Features of the microbial landscape of the stomach in children, feeding through the gastrostomy or nasogastric tube
- Authors: Kuznetsova Y.V.1, Zavyalova A.N.1, Lisovskii O.V.1, Gavshchuk M.V.1, Al-Hares M.M.1, Dudurich V.V.2, Pak A.A.3
-
Affiliations:
- Saint Petersburg State Pediatric Medical University
- LLC “Serbalab”
- Boarding House for Children with Mental Development Disabilities No. 4
- Issue: Vol 14, No 2 (2023)
- Pages: 17-27
- Section: Original studies
- URL: https://ogarev-online.ru/pediatr/article/view/131607
- DOI: https://doi.org/10.17816/PED14217-27
- ID: 131607
Cite item
Full Text
Abstract
BACKGROUND: In children with dysphagia, an increase in body weight is observed after the placement of a feeding tube, however, subsequently, a regression of body weight is noted, symptoms of an erosive and ulcerative lesion of the gastrointestinal tract appear.
AIM: To identify the features of the gastric microbiome in children fed through a gastrostomy or a tube.
MATERIALS AND METHODS: A study of aspirates of gastric contents in 21 patients was carried out using metagenomic sequencing. The participants were divided into 2 groups: group 1 — 11 children fed through the gastrostomy for less than 1 year; group 2 — 10 children, fed through the gastrostomy for more than 1 year.
RESULTS: In group 1, from 8 to 19 phyla were identified, median 12.0. In the second group from 4 to 13, median 7.5, the differences are statistically significant (p < 0.05). The samples of both groups were dominated by the phyla Firmicutes, Proteobacteria, Bacteroidota, Actinobacteria, Fusobacteria. The number of representatives of the Bacteroidia and Fusobacteriia classes was significantly reduced in patients with long-term nutrition through the gastrostomy. At the same time, a small number of classes were observed in patients with a gastrostomy in the stomach for about 80 months, as well as in patients with identified gastric pathology. There were about 66 genera for each specimen. At the same time, in children fed through a gastrostomy for less than 1 year, the median is 69.5 OTU. In children fed through a gastrostomy for more than 1 year, even with its regular replacement, the median is significantly less — 41 OTU. A significant decrease in microbial biodiversity was revealed with an increase in the standing time of the gastrostomy, the median value of the Shannon index in group 1 was 1.95, in group 2 1.69 (p ≤ 0.05).
CONCLUSIONS: In patients with a long stay of the feeding tube in the stomach, the number of anti-inflammatory symbionts of the genus Prevotella, Parabacteroides is reduced. The contamination of the stomach with Helicobacter pylori was 50%, which further increased the predisposition of the gastric mucosa to inflammation.
Full Text
АКТУАЛЬНОСТЬ
Исследования желудочной микробиоты в течение многих лет не проводились, в основном как следствие догмы, что из-за кислотообразования желудок является органом, совершенно невосприимчивым к колонизации бактериями и содержащим их минимальное количество. Кроме того, рефлюкс желчных кислот в желудок, толщина его слизистого слоя и эффективность желудочной перистальтики также препятствуют его заселению микроорганизмами. Нитраты, содержащиеся в слюне и пище, ферментируются лактобациллами ротовой полости в нитриты, которые, попав в желудок, трансформируются желудочным соком в оксид азота, сильный противомикробный агент. Все эти факторы вместе с техническими трудностями в отборе проб и отсутствие простых, надежных диагностических методов препятствовали исследованию микробиоты желудка [6, 25, 26].
Открытие Campylobacter pyloridis в 1982 г., позднее переименованного в Helicobacter pylori, разрушило воззрения об отсутствии микроорганизмов в желудке. H. pylori имеет фермент уреазу, образующий аммиак из мочевины. Аммиак нейтрализует кислоту желудочного сока, тем самым позволяя бактериям проникать в слизистый слой, колонизировать эпителий и способствовать сложной воспалительной реакции.
