Отоакустическая эмиссия: основные направления использования в педиатрической практике
- Авторы: Гарбарук Е.С.1,2, Павлов П.В.1, Горкина О.К.1, Субора Н.В.2, Белогурова М.Б.2,3
-
Учреждения:
- Федеральное государственное бюджетное образовательное учреждение высшего образования «Санкт-Петербургский государственный педиатрический медицинский университет» Министерства здравоохранения Российской Федерации
- Федеральное государственное бюджетное образовательное учреждение высшего образования «Первый Санкт-Петербургский государственный медицинский университет им. академика И.П. Павлова» Министерства здравоохранения Российской Федерации
- Государственное бюджетное учреждение здравоохранения «Санкт-Петербургский клинический научно-практический центр (онкологический)»
- Выпуск: Том 11, № 3 (2020)
- Страницы: 101-108
- Раздел: Обзоры
- URL: https://ogarev-online.ru/pediatr/article/view/42537
- DOI: https://doi.org/10.17816/PED113101-108
- ID: 42537
Цитировать
Аннотация
Высокая распространенность патологии слуха у детей определяет необходимость применения надежных методов для своевременного выявления и диагностики нарушений слуха в любом возрасте. Метод регистрации отоакустической эмиссии широко используется для объективной оценки функционального состояния слухового анализатора как в скрининговых, так и в диагностических исследованиях слуха. Понимание тонких процессов, происходящих в улитке при передаче акустических стимулов и приводящих к генерации отоакустической эмиссии, а также осведомленность о параметрах регистрации, характерных особенностях данного теста, его преимуществах и ограничениях, важны при анализе результатов для постановки точного диагноза. В данном обзоре представлено современное представление о механизмах генерации отоакустической эмиссии; дано описание ее разных классов, используемых в рутинной клинической практике: задержанной вызванной отоакустической эмиссии и отоакустической эмиссии на частоте продукта искажения. Описаны особенности использования данного метода в педиатрической практике: в скрининговых исследованиях новорожденных, в том числе особенности применения у младенцев, находившихся на лечении в палатах интенсивной терапии. Показана значимость при проведении дифференциальной диагностики, а также ценность данной методики при мониторинге ототоксичности. Высокая информативность, неинвазивность, объективность, простота и быстрота проведения теста отоакустической эмиссии сделали данный метод незаменимым как в массовых скрининговых, так и диагностических исследованиях слуха.
Полный текст
ВВЕДЕНИЕ
Нарушения слуха — распространенная проблема, которая затрагивает и взрослых, и детей. По данным Всемирной организации здравоохранения в мире в 2018 г. насчитывалось 466 млн людей, имеющих инвалидизирующее снижение слуха. Из этого числа 34 млн — дети [10, 20]. Как для детей, так и для взрослых своевременное выявление патологии слуха и последующее проведение комплексной дифференциальной аудиологической диагностики является необходимыми и важными факторами последующей успешной реабилитации.
Современный арсенал аудиологических методов содержит значительное число как объективных (электроакустических), так и субъективных (психоакустических) тестов. Выбор методов для проведения тестирования зависит от обследуемой группы пациентов, а также от цели исследования. Использование комплексного подхода, состоящего из применения нескольких методик, позволяет провести топическую диагностику, соблюсти принцип перекрестной проверки результатов тестирования. Некоторые аудиологические методики могут применяться изолированно для проведения массовых скрининговых обследований. Одним из основных объективных аудиологических тестов является регистрация отоакустической эмиссии (ОАЭ).
