Evaluation of the effectiveness of vitamin D deficiency correction in children with cystic fibrosis in St. Petersburg: results of a 12-month prospective study
- Authors: Pashkevich A.A.1, Kovalev V.N.2, Nikitina M.I.2, Kajstrry I.V.3, Dorofeikov V.V.4, Jelenina L.A.1, Kostik M.M.1
-
Affiliations:
- St Petersburg State Pediatric Medical University, Ministry of Healthcare of the Russian Federation
- City Children's Hospital Saint Olga
- Almazov National Medical Research Center
- Lesgaft National State University of Physical Education, Sport and Health
- Issue: Vol 9, No 5 (2018)
- Pages: 59-65
- Section: Articles
- URL: https://ogarev-online.ru/pediatr/article/view/10819
- DOI: https://doi.org/10.17816/PED9559-65
- ID: 10819
Cite item
Full Text
Abstract
Background. Vitamin D deficiency is a frequent problem in the patients with cystic fibrosis (CF). Adequate vitamin D supplementation need for normal bone mineralization and different systems functioning.
The aim of our study was to evaluate the efficacy of vitamin D deficiency correction in CF pediatric patients in Saint Petersburg.
Materials and methods. In the study were included 92 CF children aged from 0 to 17 years (49 boys and 43 girls) who had not previous vitamin D3 treatment. 25(OH)D levels were measured 3 times during the study (0-6-12 months). Vitamin D3supplementation was made according to contemporary consensuses. During the study the vitamin D3 doses correction was made. The patient’s adherence to treatment was evaluated on the basis of the personal communications. For assessment of bone metabolism we checked levels of total and ionized calcium, phosphorus, parathormone, alkaline phosphatase. In all patients anthropometry, ultrasound distal radius densitometry was performed. Statistical analysis was made with Statistica 10.0 software. Mann-Whitny, Kruskall-Wallis, Wilcoxon matched paired test, chi2 and Fisher’s exact tests, Mac-Nemar and Fridman’s test and Spearman’s correlation analysis were utilized.
Results. Vitamin D deficiency (25OHD < 30 ng/ml) was detected in the 80% of the patients. Only 66 (71.7%) patients were complaint. The majority of the complaint patients increased 25OHD level during 12 months trial on the 33.7%. The best 25OHD increment indicators had young patients with initially higher levels of the 25OHD. Patients who were less 25(ОН)D deficient required proportionally lower vitamin D3 doses for correction.
Conclusions: founded differences in the possibility to 25(OH)D normalization related with age and initial 25(OH)D level.
Keywords
Full Text
АКТУАЛЬНОСТЬ
Муковисцидоз (МВ) — наиболее распространенное наследственное заболевание, значительно сокращающее продолжительность и снижающее качество жизни пациентов без адекватного лечения [3]. Частота болезни в России сегодня в среднем составляет 1 на 10 000 новорожденных [9]. Среди популяции больных МВ наиболее часто встречается мутация F508del [8]. Нарушение процессов метаболизма костной ткани, типичное для пациентов с муковисцидозом, может не только приводить к замедлению темпов линейного роста ребенка, но и сопровождаться низкотравматичными переломами костей скелета, что служит причиной длительной иммобилизации пациента и, как следствие, бронхолегочного обострения [1].
Нарушение метаболизма костной ткани у пациентов с МВ носит мультифакторный характер [1, 5]. Одной из наиболее значимых причин нарушений костного метаболизма при МВ, а также при других хронических воспалительных заболеваниях является дефицит витамина D [2, 4, 7]. Основными причинами дефицита витамина D у пациентов с МВ считаются: мальабсорбция, обусловленная экзокринной недостаточностью поджелудочной железы, нарушение метаболизма витамина D ввиду патологии печени, снижение инсоляции из-за фотосенсибилизации при приеме некоторых антибиотиков, географическая широта проживания пациента, низкий нутритивный статус с недостатком жировой ткани, а также повышенное расходование витамина D в результате персистирующего хронического воспаления [15]. Дефицит витамина D приводит к нарушению абсорбции кальция, нарушению минерализации скелета, задержке линейного роста и нарушению костной прочности [12–14]. Среди внескелетных проявлений дефицита витамина D следует отметить повышенную частоту инфекционно-зависимых осложнений, требующих госпитализации, и снижение показателей функции внешнего дыхания [11, 16, 18].