В 1981 г., за несколько месяцев до открытия H. pylori, в медицинской литературе сообщалось, что большое количество кислотоустойчивых штаммов бактерий обнаружены в желудке, среди которых преобладали представители родов Streptococcus, Neisseria и Lactobacillus. Данные микроорганизмы могут попасть в желудок из полости рта и путем рефлюкса из двенадцатиперстной кишки. Более 65 % филотипов, идентифицированных в желудке, были описаны в ротовой полости человека [16]. Следовательно, такие роды бактерий, как Veillonella, Lactobacillus и Clostridium, которые обнаруживаются в желудочном соке, могут служить транзиторной флорой [28]. Исследователями было обнаружено, что в желудочном соке доминируют филы Firmicutes, Bacteroidota, Actinomycetota, а в образцах слизистой оболочки желудка — Firmicutes и Proteobacteria [10]. Кроме того, выявление штаммов бактерий традиционными культуральными методами не позволяет обнаружить все биоразнообразие желудочной микробиоты, поскольку более 80 % микроорганизмов не культивируются на питательных средах [9, 12]. В последнее время развитие молекулярных методов, основанных на выделении генов 16S рРНК, таких как флуоресцентная гибридизация in situ, дот-блот-гибридизация с рРНК-мишенью, гель-электрофорез, клонирование и секвенирование РНК и ДНК облегчило идентификацию и классификацию микрофлоры желудочно-кишечного тракта [14].
В 2006 г. была впервые проанализирована микробиота слизистой оболочки желудка 23 здоровых взрослых субъектов с использованием малой субъединицы 16S рРНК [10]. Было выделено 1056 видов бактерий (не-H. pylori), 127 филотипов и 5 доминирующих родов (Streptococcus, Prevotella, Rothia, Fusobacteria, Veillonella). Несколькими годами позже проанализировали микробиоту желудка 10 здоровых человек путем клонирования и секвенирования 16S рРНК и выявили 1223 вида микроорганизмов (не-H. pylori) и 5 доминирующих родов (Streptococcus, Prevotella, Neisseria, Haemophilus и Porphyromonas) [18]. В 2013 г. исследовали микробиоту желудка 13 здоровых испытуемых методом пиросеквенирования, выявив 200 филотипов и 5 доминирующих родов (Prevotella, Streptococcus, Veillonella, Rothia, Pasteurella) [13].
Состав микробиома желудка зависит от диеты [22], приема лекарственных препаратов [19, 23], наличия хронических заболеваний желудка [8, 24], колонизации H. pylori [17, 20]. В клинике Санкт-Петербургского педиатрического университета растет число больных детей с неврологическими заболеваниями и сопутствующей дисфагией. Практически все больные имеют низкий нутритивный статус [3, 4, 27]. Постановка назогастрального зонда или гастростомической трубки зачастую становятся единственным способом нутритивной поддержки детей с дисфагией. После начала питания через трубку масса тела пациентов постепенно увеличивается, но через 3–4 года происходит регресс набранной массы тела. У пациентов отмечается склонность к запорам, при фиброэзофагогастродуоденоскопии обнаруживается эрозивно-язвенное поражение верхних отделов желудочно-кишечного тракта (при этом тест на H. pylori отрицателен). В литературе анализируются данные о причинах гастростомии у детей [2, 5], однако недостаточно данных о микробном разнообразии желудка детей с гастростомами, зависимости микробиома от длительности стояния гастростомической трубки.
Цель — идентификация представителей микробиома желудка у детей, питающихся через гастростому или зонд и определение зависимости состава микробиома желудка от длительности нахождения питательной трубки.
МАТЕРИАЛЫ И МЕТОДЫ
Проведено исследование микробиома желудка у 21 ребенка, питающегося через назогастральный зонд (рис. 1) или гастростомическую трубку (рис. 2). Назогастральный зонд в качестве способа питания использовался у 2 пациентов в сроки до 3 мес. При необходимости более длительного питания через трубку устанавливалась гастростома. Длительность нахождения гастростомы в желудке составила от 3 до 204 мес. Средний возраст детей — 12,1 ± 4,68 года, 13 девочек, 8 мальчиков. Участники разделены на 2 группы: 1-я группа — 11 детей, питающихся через гастростому/зонд менее 1 года, 2-я группа — 10 детей, питающихся через гастростому более 1 года. Исследование проведено в соответствии с международными стандартами GCP, добровольное информированное согласие подписано родителями или законными представителями несовершеннолетних.