ИСТОЧНИК ГЕНЕРАЦИИ ОТОАКУСТИЧЕСКОЙ ЭМИССИИ
Феномен ОАЭ, открытый в 1978 г. Д. Кемпом (D. Kemp) [16], уже в середине 80-х годов занял свое надежное место в клинической практике. ОАЭ представляет собой чрезвычайно тихий звук, который может быть зарегистрирован в наружном слуховом проходе при помощи высокочувствительного микрофона. Генерируется ОАЭ наружными волосковыми клетками (НВК), расположенными в органе Корти. Реакция НВК на деполяризацию/гиперполяризацию является активной и выражается в изменении длины НВК, это свойство известно как электромотильность. Механические изменения длины НВК передаются на базилярную мембрану, раскачивая ее сильнее в области частотного резонанса. Наиболее прочным соединение НВК с опорными клетками, с базилярной мембраной, стереоцилий НВК с текториальной мембраной отмечается в основном завитке улитки и ослабевает по направлению к апексу. Именно это объясняет невозможность зарегистрировать ОАЭ на частотах 500 Гц и ниже. При увеличении амплитуды колебаний базилярной мембраны стереоцилии внутренних волосковых клеток начинают соприкасаться с текториальной мембраной, происходит возбуждение внутренних волосковых клеток, которые функционируют в основном как сенсорные рецепторы. Деполяризация внутренних волосковых клеток приводит к возбуждению афферентных волокон слухового нерва и, следовательно, передачи акустической информации в центральные отделы слуховой системы. Активные движения НВК передаются базилярной мембране и возникают обратнонаправленные бегущие волны, достигающие подножной пластины стремени и приводящие к колебаниям цепи слуховых косточек, барабанной перепонки. Отоакустическая эмиссия является, таким образом, побочным продуктом нормально функционирующей улитки. Именно благодаря активному механизму (электромотильности) НВК, обеспечивается высокая чувствительность и высокая частотная избирательность улитки [2, 9, 13, 14, 16, 18].
ОАЭ может быть зарегистрирована как в ответ на звуковую стимуляцию, так и в ее отсутствие, в этом случае речь идет о спонтанной отоакустической эмиссии (СОАЭ). СОАЭ присутствует приблизительно у 60 % взрослых лиц и у 80 % детей раннего возраста с нормальным слухом. Отсутствие СОАЭ у всех нормально слышащих делает невозможным применение этого типа ОАЭ в клинической практике. В зависимости от типа подаваемого акустического стимула выделяются несколько типов ОАЭ. В рутинной клинической практике (как в скрининговых, так и в диагностических исследованиях) применяются два типа ОАЭ: задержанная вызванная отоакустическая эмиссия (ЗВОАЭ) и отоакустическая эмиссия на частоте продукта искажения (ОАЭПИ) [7, 9, 13].
ЗАДЕРЖАННАЯ ВЫЗВАННАЯ ОТОАКУСТИЧЕСКАЯ ЭМИССИЯ
Для записи ЗВОАЭ используется широкополосный акустический щелчок, ответом служат звуковые колебания различной частоты, возникающие через 6–8 мс после начала стимула и продолжающиеся в течение 20–30 мс. Интенсивность стимула составляет 82 ± 2 дБ УЗД (уровень звукового давления). ЗВОАЭ с наибольшей амплитудой регистрируется в речевом диапазоне частот от 1 до 4 кГц. У новорожденных и детей раннего возраста можно зарегистрировать ЗВОАЭ на частотах до 6 кГц. Амплитуда ЗВОАЭ у детей превышает амплитуду ЗВОАЭ, регистрируемую у взрослых (рис. 1). Критерием нормы считается наличие ответа как минимум в трех полуоктавных частотных полосах с отношением уровня ОАЭ к уровню шума не менее 3 дБ. ЗВОАЭ регистрируется в том случае, если пороги слуха не превышают 25–30 дБ нПС (норма слуха), что соответствует нормальной абсолютной чувствительности [9, 13, 16].