Второе десятилетие продолжается обсуждение доз витамина D необходимых для больных МВ. С появлением новых данных, опирающихся только на доказательную медицину, стандарты претерпели обновления и неоднократно дополнялись. Последнее обновление датируется 2012 г. и выпущено Фондом муковисцидоза (The Cystic Fibrosis Foundation) [21]. Согласно данному консенсусу рекомендовано определение уровня именно 25(OH)D в крови, а не других его метаболитов, предпочтительно в зимние месяцы, когда его уровень наиболее низок [21]. Доза холекальциферола должна назначаться в зависимости от возраста и полученных результатов и может достигать 10 000 МЕ в сутки [21]. В настоящее время ведутся дискуссии о необходимости приема не только витамина D3, но и D2, идет поиск оптимальной дозировки и режима приема, однако не хватает данных о предик торах, определяющих выбор более или менее высоких доз витамина D [10, 17, 20].
Цель исследования — изучить эффективность коррекции дефицита витамина D у детей с муковисцидозом в Санкт-Петербурге.
МАТЕРИАЛЫ И МЕТОДЫ
В проспективное продленное исследование были включены 92 ребенка с МВ в возрасте от 0 до 17 лет (49 мальчиков, 43 девочки). Диагноз МВ установлен на основании диагностических критериев ECFS2014 г. [19]. Среди обследованных детей в возрасте до 3 лет было 33 ребенка: от 3 до 6 лет — 21, от 6 до 12 лет — 24, от 12 до 18 — 14 человек. До начала лекарственной терапии пациентам определяли уровень витамина 25(OH)D в сыворотке крови, взятой натощак, автоматизированным методом на анализаторе Architect i1000 (Abbott, США) с использованием реагентов, контрольных и калибровочных материалов производителя. Аппаратура и реагенты имели все необходимые разрешения Росздравнадзора для диагностического использования в медицинской практике, диапазон измерений маркера составил от 4 до 160 нг/мл. Исследование проводили с февраля по май 2017 г., когда, по мнению экспертов, солнце в Северо-Западном регионе России находится так низко, что синтез витамина D в коже практически не происходит [6]. На основании последнего консенсуса по остеопорозу мы использовали следующие градации уровня 25(OH)D: адекватное содержание, или норма (от 30 до 100–150 нг/мл), недостаточность, или субоптимальное поступление (от 20 до 30 нг/мл), дефицит (10–20 нг/мл) и выраженный дефицит витамина D, или авитаминоз (< 10 нг/мл) [6, 21]. В исследование включали только тех пациентов, которые не принимали препараты витамина D3 на регулярной основе. Всем пациентам назначали терапию препаратами витамина D3 в дозировках, рекомендованных современными консенсусами [1, 21]. При выборе препарата предпочтение отдавали водорастворимым формулам, но окончательный выбор оставался за пациентом. Главным принципом было соблюдение режима приема и рекомендованной дозы в международных единицах в сутки. Пациентам по данным второго измерения осуществляли коррекцию дозы витамина D3. На этапе второго и третьего измерений уровня витамина D3 собирали данные о регулярности терапии препаратами витамина D3 путем личной беседы с пациентом и/или его законным представителем. Некомплаентные, по мнению экспертов, пациенты исключались из анализа. Пациентов, успешно закончивших исследование, на основании уровня 25(ОН)D в крови подразделяли на тех, у кого уровень 25(ОН)D (> 30 нг/мл) нормализовался и не нормализовался на фоне 12-месячной терапии препаратами витамина D3. Для оценки состояния костного метаболизма определяли уровни общего и ионизированного кальция, неорганического фосфора, паратиреоидного гормона (ПТГ), общей щелочной фосфатазы (ОЩФ). Всем пациентам проводили антропометрические исследования. Для оценки состояния костной ткани всем пациентам выполняли количественную ультразвуковую денситометрию (КУЗ) с измерением скорости прохождения звука (Speed of Sound — SOS) на дистальном конце лучевой кости с помощью прибора Sunlight MiniOmni P (Beam-Med Ltd.), имеющего педиатрическую базу данных. Для оценки внешнесекреторной функции поджелудочной железы у всех пациентов определяли уровень фекальной эластазы-1 кала (ФЭ-1). Мутации в гене CFTR идентифицировали на этапе диагностики заболевания разными методами в образцах ДНК, выделенных из лейкоцитов периферической цельной крови при помощи: мультиплексной ПЦР на частые мутации, методом NGS-секвенирования и/или прямого секвенирования экзонов и фланкирующих интрон-экзон областей гена CFTR.