Рис. 1. Питание через назогастральный зонд
Fig. 1. Feeding through a nasogastric tube
Рис. 2. Питание через гастростомическую трубку
Fig. 2. Feeding through a gastrostomy tube
Протокол исследования рассмотрен этическим комитетом при ФГБОУ ВО «Санкт-Петербургский государственный педиатрический медицинский университет» Минздрава России (№ 04/07 от 26.04.2021). На момент исследования все дети находились в хосписе или доме-интернате с комплексом двигательных нарушений, связанных с органическим поражением головного мозга, в том числе характерных для детского церебрального паралича. Ежедневный уход за гастростомой проводился медицинским персоналом в соответствии с утвержденным алгоритмом ухода [1]. У детей, питающихся через гастростому питательными смесями, были взяты аспираты желудочного содержимого шприцом объемом 0,5 мл в стерильные пробирки с транспортной средой «Транспортная среда с муколитиком» (ЦНИИ эпидемиологии, Россия) с последующим хранением в среде при 4 °C до экстракции ДНК. Тотальную ДНК экстрагировали из образцов с помощью набора «Рибо Преп» (ЦНИИ эпидемиологии, Россия) в соответствии с рекомендациями производителя.
Для работы с системой Illumina MiSeq существует протокол, в соответствии с которым подготовлена библиотека 16S РНК. В ходе исследования использовано 5 нг тотальной ДНК для амплификации целевого фрагмента гена 16S рРНК с применением рекомендованных праймеров для областей V3 и V4. Далее проведено 25 циклов ПЦР с использованием KAPA HiFi HotStart ReadyMix (2X) (Roche Diagnostics, Швейцария). После очистки продуктов ПЦР с помощью гранул SPRI фиксировано 5 нг полученных ампликонов. Биоинформатический конвейер, реализованный на языках программирования R v.3.6 [21] и Python, анализировал данные секвенирования. Полученные данные обработаны с помощью рабочего процесса DADA2 для точной идентификации вариантов последовательности [11]. Идентификация видов выполнена с использованием алгоритма точного сопоставления в DADA2 с использованием последовательностей SILVA v132, предварительно обработанных соответствующим образом с применением пользовательских сценариев. Таким образом, были выделены филы, классы, роды и виды, в том числе патогенные в процентном соотношении.
При помощи критерия Шапиро – Уилка установлено существенное отклонение от нормального распределения. Для оценки данных проводился непараметрический анализ с использованием критерия Манна – Уитни и медианное значение.
РЕЗУЛЬТАТЫ И ОБСУЖДЕНИЕ
Обнаруженные микроорганизмы сгруппированы в 23 бактериальных филы (Phylum) (рис. 3). В 1-й группе идентифицировано от 8 до 19 фил, медиана 12,0. Во 2-й группе — от 4 до 13, медиана 7,5, различия статистически достоверны (p < 0,05).
Рис. 3. Типы бактерий, выявленные в желудке пациентов с питательными трубками (согласно таксономической классификации SILVA 138.1)
Fig. 3. Gastric bacterial phyla in patients with feeding tubes (according to taxonomic classifier SILVA 138.1)
В образцах обеих групп доминировали филы Firmicutes, Proteobacteria, Bacteroidota, Actinobacteria, Fusobacteria. Микроорганизмов, относящихся к типам Proteobacteria (медиана 29,0), Bacteroidota (медиана 7,48) и Fusobacteria (медиана 1,73) было больше в 1-й группе, чем во 2-й (25,74; 0,71; 0,43 соответственно). Представителей фил Firmicutes (медиана 37,39) и Actinobacteria (медиана 2,0) в 1-й группе было меньше, чем во 2-й (48,09 и 3,79 соответственно).