Рис. 1. Пример регистрации задержанной вызванной отоакусической эмиссии: а — у новорожденного; b — у взрослого; c — отсутствие. Серые столбцы — фоновый шум; черные — задержанная вызванная отоакусическая эмиссия
Fig. 1. Registration of Transient Evoked Otoacoustic Emission (TEOAE): а – TEOAE in newborn; b – TEOAE in adult; c – absence of TEOAE. Grey columns show background noise, black ones — TEOAE
ОТОАКУСТИЧЕСКАЯ ЭМИССИЯ НА ЧАСТОТЕ ПРОДУКТА ИСКАЖЕНИЯ
ОАЭ может быть зарегистрирована при акустической подаче не только широкополосного стимула, но и тональных сигналов. Предъявление двух тонов (f1 и f2) приводит к генерации нескольких новых частотных ответов. Данные ответы являются нелинейными, так как частоты ответов не присутствуют в стимуле. Ответ с наибольшей амплитудой обычно регистрируется на частоте 2f1–f2. Именно этот ответ используется в клинической практике (рис. 2). Многочисленные исследования позволили определить наиболее оптимальные параметры стимуляции для регистрации ОАЭПИ. Наибольшую амплитуду ОАЭПИ имеет при соотношении подаваемых частот f2/f1 = 1,22. Что касается интенсивности подаваемых стимулов, то существуют два варианта стимуляции, используемые в клинической практике. При первом используется интенсивность I1 = 65 дБ УЗД; I2 = 55 дБ УЗД. В этом случае чувствительность ОАЭПИ сходна с чувствительностью ЗВОАЭ, то есть ОАЭПИ регистрируется при порогах слуха, не превышающих 25–30 дБ нПС (норма слуха). Во втором варианте стимулы подаются с интенсивностью I1 = I2 = 70 дБ УЗД. В этом случае ОАЭПИ может регистрироваться, если пороги слуха не превышают 40 дБ нПС, то есть соответствуют норме или 1-й степени нейросенсорной тугоухости [9, 13, 16, 18]. Все оборудование, предназначенное для проведения аудиологического скрининга, и большинство клинических приборов оснащены единственным вариантом стимуляции I1 = 65 дБ УЗД, I2 = 55 дБ УЗД. Большинство приборов для регистрации ОАЭПИ исследует частотный диапазон от 1 до 6 кГц, наиболее социально значимый с точки зрения разборчивости речи. Регистрация ОАЭ невозможна в низкочастотном диапазоне по причинам, указанным выше. Ряд приборов проводит запись ОАЭПИ на частотах до 10–12 кГц, что может быть использовано при оценке высокочастотной тугоухости, в том числе мониторинге ототоксичности.
Рис. 2. Пример регистрации отоакустической эмиссии на частоте продукта искажения: а — соответствует норме; b — отсутствует. Серым цветом отмечен фоновый шум; сплошной линией — отоакустическая эмиссия на частоте продукта искажения
Fig. 2. Registration of Distortion Product Otoacoustic Emission (DPOAE): а – normal DPOAE; b – absence of DPOAE. Grey columns show background noise, solid line – DPOAE
ПРЕИМУЩЕСТВА/НЕДОСТАТКИ ОТОАКУСТИЧЕСКОЙ ЭМИССИИ
К достоинствам данного метода относится его объективность, высокие чувствительность и специфичность, возможность использования в любом возрасте, быстрота проведения. Объективность теста, то есть его независимость от реакций обследуемого, позволяет использовать ОАЭ у детей раннего возраста, детей с задержкой развития, неконтактных пациентов. Чувствительность теста оценивается как 95–96 %, специфичность около 90 %, что является очень высокими показателями [17]. Кохлеарные структуры полностью сформированы к моменту нормальных родов, поэтому ОАЭ может быть зарегистрирована, начиная с первых дней жизни, в том числе у новорожденных. Важное преимущество теста — его быстрота: тестирование обоих ушей занимает всего несколько минут. Однако к недостаткам обследования с использованием ОАЭ можно отнести: 1) достаточно сильную зависимость регистрации ОАЭ от функционального состояния звукопроводящего аппарата (наличие аномалий строения, серных пробок, заболеваний наружного/среднего уха и других патологических состояний звукопроводящей системы могут привести к отсутствию ОАЭ); 2) ОАЭ генерируется НВК и отражает микромеханические процессы в органе Корти, и не позволяет выявлять ретрокохлеарную патологию; 3) ОАЭ не позволяет исследовать низкочастотную область (частоты ниже 1 кГц); 4) данный метод является качественным, а не количественным. При отсутствии ОАЭ мы не можем судить о степени снижения слуха, лишь констатировать факт отклонения от нормы [5, 8, 9, 11, 15].
ПРИМЕНЕНИЕ ОТОАКУСТИЧЕСКОЙ ЭМИССИИ В ДИФФЕРЕНЦИАЛЬНОЙ ДИАГНОСТИКЕ
В клинической практике используют методы регистрации как ЗВОАЭ, так и ОАЭПИ. В составе комплексной батареи тестов применение ОАЭ позволяет дифференцировать сенсорную и невральную формы тугоухости, что позволяет точно формулировать диагноз, на основании которого выбирается дальнейшая тактика лечения и реабилитации.