Функцию внешнего дыхания исследовал один специалист в соответствии с критериями ERS/ATS на аппарате c пакетом программного обеспечения MasterScreen PFT (VIASYS Health care, GmbH). Оценивали следующие показатели: форсированную жизненную емкость легких (ФЖЕЛ), объем форсированного выдоха за первую секунду (ОФВ1). Полученные результаты анализировали путем сопоставления данных с должными величинами, рассчитанными по формулам Европейского сообщества стали и угля (Официальный бюллетень Европейского респираторного общества. Легочные объемы и форсированные вентиляционные потоки).
Физическую активность (ФА) и инсоляцию определяли по анкете, которую заполняли пациенты при первом визите. Уровень ФА был разделен на: 1) обычный (посещение школьно-дошкольных учреждений, занятия кинезитерапией), без дополнительных занятий физической культурой; 2) 2 часа в день дополнительных занятий вместе с обычными физическими нагрузками; 3) 6 часов в день занятий в дополнение к обычным. Инсоляцию оценивали как указание на факт выезда за пределы привычной климатической зоны в широты с более теплым климатом не менее чем на 14 дней за последние 12 месяцев, до включения в исследование.
Статистическую обработка данных осуществляли с помощью пакета прикладных программ Statistica 10.0. Данные представлены медианой и интерквартильным размахом. При статистическом анализе использовали методы непараметрической статистики для сравнения двух и более групп независимых количественных переменных: тест Манна – Уитни, тест Крускала – Уоллиса, тест для сравнения групп независимых категориальных признаков, ХИ2ТЕСТ и точный критерий Фишера, для сравнения двух и более зависимых групп количественных признаков — тесты Вилкоксона и тест Фридмана, для зависимых категориальных признаков — тест Мак-Немара. Также проводили корреляционный анализ методом Спирмена. Результаты считали статистически значимыми при р < 0,05.
РЕЗУЛЬТАТЫ И ОБСУЖДЕНИЕ
Настоящее 12-месячное исследование успешно закончили 66 пациентов (71,7 %), доля некомплаентных пациентов/родителей составила 28,3 %. На фоне терапии препаратами витамина D3 в течение 12 месяцев отмечен прирост уровня 25(ОН)D в среднем на 33,7 % в группе комплаентных пациентов. Исходные уровни и динамика уровней 25(OH)D в крови пациентов с МВ до начала приема препаратов витамина D и через 12 месяцев у комплаентных пациентов представлены в табл. 1.
Таблица 1. Динамика уровней 25(OH)D на фоне 12-месячной терапии витамином D у комплаентных пациентов с муковисцидозом /
Table 1. Dynamics of 25(OH)D levels during of 12-month vitamin D therapy in compliant patients with cystic fibrosis
Уровень 25(OH)D / Level 25(OH)D | Исходно / Initially | Через 12 месяцев / After 12 months | p |
M (М ± SD), ng/ml Me (25 %;75 %), ng/ml | 23,3 ± 9,4 23,5 (14,9; 29,7) | 35,3 ± 15,1 32,4 (28,2; 40,2) | 0,0000001 0,0000001 |
> 30 ng/ml, n (%) | 16 (24,2) | 38 (57,6) | < 0,001 |
< 30 ng/ml, n (%) | 50 (75,6) | 28 (42,4) | < 0,001 |
20–30 ng/ml, n (%) | 24 (36,4) | 24 (36,4) | 1,0 |
10–20 ng/ml, n (%) | 20 (30,3) | 3 (4,5) | < 0,001 |
< 10 ng/ml, n (%) | 6 (9,1) | 1 (1,5) | < 0,001 |
Примечание: M — среднее арифметическое / The arithmetic mean. Me — медиана / Median. | |||
Поскольку дозу витамина D3 определяли дифференцированно в зависимости от возраста или исходного уровня 25(ОН)D согласно рекомендациям международного и национального консенсуса по ведению пациентов с МВ, нами были получены статистически значимые различия в дозах витамина D3, которые назначались пациентам в зависимости от исходных уровней 25(ОН)D [1, 21]. Пациенты с разной степенью исходного дефицита 25(ОН)D по-разному восстанавливали конечный уровень 25(ОН)D. Обращало на себя внимание, что лучшие показатели прироста имели пациенты с исходно более высокими уровнями 25(ОН)D. Пациентам с менее выраженным дефицитом 25(ОН)D требовался прием пропорционально меньших доз для достижения необходимого результата (табл. 2).
