенных факторов. В частности, избирательные гипоплазии СС, вследствие сниженной плотности аксонов, показаны у больных аутизмом [45].
Показатель заболеваемости ДЦП в России значительно превышает известные средние значения по другим странам и колеблется в пределах 5–9 случаев на 1000 детей [1]. Особенно значительно число пациентов с диагнозом ДЦП возросло за последние 10 лет — с 7,1 тысячи человек в 2005 г. до 7,7 тысячи в 2014 г. среди пациентов в возрасте от 0 до 14 лет [2]. Высокая заболеваемость ДЦП положительно коррелирует с ростом численности новорожденных с низкой и экстремально низкой массой тела на момент рождения, которую отмечают в РФ в последние годы. Отчасти это связано с введением в клиническую практику России критериев живорождения, рекомендованных ВОЗ [3]. Недоношенность чаще всего ассоциируется с отклонениями в структурно-функциональной организации мозга, и прежде всего белого вещества [14, 33]. Несмотря на это, надежные критерии ранней диагностики заболеваний внутриутробного генеза разработаны недостаточно. Гипоплазии мозолистого тела очень часто описывают у недоношенных детей вне зависимости от их возраста на момент обследования [40, 42, 43]. В последние годы для оценки миелинизации церебральных структур у плода и новорожденных широко применяют ДТ-МРТ, оценивая значения КФА. Установлено, что у плода повышение КФА пирамидных трактов происходит уже на 23-й неделе гестации, далее в области зрительных трактов и мозолистого тела [15, 48]. У недоношенных новорожденных с аномально низкими значениями КФА в нескольких областях белого вещества, включая СС, в дальнейшем был диагностирован ДЦП, в отличие от доношенных и недоношенных детей с нормальными значениями КФА [23].
В нашем исследовании сравнивались особенности СС на томограммах мозга детей раннего грудного возраста со сроком гестации от 27 до 42 недель. Результаты работы показали, что у недоношенных детей площадь СС в целом меньше, чем у детей, рожденных в срок. Значения коэффициента мозолистого тела у недоношенных детей были достоверно ниже, чем у доношенных, и ниже порогового уровня. Полученные данные указывают на то, что дети с неполным сроком гестации на момент рождения и значениями kCC ниже порогового могут быть с высокой вероятностью отнесены к группе риска по ДЦП.
Выводы
- По результатам МРТ-морфометрии мозга у детей с ДЦП мозолистое тело тоньше, а коэффициент мозолистого тела ниже, чем у ровесников без неврологических патологий во всех возрастных группах. У 85 % детей с ДЦП kCC ниже порогового значения, а у 78 % детей группы контроля — выше.
- По результатам МРТ-морфометрии мозга детей младшего грудного возраста мозолистое тело тоньше у недоношенных детей в сравнении с доношенными. У 90 % недоношенных детей коэффициент мозолистого тела имел значения ниже порогового уровня.
About the authors
Pavel A. Zykin
Saint Petersburg State University
Author for correspondence.
Email: pavel.zykin@spbu.ru
PhD, Associate Professor, Biology Faculty, Department of Cytology and Histology
Russian Federation, Saint Petersburg,Anatolij N. Yalfimof
St. Petersburg State Pediatric Medical University
Email: pavel.zykin@spbu.ru
MD, PhD, Associate Professor
Russian Federation, Saint PetersburgTimofey A. Aleksandrov
St. Petersburg State Pediatric Medical University
Email: ale-tim@list.ru
Consultative-Diagnostic Center, Department of Radiology
Russian Federation, Saint PetersburgElena I. Krasnoshchekova
Saint Petersburg State University
Email: e.krasnozchekova@spbu.ru
PhD, Professor, Biology Faculty, Department of Cytology and Histology
Russian Federation, Saint PetersburgLyubov A. Tkachenko
Saint Petersburg State University
Email: l.tkachenko@spbu.ru
PhD, Associate Professor, Biology Faculty, Department of Cytology and Histology
Russian Federation, Saint PetersburgVasilii M. Sereda
St. Petersburg State Pediatric Medical University
Email: seredavm@mail.ru
MD, PhD, Dr Med Sci, Professor. Department of Social Pediatrics and Public Health Organization AF and DPO
Russian Federation, Saint PetersburgRuslan A. Nasyrov
St. Petersburg State Pediatric Medical University
Email: rrmd99@mail.ru
MD, PhD, Dr Med Sci, Professor, Head, Department of Pathological Anatomy at the Rate of Forensic Medicine
Russian Federation, Saint PetersburgReferences
- Акопян Т.А. Распространенность, медико-социальные аспекты и прогноз первичной инвалидности детей раннего возраста вследствие заболеваний нервной системы в крупном агропромышленном регионе // Сибирский медицинский журнал. – 2008. – Т. 23. – № 1–2. – С. 52–54. [Akopyan TA. Prevalence, medical-social aspects and prognosis of primary disability of infants-residents of large agricultural region due to nervous system diseases. Siberian medical journal. 2008;23(1-2):52-54. (In Russ.)]