ПРИМЕНЕНИЕ ОТОАКУСТИЧЕСКОЙ ЭМИССИИ В СКРИНИНГОВЫХ ОБСЛЕДОВАНИЯХ
При проведении скрининговых обследований могут использовать как ЗВОАЭ, так и ОАЭПИ. Возможность использования ОАЭ с первых дней жизни, быстрота и простота проведения тестирования, высокая чувствительность к наличию тугоухости сделали данный метод одним из основных, используемых при аудиологическом скрининге новорожденных, наравне с регистрацией слуховых вызванных потенциалов. При правильно организованном скрининге методом ОАЭ доля новорожденных с положительным результатом скрининга (ОАЭ отсутствовала с одного или двух ушей) не должна превышать 5 % [15]. Одним из основных факторов, влияющих на результат скрининга, является возраст, в котором он проводится. В силу высокой зависимости регистрации ОАЭ от состояния звукопроводящего аппарата, использование ОАЭ в первые два-три дня жизни дает много ложноположительных результатов. Поэтому важно проводить данный тест не ранее 3–4 суток жизни, максимально близко к выписке новорожденного из родильного дома [8, 15, 19].
Недостатком регистрации ОАЭ является то, что этот метод не позволяет выявлять ретрокохлеарную патологию, в том числе слуховую нейропатию. На практике ретрокохлеарная патология редко выявляется в популяции здоровых новорожденных. Это соображение в сочетании с экономическими факторами делает регистрацию ОАЭ высоко эффективным инструментом для всеобщего аудиологического скрининга новорожденных в родильных домах. Однако при проведении аудиологических скринингов в отделениях патологии новорожденных, при наличии у новорожденного неврологических расстройств, патологии центральной нервной системы, необходимо использовать в качестве скринингового метода регистрацию слуховых вызванных потенциалов в сочетании с ОАЭ [5, 9, 11, 15].
Одним из нерешенных на настоящий момент вопросов является выявление низкочастотной тугоухости (рис. 3). Используемые при неонатальном аудиологическом скрининге методы (регистрация ОАЭ и регистрация слуховых вызванных потенциалов) не исследуют слух в диапазоне 1 кГц и ниже. Вместе с тем, данный тип тугоухости, особенно при ее прогрессировании, будет оказывать выраженное отрицательное воздействие на развитие ребенка. В связи с этим актуальным остается вопрос внедрения всеобщих скринингов слуха у детей раннего, дошкольного и школьного возраста, а также тщательного наблюдения за развитием ребенка родителями и специалистами.
Рис. 3. Низкочастотная тугоухость у ребенка 3 лет: а — тональная пороговая аудиограмма; b — регистрация отоакустической эмиссии на частоте продукта искажения. Серым цветом отмечен фоновый шум; сплошной линией — отоакустическая эмиссия на частоте продукта искажения
Fig. 3. Low-frequency hearing loss in a 3-years child: а – pure tone audiogram; b – DPOAE registration. Grey columns show background noise, solid line – DPOAE
ИСПОЛЬЗОВАНИЕ ОТОАКУСТИЧЕСКОЙ ЭМИССИИ ДЛЯ МОНИТОРИНГА ОТОТОКСИЧНОСТИ
Токсическое действие определенных лекарственных препаратов на орган слуха достаточно хорошо изучено. Лекарственно-индуцированная ототоксичность связана с поражением структур внутреннего уха и/или VIII пары черепно-мозговых нервов. Наиболее часто используемыми препаратами с потенциальным ототоксическим эффектом являются: противоопухолевые лекарственные средства, антибактериальные препараты группы аминогликозидов, петлевых диуретиков, блокаторы кальциевых каналов, нестероидные противовоспалительные средства, противомалярийные лекарственные средства, салицилаты и др. Степень поражения слухового анализатора зависит от используемого лекарственного средства, его дозы, возраста, одновременного применения нескольких ототоксических препаратов, генетической предрасположенности, сопутствующих заболеваний и общего состояния. Ототоксическое поражение носит обычно нейросенсорный высокочастотный симметричный характер. Необходимость ранней диагностики определяется тем, что в ряде случаев существует возможность уменьшения ототоксического эффекта коррекцией режимов дозирования. В случае развившейся тугоухости необходимо своевременно начать сурдопедагогическую реабилитацию, слухопротезирование [1, 3, 6, 12].