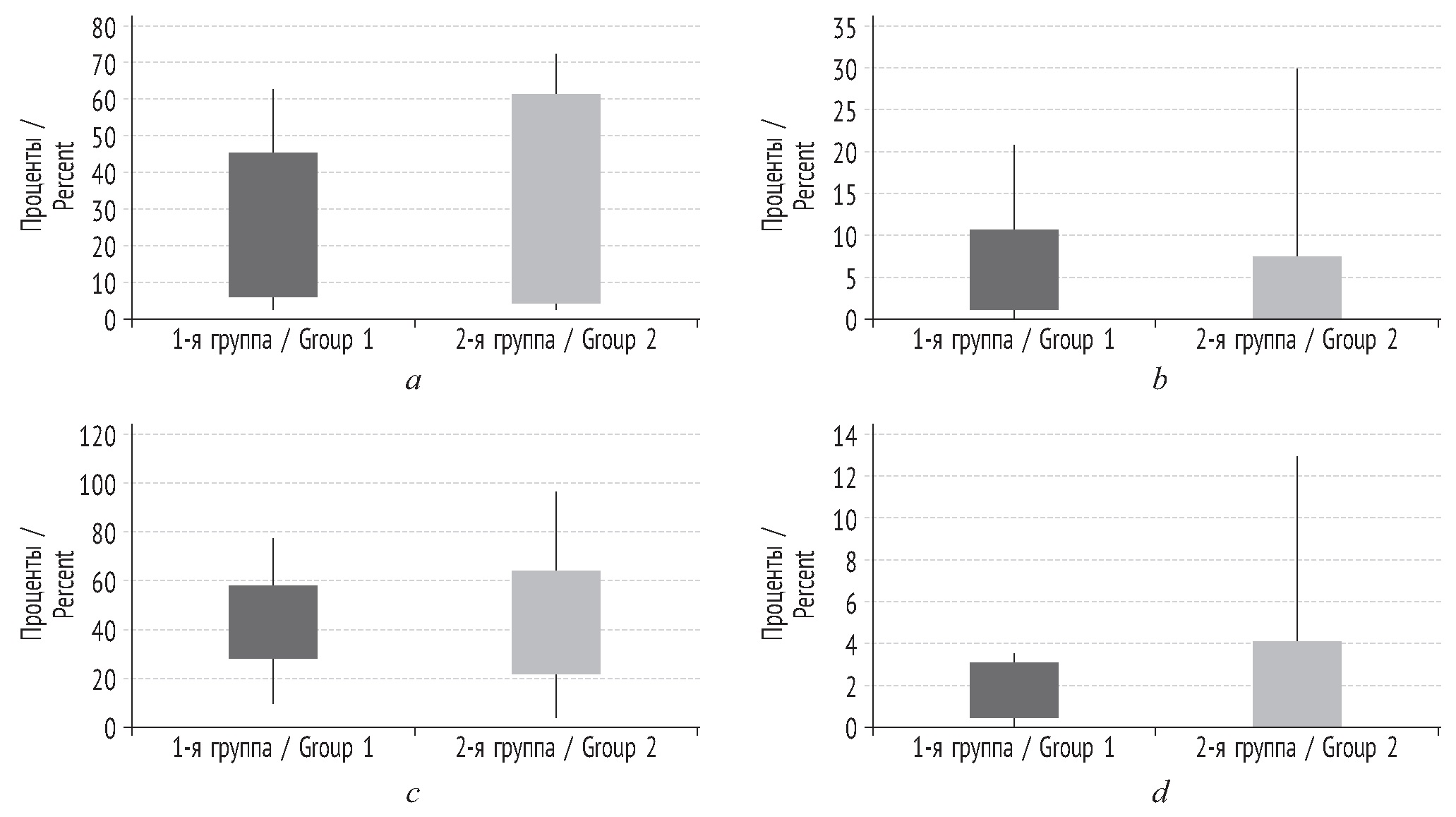
Распределение доминирующих бактериальных классов представлено в табл. 1. Наблюдалось широкое распределение класса Bacteroidia у пациентов 1-й группы с достоверно значимым преобладанием медианы. У детей с питательными трубками, стоящими длительное время, число представителей данного класса было существенно снижено. Сходная картина отмечается в отношении микроорганизмов класса Fusobacteria. У детей, питающихся через гастростому или зонд более 1 года, достоверно прогрессивно снижается число бактерий данного класса (рис. 4). Среди представителей классов Bacilli, Gammaproteobacteria, Alphaproteobacteria, Actinobacteria значимых изменений с течением времени не отмечалось (рис. 5).