- Антонова Л.К., Иванов А.А., Кольцова С.Ю., Близнецова Е.А. Клинико-патоморфологические особенности недоношенных детей, родившихся с экстремально низкой массой тела // Верхневолжский медицинский журнал. – 2014. – Т. 12. – № 2. – С. 35–38. [Antonova LK, Ivanov AA, Koltsova SY, Bliznetsova EA. Clinikopathologic features of premature extremely low-birth-weight infants. Upper Volga medical journal. 2014;12(2):35-38. (In Russ.)]
- Байбарина Е.Н., Дегтярев Д.Н. Переход на новые правила регистрации рождения детей в соответствии с критериями, рекомендованными Всемирной организацией здравоохранения: исторические, медико-экономические и организационные аспекты // Российский вестник перинатологии и педиатрии. – 2011. – Т. 56. – № 6. – С. 6–9. [Baibarina EN, Deg tyarev DN. Transition to new rules for baby’s birth registration in accordance with the criteria recommended by the World Health Organization: historical, medico-economic, and organizational aspects. Rossiiskii vestnik perinatologii i pediatrii. 2011;56(6):6-9. (In Russ.)]
- Краснощекова Е.И., Зыкин П.А., Ткаченко Л.А., и др. Возрастная динамика развития мозолистого тела детей и ее особенности при детском церебральном параличе // Бюллетень экспериментальной биологии и медицины. – 2016. – Т. 161. – № 6. – С. 816–820. [Krasnoshchekova EI, Zykin PA, Tkachenko LA, et al. Age-Specific Dynamics of Corpus Callosum Development in Children and its Peculiarities in Infantile Cerebral Palsy. Biull Eksp Biol Med. 2016;161(6):816-820. (In Russ.)]
- Краснощекова Е.И., Зыкин П.А., Ткаченко Л.А., Смолина Т.Ю. Развитие пирамидных нейронов коры полушарий конечного мозга человека во втором триместре гестации // Физиология человека. – 2010. – Т. 36. – № 4. – С. 65–71. [Krasnoshchokova EI, Zykin PA, Tkachenko LA, Smolina TY. Characteristics of Human Cortical Pyramidal Neuron Development during the Second Gestational Trimester. Fiziol Cheloveka. 2010;36(4):65-71. (In Russ.)]
- Пальчик А.Б., Шабалов Н.П. Гипоксически-ишемическая энцефалопатия новорожденных. – М.: МЕДпресс-информ, 2006. [Pal’chik AB, Shabalov NP. Hypoxic-ischemic encephalopathy of newborns. Moscow: MEDpress-inform; 2006. (In Russ.)]
- Abreu-Villaça Y, Silva WC, Manhães AC, Schmidt SL. The effect of corpus callosum agenesis on neocortical thickness and neuronal density of BALB/cCF mice. Brain Res Bull. 2002;58(4):411-416. doi: 10.1016/s0361-9230(02)00812-2.
- Alexander AL, Lee JE, Lazar M, Field AS. Diffusion tensor imaging of the brain. Neurotherapeutics. 2007;4(3):316-329. doi: 10.1016/j.nurt.2007.05.011.
- Beaule V, Tremblay S, Lafleur LP, et al. Cortical thickness in adults with agenesis of the corpus callosum. Neuropsychologia. 2015;77:359-365. doi: 10.1016/j.neuropsychologia.2015.09.020.
- Bekiesinska-Figatowska M, Duczkowska A, Szkudlinska-Pawlak S, et al. Diffusion restriction in the corticospinal tracts and the corpus callosum in neonates after cerebral insult. Brain Dev. 2017;39(3):203-210. doi: 10.1016/j.braindev.2016.10.003.
- Benders MJ, Kersbergen KJ, de Vries LS. Neuroimaging of white matter injury, intraventricular and cerebellar hemorrhage. Clin Perinatol. 2014;41(1):69-82. doi: 10.1016/j.clp.2013.09.005.
- Benini R, Dagenais L, Shevell MI, Registre de la Paralysie Cerebrale au Quebec C. Normal imaging in patients with cerebral palsy: what does it tell us? J Pediatr. 2013;162(2):369-374; e361. doi: 10.1016/j.jpeds.2012.07.044.
- de Bruine FT, van den Berg-Huysmans AA, Leijser LM, et al. Clinical implications of MR imaging findings in the white matter in very preterm infants: a 2-year follow-up study. Radiology. 2011;261(3):899-906. doi: 10.1148/radiol.11110797.