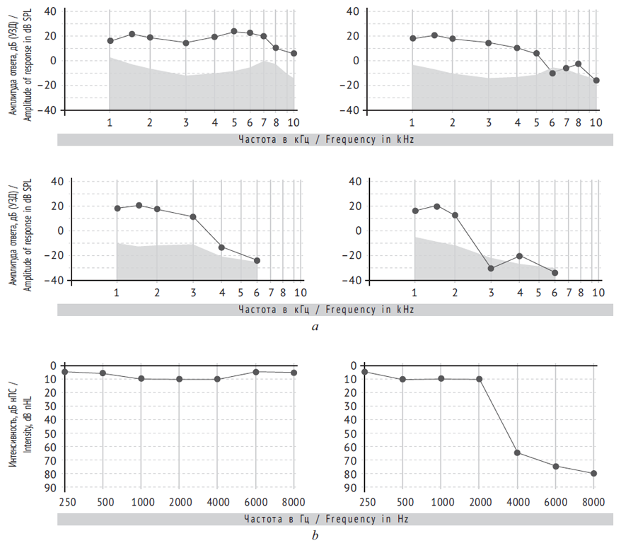
Характер начальных проявлений ототоксичности требует применения методов диагностики, оценивающих высокочастотный диапазон. Основными методами являются проведение тональной пороговой аудиометрии в расширенном диапазоне частот и регистрация ОАЭ. У детей раннего возраста, а также у пациентов, находящихся в тяжелом состоянии, проведение тональной пороговой аудиометрии затруднительно, и ОАЭ становится основным методом мониторинга ототоксичности. Для данной цели используется регистрация ОАЭПИ с возможностью записи до 10–12 кГц. На рис. 4 представлены избранные результаты аудиологического тестирования ребенка с медуллобластомой, получавшего полихимиотерапию с применением цисплатина.
Отмечается высокая корреляция между данными тональной пороговой аудиометрии и результатами ОАЭПИ. Данный факт, а также возможность использования ОАЭПИ у пациентов любого возраста, в любом состоянии, неинвазивность метода подтверждает его высокую ценность для мониторинга ототоксичности [4].
Рис. 4. Динамическое наблюдение за слуховой функцией ребенка, получающего ототоксические препараты. а — четыре записи отоакустической эмиссии на частоте продукта искажения до начала, в процессе и после окончания лечения; b — тональная аудиограмма до начала и после окончания лечения
Fig. 4. Long-term hearing monitoring in a child threaded with ototoxic drugs: а – four DPOAE records: before, during and after treatment; b – pure tone audiogram before and after treatment
ЗАКЛЮЧЕНИЕ
Высокая информативность, неинвазивность, объективность, простота и быстрота проведения регистрации отоакустической эмиссии сделали данный метод незаменимым и надежным инструментом в рутинной аудиологической практике. Широкий диапазон применения данной методики включает в себя массовые скрининговые обследования слуха у новорожденных, использование в дифференциальной диагностике особенно у детей раннего возраста, а также мониторинг ототоксичности.
Об авторах
Екатерина Сергеевна Гарбарук
Федеральное государственное бюджетное образовательное учреждение высшего образования «Санкт-Петербургский государственный педиатрический медицинский университет» Министерства здравоохранения Российской Федерации; Федеральное государственное бюджетное образовательное учреждение высшего образования «Первый Санкт-Петербургский государственный медицинский университет им. академика И.П. Павлова» Министерства здравоохранения Российской Федерации
Автор, ответственный за переписку.