Таблица 1. Частота встречаемости различных классов бактерий у пациентов, питающихся через стому/зонд менее 1 года (1-я группа) и через стому/зонд более 1 года (2-я группа)
Table 1. The frequency of occurrence of various classes of bacteria in patients fed through a stoma / tube for less than 1 year (Group 1) and fed through a stoma/tube for more than 1 year (Group 2)
Класс / Class | Группа 1 (медиана) / Group 1 (median) | Группа 2 (медиана) / Group 2 (median) | p |
Bacilli | 41,17 | 49,01 | >0,05* |
Gammaproteobacteria | 28,01 | 31,27 | >0,05* |
Bacteroidia | 13,75 | 4,56 | ≤0,05** |
Alphaproteobacteria | 8,34 | 6,54 | >0,05* |
Fusobacteriia | 2,99 | 1,66 | ≤0,05** |
Actinobacteria | 1,71 | 4,96 | >0,05* |
*Различия между группами статистически незначимы; **различия между группами статистически значимы. *Differences between groups are not statistically significant; **differences between groups are statistically significant. | |||
Рис. 4. Доля представителей класса Bacteroidia (a) и Fusobacteria (b) у пациентов 1-й и 2-й групп
Fig. 4. Proportion of representatives of the Bacteroidia (a) and Fusobacteria (b) class in patients of the group 1 and 2
Рис. 5. Доля представителей классов Gammaproteobacteria (a), Alphaproteobacteria (b), Bacilli (с) и Actinobacteria (d) у пациентов 1-й и 2-й групп
Fig. 5. Proportion of representatives of the Gammaproteobacteria (a), Alphaproteobacteria (b), Bacilli (с) и Actinobacteria (d) classes in patients of the group 1 and 2
У детей в 1-й группе выявлено от 6 до 26 классов микроорганизмов (медиана 14,8), во 2-й — от 6 до 17 (медиана 10,5). При этом малое количество классов (6–8) наблюдалось у пациентов с длительным стоянием гастростомы (медиана 79,8 мес.), а также у пациентов с имеющейся патологией желудка (гастроэзофагеальная рефлюксная болезнь, язвенная болезнь желудка). В анамнезе в течение 1 мес. до момента забора биоматериала у некоторых пациентов отмечались рвота, задержка стула. У части детей имело место нарушение микробиома ротоглотки с высевом условно-патогенной микрофлоры (Staphylococcus aureus, Pseudomonas aeruginosa).
У пациентов, микробиом желудка которых содержал 15–17 классов микроорганизмов, длительность нахождения гастростомы в желудке была меньше и составляла около 36,2 мес. Хронических заболеваний желудка у данных пациентов не отмечалось, в течение 1 мес. до забора биоматериала патогенная микрофлора из полости ротоглотки не выявлена.
Было идентифицировано 310 OTU (operation taxonomic units), представленных родами. На каждый образец приходилось около 66 OTU на уровне родов. При этом у детей, питающихся через гастростому менее 1 года, медиана составила 69,5 OTU. У детей, питающихся через гастростому более 1 года, даже при регулярной ее замене медиана значимо меньше — 41 OTU.
Поскольку число представителей класса Bacteroidia было значительно снижено во 2-й группе пациентов, проанализирован состав родов внутри данного класса. Класс Bacteroidia включает в себя такие роды как Bacteroides, Parabacteroides, Porphyromonas, Tannerella, Prevotella, Alloprevotella [7]. Широко известны исследования, подтверждающие обратную корреляцию представителей родов Prevotella и Parabacteroides с клеточным ответом Th17, который ассоциирован с высоким уровнем хронического воспаления [15]. Представители рода Prevotella способны индуцировать выработку CD4+IL-10+Т-клеток. Поскольку доля бактерий родов Prevotella и Parabacteroides обратно коррелирует с показателями хронического воспалительного ответа, а также учитывая тот факт, что IL-10 является противовоспалительным цитокином, микроорганизмы, увеличивающие его выработку, могут быть характеризованы как противовоспалительные симбионты.
С увеличением длительности стояния питательной трубки снижается число бактерий рода Prevotella и Parabacteroides (табл. 2). Вероятно, уменьшение числа противовоспалительных симбионтов при увеличении длительности стояния гастростомической трубки и рост числа заболеваний желудка у детей с гастростомами являются связанными друг с другом процессами. Бактерии рода Porphyromonas обнаруживаются в желудке здоровых людей при условии отсутствия в нем в доминирующем количестве H. pylori [13]. В группе детей с длительно существующими гастростомами число представителей рода Porphyromonas значимо снижено, что также может служить одним из показателей воспаления, связанного с H. pylori.