- Doria V, Arichi T, Edwards DA. Magnetic Resonance Imaging of the Preterm Infant Brain. Curr Pediatr Rev. 2014;10(1):48-55. doi: 10.2174/157339631001140408120821.
- Fan GG, Yu B, Quan SM, et al. Potential of diffusion tensor MRI in the assessment of periventricular leukomalacia. Clin Radiol. 2006;61(4):358-364. doi: 10.1016/j.crad.2006.01.001.
- Gandhi K, Gillihan L, Wozniak MA, et al. Progressive Wallerian Degeneration of the Corpus Callosal Splenium in a Patient with Alexia Without Agraphia: Advanced MR Findings. Neuroradiol J. 2014;27(6):653-656. doi: 10.15274/NRJ-2014-10097.
- Giampietri M, Bartalena L, Guzzetta A, et al. New techniques in the study of the brain development in newborn. Front Hum Neurosci. 2014;8:1069. doi: 10.3389/fnhum.2014.01069.
- Gilmore JH, Shi F, Woolson SL, et al. Longitudinal development of cortical and subcortical gray matter from birth to 2 years. Cereb Cortex. 2012;22(11):2478-2485. doi: 10.1093/cercor/bhr327.
- Groenendaal F, Benders MJ, de Vries LS. Pre-wallerian degeneration in the neonatal brain following perinatal cerebral hypoxia-ischemia demonstrated with MRI. Semin Perinatol. 2006;30(3):146-150. doi: 10.1053/j.semperi.2006.04.005.
- Hofer S, Frahm J. Topography of the human corpus callosum revisited — comprehensive fiber tractography using diffusion tensor magnetic resonance imaging. Neuroimage. 2006;32(3):989-994. doi: 10.1016/j.neuroimage.2006.05.044.
- Huppi PS, Dubois J. Diffusion tensor imaging of brain development. Semin Fetal Neonatal Med. 2006;11(6):489-497. doi: 10.1016/j.siny.2006.07.006.
- Inoue Y, Matsumura Y, Fukuda T, et al. MR imaging of Wallerian degeneration in the brainstem: temporal relationships. AJNR Am J Neuroradiol. 1990;11(5):897-902.
- Kim DY, Park HK, Kim NS, et al. Neonatal diffusion tensor brain imaging predicts later motor outcome in preterm neonates with white matter abnormalities. Ital J Pediatr. 2016;42(1):104. doi: 10.1186/s13052-016-0309-9.
- Koerte I, Pelavin P, Kirmess B, et al. Anisotropy of transcallosal motor fibres indicates functional impairment in children with periventricular leukomalacia. Dev Med Child Neurol. 2011;53(2):179-186. doi: 10.1111/j.1469-8749.2010.03840.x.
- Korzeniewski SJ, Birbeck G, DeLano MC, et al. A systematic review of neuroimaging for cerebral palsy. J Child Neurol. 2008;23(2):216-227. doi: 10.1177/0883073807307983.
- Krageloh-Mann I, Horber V. The role of magnetic resonance imaging in elucidating the pathogenesis of cerebral palsy: a systematic review. Dev Med Child Neurol. 2007;49(2):144-151. doi: 10.1111/j.1469-8749.2007.00144.x.
- Lee JD, Park HJ, Park ES, et al. Motor pathway injury in patients with periventricular leucomalacia and spastic diplegia. Brain. 2011;134(Pt 4):1199-1210. doi: 10.1093/brain/awr021.
- Mewes AU, Huppi PS, Als H, et al. Regional brain development in serial magnetic resonance imaging of low-risk preterm infants. Pediatrics. 2006;118(1):23-33. doi: 10.1542/peds.2005-2675.
- Mourao LF, Friel KM, Sheppard JJ, et al. The Role of the Corpus Callosum in Pediatric Dysphagia: Preliminary Findings from a Diffusion Tensor Imaging Study in Children with Unilateral Spastic Cerebral Palsy. Dysphagia. 2017;32(5):703-713. doi: 10.1007/s00455-017-9816-0.
- Mu X, Nie B, Wang H, et al. Spatial patterns of whole brain grey and white matter injury in patients with occult spastic diplegic cerebral palsy. PLoS One. 2014;9(6):e100451. doi: 10.1371/journal.pone.0100451.
- Oskoui M, Coutinho F, Dykeman J, et al. An update on the prevalence of cerebral palsy: a systematic review and meta-analysis. Dev Med Child Neurol. 2013;55(6):509-519. doi: 10.1111/dmcn.12080.
- Panigrahy A, Barnes PD, Robertson RL, et al. Quantitative analysis of the corpus callosum in children with cerebral palsy and developmental delay: correlation with cerebral white matter volume. Pediatr Radiol. 2005;35(12): 1199-1207. doi: 10.1007/s00247-005-1577-5.