Email: kgarbaruk@mail.ru
канд. биол. наук, старший научный сотрудник. Научно-исследовательский центр
Россия, Санкт-ПетербургПавел Владимирович Павлов
Федеральное государственное бюджетное образовательное учреждение высшего образования «Санкт-Петербургский государственный педиатрический медицинский университет» Министерства здравоохранения Российской Федерации
Email: pvpavlov@mail.ru
д-р мед. наук, профессор, заведующий кафедрой оториноларингологии
Россия, Санкт-ПетербургОксана Константиновна Горкина
Федеральное государственное бюджетное образовательное учреждение высшего образования «Санкт-Петербургский государственный педиатрический медицинский университет» Министерства здравоохранения Российской Федерации
Email: gorkina-ok@yandex.ru
ассистент кафедры оториноларингологии
Россия, Санкт-ПетербургНина Валерьевна Субора
Федеральное государственное бюджетное образовательное учреждение высшего образования «Первый Санкт-Петербургский государственный медицинский университет им. академика И.П. Павлова» Министерства здравоохранения Российской Федерации
Email: matchenkova@inbox.ru
детский онколог
Россия, Санкт-ПетербургМаргарита Борисовна Белогурова
Федеральное государственное бюджетное образовательное учреждение высшего образования «Первый Санкт-Петербургский государственный медицинский университет им. академика И.П. Павлова» Министерства здравоохранения Российской Федерации; Государственное бюджетное учреждение здравоохранения «Санкт-Петербургский клинический научно-практическийцентр (онкологический)»
Email: deton.hospital31@inbox.ru
д-р мед. наук, профессор, заведующий кафедрой онкологии с курсом лучевой диагностики и лучевой терапии; заведующий отделением химиотерапии и комбинированного лечения опухолей у детей
Россия, Санкт-ПетербургСписок литературы
- Белогурова М.Б., Гарбарук Е.С., Субора Н.В., Павлов П.В. Исследование эффекта ототоксичности у детей, получавших химиотерапию препаратами платины // Вопросы гематологии/онкологии и иммунопатологии в педиатрии. – 2018. – Т. 17. – № 3. – С. 22–27. [Belogurova MB, Garbaruk ES, Subora NV, Pavlov PV. Platinum induced hearing loss in children with cancer: the prospective study. Pediatric Hematology/Oncology and Immunopathology. 2018;17(3):22-27. (In Russ.)] https://doi.org/10.24287/1726-1708-2018-17-3-22-27.
- Гарбарук Е.С., Горкина О.К., Павлов П.В. Отоакустическая эмиссия: фундаментальные предпосылки и клиническое применение (обзор литературы) // Медицина: теория и практика. – 2019. – Т. 4. – № 3. – С. 70–77. [Garbaruk ES, Gorkina OK, Pavlov PV. Otoacoustic emissions: fundamental principles and clinical application (literature review). Meditsina: teoriya i praktika. 2019;4(3):70-77. (In Russ.)]
- Гарбарук Е.С., Нномзоо А., Павлов П.В., Горкина О.К. Алгоритм аудиологического наблюдения детей с врожденными пороками сердца // Педиатр. – 2019. – Т. 10. – № 2. – С. 129–135. [Garbaruk ES, Nnomzoo AA, Pavlov PV, Gorkina OC. Algorithm of hearing monitoring of children with congenital heart disease. Pediatrician (St. Petersburg). 2009;10(2):129-135. (In Russ.)]. https://doi.org/10.17816/PED102129-135.
- Дьяконова И.Н., Рахманова И.В., Ишанова Ю.С., Бурмистрова Д.С. Слуховая функция недоношенных детей после лечения ототоксическими антибиотиками // Вестник оториноларингологии. – 2018. – Т. 83. – № 2. – С. 9–13. [D’yakonova IN, Rakhmanova IV, Ishanova YuS, Burmistrova DS. The hearing function in the premature children following their treatment with the use of ototoxic antibiotics. Vestn Otorinolaringol. 2018;83(2): 9-13. (In Russ.)]. https://doi.org/10.17116/otorino20188329-13.
- Лалаянц М.Р., Бражкина Н.Б., Гептнер Е.Н., и др. Слуховые вызванные потенциалы у детей с заболеванием спектра аудиторных нейропатий // Вестник оториноларингологии. – 2018. – Т. 83. – № 4. – С. 15–20. [Lalayants MR, Brazhkina NB, Geptner EN, et al. Auditory evoked potentials in children with auditory neuropathy spectrum disorder. Vestn Otorinolaringol. 2018;83(4):15-20. (In Russ.)] https://doi.org/10.17116/otorino201883415.
- Остроумова О.Д., Ших Е.В., Реброва Е.В., и др. Лекарственно-индуцированная тугоухость как проявление лекарственно-индуцированной ототоксичности // Вестник оториноларингологии. – 2019. – Т. 84. – № 4. – С. 72–80. [Ostroumova OD, Chikh EV, Rebrova EV, et al. Drug-induced hearing loss as a manifestation of drug-induced ototoxicity. Vestn Otorinolaringol. 2019;84(4):72-80. (In Russ.)] https://doi.org/10.17116/otorino20198404172.