Таблица 2. Медиана численности отдельных родов микробиома желудка у пациентов с гастростомой, установленной менее 1 года (1-я группа) и более 1 года (2-я группа)
Table 2. Abundance (median) of some genera of the gastric microbiome in patients with a gastrostomy less than 1 year (group 1) and more than 1 year (group 2)
Род / Genus | 1-я группа (медиана) / Group 1 (median) | 2-я группа (медиана) / Group 2 (median) | р |
Bacteroides | 0,12 | 0,22 | >0,05* |
Porphyromonas | 2,56 | 1,3 | ≤0,05** |
Parabacteroides | 0,17 | 0,02 | ≤0,05** |
Prevotella | 4,34 | 1,74 | ≤0,05** |
*Различия между группами статистически незначимы; **различия между группами статистически значимы. *Differences between groups are not statistically significant; **differences between groups are statistically significant. | |||
H. pylori выявлен у половины всех обследованных детей. Среди детей, питающихся через гастростому менее 1 года, H. pylori обнаружен в 6 наблюдениях. В микробиоме данной группы пациентов микроорганизм занимал от 0,21 до 1,72 % (медиана 1,02) всего микробиома. У 4 детей, питающихся через трубку более 1 года, H. pylori составлял в среднем от 0,06 до 4,10 % (медиана 1,6) среди всех обнаруженных микроорганизмов.
Всего в обеих группах идентифицирована и определена принадлежность к определенным видам в соответствии с современной таксономической классификацией у 404 видов микроорганизмов, около 30 % обнаруженных бактерий видовую принадлежность идентифицировать не удалось.
Выявлено значимое уменьшение микробного биоразнообразия с увеличением времени стояния гастростомы, медианное значение индекса Шеннона в 1-й группе составило 1,95, во 2-й группе — 1,69 (p ≤ 0,05).
Таким образом, у детей, находящихся на питании через гастростому более 1 года, число бактериальных фил и биоразнообразие микробиома желудка достоверно меньше, чем у детей, питающихся через гастростому менее 1 года. При длительном питании через гастростому статистически значимо снижено число представителей классов Bacteroidia и Fusobacteriia. При этом малое количество классов наблюдалось у пациентов с продолжительным стоянием гастростомы, а также с патологией желудка. Наличие эрозивно-язвенных поражений желудка у больных, длительно питающихся через гастростому, говорит об имеющемся хроническом воспалении. Зачастую эрозивный геморрагический эзофагит, язвенная болезнь желудка, эрозивный бульбит манифестировали кровотечениями, значительно утяжеляющими состояние пациентов. Клинические данные подтверждены анализом микробиома, в котором у детей по мере увеличения сроков питания через гастростому снижается число противовоспалительных бактерий (родов Prevotella и Parabacteroides). Отмечено уменьшение числа бактерий рода Porphyromonas на фоне роста обсемененности желудка H. pylori, что еще больше усиливало предрасположенность слизистой оболочки желудка к воспалению.
ЗАКЛЮЧЕНИЕ
Указанные изменения в микробиоме могут служить опорными критериями при определении неблагоприятного прогноза у пациентов с длительно функционирующими гастростомами. Вероятно, снижение противовоспалительной активности микрофлоры желудка предшествует органическим изменениям органов, но остается вовремя незамеченным. Анализ микробиома желудка и определение числа микроорганизмов родов Prevotella, Parabacteroides, Porphyromonas может стать предиктором эрозивно-язвенных изменений желудка и показанием для своевременной коррекции дисбиотических расстройств.
ДОПОЛНИТЕЛЬНАЯ ИНФОРМАЦИЯ
Вклад авторов. Все авторы внесли существенный вклад в разработку концепции, проведение исследования и подготовку статьи, прочли и одобрили финальную версию перед публикацией.
Конфликт интересов. Авторы декларируют отсутствие явных и потенциальных конфликтов интересов, связанных с публикацией настоящей статьи.
Источник финансирования. Исследование выполнено на средства гранта ректора ФГБОУ ВО СПбГПМУ Д.О. Иванова.
Информированное согласие на публикацию. Авторы получили письменное согласие законных представителей пациента на публикацию медицинских данных и фотографий.
ADDITIONAL INFORMATION
Authors' contribution. Thereby, all authors made a substantial contribution to the conception of the study, acquisition, analysis, interpretation of data for the work, drafting and revising the article, final approval of the version to be published and agree to be accountable for all aspects of the study.
Competing interests. The authors declare that they have no competing interests.
Funding source. The study was supported by а grant from the rector of the St. Petersburg State Pediatric Medical University D.O. Ivanov.
Consent for publication. Written consent was obtained from the patient for publication of relevant medical information and all of accompanying images within the manuscript.