- Pannek K, Scheck SM, Colditz PB, et al. Magnetic resonance diffusion tractography of the preterm infant brain: a systematic review. Dev Med Child Neurol. 2014;56(2):113-124. doi: 10.1111/dmcn.12250.
- Rajagopalan V, Scott J, Habas PA, et al. Local tissue growth patterns underlying normal fetal human brain gyrification quantified in utero. J Neurosci. 2011;31(8):2878-87. doi: 10.1523/JNEUROSCI.5458-10.2011.
- Ren T, Anderson A, Shen WB, et al. Imaging, anatomical, and molecular analysis of callosal formation in the developing human fetal brain. Anat Rec A Discov Mol Cell Evol Biol. 2006;288(2):191-204. doi: 10.1002/ar.a.20282.
- Ribeiro-Carvalho A, Manhaes AC, Abreu-Villaca Y, Filgueiras CC. Early callosal absence disrupts the establishment of normal neocortical structure in Swiss mice. Int J Dev Neurosci. 2006;24(1):15-21. doi: 10.1016/j.ijdevneu.2005.12.001.
- Rice D, Barone S, Jr. Critical periods of vulnerability for the developing nervous system: evidence from humans and animal models. Environ Health Perspect. 2000;108(Suppl 3):511-533.
- Scheck SM, Boyd RN, Rose SE. New insights into the pathology of white matter tracts in cerebral palsy from diffusion magnetic resonance imaging: a systematic review. Dev Med Child Neurol. 2012;54(8):684-696. doi: 10.1111/j.1469-8749.2012.04332.x.
- Schneider CA, Rasband WS, Eliceiri KW. NIH Image to ImageJ: 25 years of image analysis. Nat Methods. 2012;9(7):671-675. doi: 10.1038/nmeth.2089.
- Serenius F, Kallen K, Blennow M, et al. Neurodevelopmental outcome in extremely preterm infants at 2.5 years after active perinatal care in Sweden. JAMA. 2013;309(17):1810-1820. doi: 10.1001/jama.2013.3786.
- Sheth RD, Schaefer GB, Keller GM, et al. Size of the Corpus Callosum in Cerebral Palsy. J Neuroimaging. 1996;6(3):180-183. doi: 10.1111/jon199663180.
- Thompson DK, Inder TE, Faggian N, et al. Characterization of the corpus callosum in very preterm and full-term infants utilizing MRI. Neuroimage. 2011;55(2):479-490. doi: 10.1016/j.neuroimage.2010.12.025.
- Thompson DK, Inder TE, Faggian N, et al. Corpus callosum alterations in very preterm infants: perinatal correlates and 2 year neurodevelopmental outcomes. Neuroimage. 2012;59(4):3571-3581. doi: 10.1016/j.neuroimage.2011.11.057.
- Tkachenko LA, Zykin PA, Nasyrov RA, Krasnoshche kova EI. Distinctive Features of the Human Marginal Zone and Cajal-Retzius Cells: Comparison of Morphological and Immunocytochemical Features at Midgestation. Front Neuroanat. 2016;10:26. doi: 10.3389/fnana.2016.00026.
- Wegiel J, Flory M, Kaczmarski W, et al. Partial Agenesis and Hypoplasia of the Corpus Callosum in Idiopathic Autism. J Neuropathol Exp Neurol. 2017;76(3):225-237. doi: 10.1093/jnen/nlx003.
- Weinstein M, Green D, Geva R, et al. Interhemispheric and intrahemispheric connectivity and manual skills in children with unilateral cerebral palsy. Brain Struct Funct. 2014;219(3):1025-1040. doi: 10.1007/s00429-013-0551-5.
- Witelson SF. Hand and Sex Differences in the Isthmus and Genu of the Human Corpus Callosum. Brain. 1989;112(3):799-835. doi: 10.1093/brain/112.3.799.
- Zanin E, Ranjeva JP, Confort-Gouny S, et al. White matter maturation of normal human fetal brain. An in vivo diffusion tensor tractography study. Brain Behav. 2011;1(2):95-108. doi: 10.1002/brb3.17.
- The Tudor DICOM tools. Available at: http://santec.tudor.lu/project/dicom. (accessed 01.12.2017).
- Зыкин П.А., Ткаченко Л.А., Краснощекова Е.И. Программа автоматической сегментации мозолистого тела и расчета диаг ностического индекса (Callocometry). Свидетельство о государственной регистрации ЭВМ № 2015661246 от 21 октября 2015 г.
- Зыкин П.А., Краснощекова Е.И., Ткаченко Л.А., Ялфимов А.Н. Способ диагностики детского церебрального паралича (ДЦП). Патент на изобретение РФ № 2473311. Доступен по: https://patents.google.com/patent/RU2473311C1/ru (дата обращения 01.12.2017).
Supplementary files