- Пальчун В.Т., Левина Ю.В., Мельников О.А. Отоакустическая эмиссия: исследование нормы // Вестник оториноларингологии. – 1999. – № 1. – С. 5–9. [Pal’chun VT, Levina YuV, Mel’nikov OA. Otoakusticheskaya emissiya: issledovanie normy. Vestn Otorinolaringol. 1999;(1):5-9. (In Russ.)]
- Министерство Здравоохранения Российской Федерации. Сенсоневральная тугоухость у детей: клинические рекомендации. – 2016. – 29 с. [The Ministry of Health of the Russian Federation. Sensonevral’naya tugoukhost’ u detey: klinicheskie rekomendatsii. 2016. 29 p. (In Russ.)]
- Таварткиладзе Г.А. Руководство по клинической аудиологии. – М.: Медицина, 2013. [Tavartkiladze GA. Rukovodstvo po klinicheskoy audiologii. Mоscow: Meditsina; 2013. (In Russ.)]
- Чадха Д.Ш. Глобальные действия при нарушениях слуха // Вестник оториноларингологии. – 2018. – Т. 83. – № 4. – С. 5–8. [Chadha DrS. Global action for hearing loss. Vestn Otorinolaringol. 2018;83(4):5-8. (In Russ.)]
- Ясинская А.А., Таварткиладзе Г.А. Эффективность аудиологического скрининга у новорожденных, основанного на использовании автоматизированной регистрации задержанной вызванной отоакустической эмиссии и стационарных слуховых вызванных потенциалов // Российская оториноларингология. – 2008. – № S1. – С. 421–426. [Yasinskaya AA, Tavartkiladze GA. Effektivnost’ audiologicheskogo skrininga u novorozhdennykh, osnovannogo na ispol’zovanii avtomatizirovannoy registratsii zaderzhannoy vyzvannoy otoakusticheskoy emissii i statsionarnykh slukhovykh vyzvannykh potentsialov. Russian otorhinolaryngology. 2008;(S1):421-426. (In Russ.)]
- Brock PR, Knight KR, Freyer DR, et al. Platinum-Induced Ototoxicity in Children: A Consensus Review on Mechanisms, Predisposition, and Protection, Including a New International Society of Pediatric Oncology Boston Ototoxicity Scale. J Clin Oncol. 2012;30(19): 2408-2417. https://doi.org/10.1200/JCO.2011. 39.1110.
- Dhar S, Hall JW. Otoacoustic Emissions: Principles, Procedures, and Protocols. 2nd ed. Plural Publishing; 2018.
- Fettiplace R, Hackney CM. The sensory and motor roles of auditory hair cells. Nat Rev Neurosci. 2006;7(1): 19-29. https://doi.org/10.1038/nrn1828.
- The joint committee on infant hearing. Year 2019 position statement: principles and guidelines for early hearing detection and intervention programs. J Early Hear Detect Interv. 2019;4(2):1-44.
- Kemp DT. Otoacoustic emissions, their origin in cochlear function, and use. Br Med Bull. 2002;63: 223-241. https://doi.org/10.1093/bmb/63.1.223.
- Maung MM, Lwin YY, Aung N, et al. Diagnostic accuracy of distortion product otoacoustic emissions (DPOAE) and transient evoked otoacoustic emissions (TEOAE) in high risk newborn: a comparative study. Clin Pediatr. OA. 2016;1(110):2.
- Otoacoustic emissions — clinical applications. 2nd ed. Ed. by R.M. Robinette, T. Glattke. New York: Thieme; 2002.
- Thornton ARD. Maturation of click evoked otoacoustic emissions in the first few days of life. In: Otoacoustic Emissions from Maturation to Ageing. Series in Audiology Number 1. Ed. by F. Grandori, L. Collet, P. Ravazzani. London: Decker Europe; 1999. P. 21-32.
- Who.int [Internet]. Estimates [cited 2020 Jul 4]. Available from: http://www.who.int/pbd/deafness/estimates/en/.
Дополнительные файлы