About the authors
Yuliya V. Kuznetsova
Saint Petersburg State Pediatric Medical University
Author for correspondence.
Email: u-piter@mail.ru
ORCID iD: 0000-0003-3871-0457
SPIN-code: 2836-1414
PhD, Associate Professor, Department of General Medical Practice
Russian Federation, Saint PetersburgAnna N. Zavyalova
Saint Petersburg State Pediatric Medical University
Email: anzavjalova@mail.ru
SPIN-code: 3817-8267
MD, PhD, Associate Professor, Department of General Medical Practice
Russian Federation, Saint PetersburgOleg V. Lisovskii
Saint Petersburg State Pediatric Medical University
Email: oleg.lisovsky@rambler.ru
SPIN-code: 7510-5554
MD, PhD, Associate Professor, Head of the Department of General Medical Practice
Russian Federation, Saint PetersburgMaxim V. Gavshchuk
Saint Petersburg State Pediatric Medical University
Email: gavshuk@mail.ru
SPIN-code: 2703-3589
MD, PhD, Associate Professor, Department of General Medical Practice
Russian Federation, Saint PetersburgMilad M. Al-Hares
Saint Petersburg State Pediatric Medical University
Email: haresmilad@gmail.com
SPIN-code: 3485-1655
Assistant lecturer, Department of General Medical Practice
Russian Federation, Saint PetersburgVasilisa V. Dudurich
LLC “Serbalab”
Email: vasilisadudurich@gmail.com
Genetic Biologist, Genetic Laboratory
Russian Federation, Saint PetersburgAlexandr A. Pak
Boarding House for Children with Mental Development Disabilities No. 4
Email: shura.pak.1984@mail.ru
Deputy Director, Medical Department
Russian Federation, Pavlovsk, Saint PetersburgReferences
- Gavshchuk MV, Zavyalova AN, Gostimskii AV, et al. Ukhod za patsientami s gastrostomoi. Uchebnoe naglyadnoe posobie dlya obuchayushchikhsya. Saint Petersburg: Biblioteka pediatricheskogo universiteta, 2020. 16 p. (In Russ.)
- Zavyalova AN, Gavshchuk MV, Novikova VP, et al. Analysis of cases of gastrostomia in children according to the data of the system of compulsory health insurance in Saint Petersburg. Nutrition. 2021;11(4):15–22. (In Russ.) doi: 10.20953/2224-5448-2021-4-15-22
- Zavyalova AN, Gostimskii AV, Lisovskii OV, et al. Enteral nutrition in palliative medicine in children. Pediatrician (St. Petersburg). 2017;8(6):105–113. (In Russ.) doi: 10.17816/PED86105-113
- Ivanov DO, Zavyalova AN, Novikova VP, et al. Influence of nutritional substrate and feeding method on component composition of the body in patients with cerebral palsy. Preventive and clinical medicine. 2022;(3):15–27. (In Russ.) doi: 10.47843/2074-9120_2022_3_15
- Tkachenko EI, Uspenskiy YuP. Pitanie, mikrobiotsenoz i intellekt cheloveka. Saint Petersburg: SpetsLit, 2006. 590 p. (In Russ.)
- Uspenskiy YuP, Fominykh YuA, Nadzhafova KN. Lipid status, microbiota and bile acids: clinical and pathogenetic relationships. University therapeutic journal. 2022;4(2): 4–13. (In Russ.) doi: 10.56871/7123.2022.64.86.001
- https://www.ncbi.nlm.nih.gov [Internet]. NCBI taxonomy browser [cited 2022 Nov 22]. Available at: https://www.ncbi.nlm.nih.gov/Taxonomy/Browser/wwwtax.cgi
- Aviles-Jimenez F, Vazquez-Jimenez F, Medrano-Guzman R, et al. Stomach microbiota composition varies between patients with non-atrophic gastritis and patients with intestinal type of gastric cancer. Sci Rep. 2014;4:4202. doi: 10.1038/srep04202
- Azcarate-Peril MA, Sikes M, Bruno-Barcena JM. The intestinal microbiota, gastrointestinal environment and colorectal cancer: A putative role for probiotics in prevention of colorectal cancer? Am J Physiol Gastrointest Liver Physiol. 2011;301(3):401–424. doi: 10.1152/ajpgi.00110.2011
- Bik EM, Eckburg PB, Gill SR, et al. Molecular analysis of the bacterial microbiota in the human stomach. PNAS USA. 2006;103(3):732–737. doi: 10.1073/pnas.0506655103
- Callahan BJ, McMurdie PJ, Rosen MJ, et al. DADA2: High-resolution sample inference from Illumina amplicon data. Nat Methods. 2016;13(7):581–583. doi: 10.1038/nmeth.3869
- Eckburg PB, Bik EM, Bernstein CN, et al. Diversity of the human intestinal microbial flora. Science. 2005;308 (5728):1635–1638. doi: 10.1126/science.1110591
- Engstrand L, Lindberg M. Helicobacter pylori and the gastric microbiota. Best Pract Res Clin Gastroenterol. 2013;27(1):39–45. doi: 10.1016/j.bpg.2013.03.016
- Fraher MH, O’Toole PW, Quigley EM. Techniques used to characterize the gut microbiota: A guide for the clinician. Nat Rev Gastroenterol Hepatol. 2012;9:312–322. doi: 10.1038/nrgastro.2012.44
- Giri S, Mangalam A. The gut microbiome and metabolome in multiple sclerosis. Joel F, Salomao F. Microbiome and metabolome in diagnosis, therapy, and other strategic applications. Book. Academic Press, 2019. P. 33–48.
- Kazor CE, Mitchell PM, Lee AM, et al. Diversity of bacterial populations on the tongue dorsa of patients with halitosis and healthy patients. J Clin Microbiol. 2003;41(2): 558–563. doi: 10.1128/JCM.41.2.558-563.2003
- Khosravi Y, Dieye Y, Poh BH, et al. Culturable bacterial microbiota of the stomach of Helicobacter pylori positive and negative gastric disease patients. Scientif World J. 2014;2014:610421. doi: 10.1155/2014/610421
- Li X-X, Wong GL-H, To K-F, et al. Bacterial microbiota profiling in gastritis without Helicobacter pylori infection or non-steroidal anti-inflammatory drug use. PLoS One. 2009;4:7985. doi: 10.1371/journal.pone.0007985
- Mason KL, Erb Downward JR, Falkowski NR, et al. Interplay between the gastric bacterial microbiota and Candida albicans during postantibiotic recolonization and gastritis. Infect Immun. 2012;80:150–158. doi: 10.1128/IAI.05162-11
- Nardone G, Compare D. The human gastric microbiota: Is it time to rethink the pathogenesis of stomach diseases? United European Gastroenterol J. 2015;3(3): 255–260 doi: 10.1177/2050640614566846
- R Development Core Team. R: A language and environment for statistical computing. R foundation for statistical computing. Vienna, 2014.
- Sahasakul Y, Takemura N, Sonoyama K. Different impacts of purified and nonpurified diets on microbiota and toll-like receptors in the mouse stomach. Biosci Biotechnol Biochem. 2012;76(9):1728–1732. doi: 10.1271/bbb.120334
- Vesper BJ, Jawdi A, Altman KW, et al. The effect of proton pump inhibitors on the human microbiota. Curr Drug Metab. 2009;10(1):84–89. doi: 10.2174/138920009787048392
- Walker MM, Talley NJ. Bacteria and pathogenesis of disease in the upper gastrointestinal tract: Beyond the era of Helicobacter pylori. Aliment Pharmacol Ther. 2014;39(8):767–779. doi: 10.1111/apt.12666
- Wu WM, Yang YS, Peng LH. Microbiota in the stomach: New insights. J Dig Dis. 2014;15(2):54–61. doi: 10.1111/1751-2980.12116
- Yang I, Nell S, Suerbaum S. Survival in hostile territory: The microbiota of the stomach. FEMS Microbiol Rev. 2013;37(5):736–761. doi: 10.1111/1574-6976.12027
- Zavyalova AN, Gavschuk MV, Kuznetsova YV, Novikova VP. Analysis of cases of gastrostomia in children at different age periods. Clin Nutrit ESPEN. 2021;46: 733–734. doi: 10.1016/j.clnesp.2021.09.538
- Zilberstein B, Quintanilha AG, Santos MA, et al. Digestive tract microbiota in healthy volunteers. Clinics. 2007; 62(1):47–54. doi: 10.1590/s1807-59322007000100008
Supplementary files