Таблица 2. Динамика степени дефицита 25(OH)D на фоне 12-месячной терапии витамином D3, а также терапевтические дозы
Table 2. Dynamics of the 25(OH)D deficiency grades and vitamin D3 therapeutic doses
Уровень 25(OH)D нг/мл / Level 25(OH)D ng/ml | Витамин D, тыс. МЕ/сут / Vitamin D, 10 × 3 IU/day | p | |
> 30 | < 30 | ||
Всего / Total | 2,0 (1,45–3,0) | 3,0 (2,25–4,0) | 0,012 |
< 10 (n = 6) | 2,25 (1,0–3,5) | 4,0 (3,0–7,5) | 0,53 |
10–20 (n = 20) | 3,0 (2,0–3,0) | 4,0 (3,0–5,0) | 0,02 |
20–30 (n = 24) | 2,5 (2,0–3,0) | 2,25 (1,5–3,0) | 0,489 |
> 30 (n = 14) | 1,0 (1,0–2,0) | 1,5 (1,0–3,0) | 0,438 |
р | 0,298 | 0,021* | |
Примечание: *У больных, не достигших нормального уровня витамина D, есть достоверные различия в назначаемых дозах в зависимости от исходного уровня витамина D в крови / Patients who have not reached the normal level of vitamin D have significant differences in theprescribed doses, depending on the initial level of vitamin D in the blood. | |||
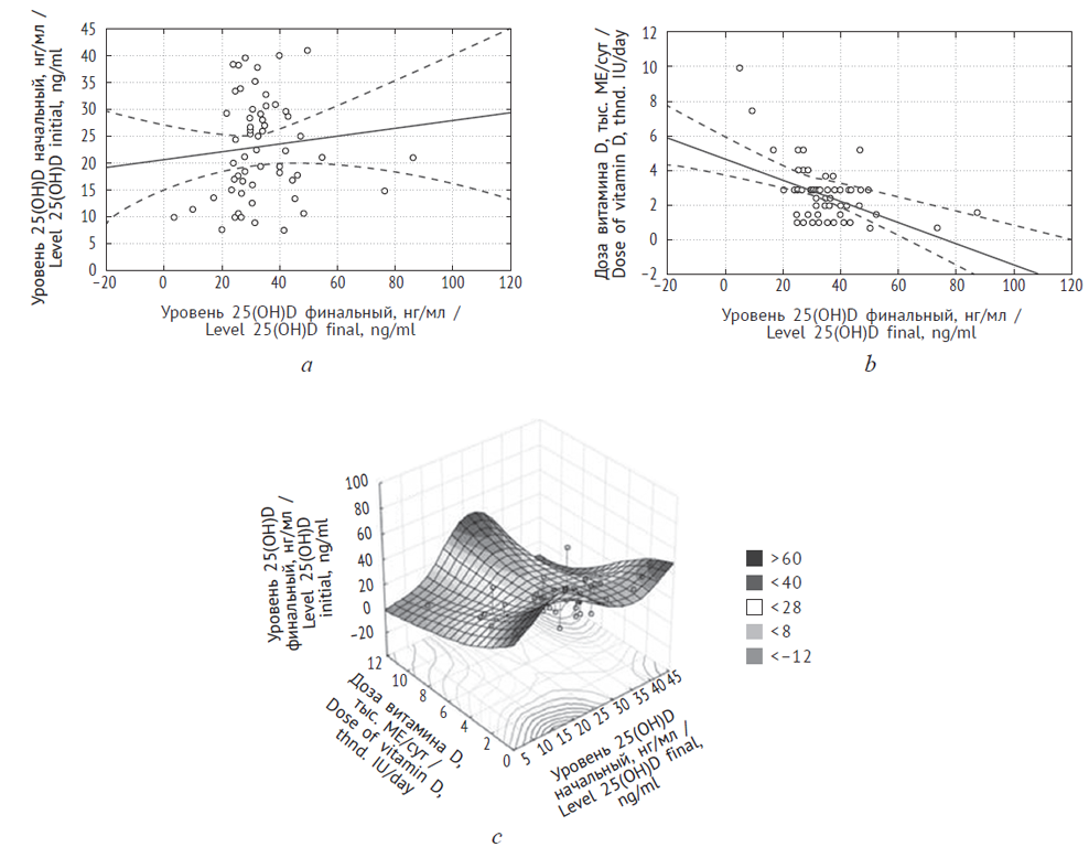
При проведении корреляционного анализа установлена отрицательная достоверная корреляция между дозой витамина D3 и финальной концентрацией 25(ОН)D (рис. 1, а), а также между исходной концентрацией 25(ОН)D и терапевтической дозой витамина D3 (рис. 1, b). Обращает на себя внимание отсутствие линейной зависимости между исходными и конечными уровнями 25(ОН)D, а также дозой витамина D3 (рис. 1, c).
Рис. 1. Корреляция между начальной и финальной концентрацией витамина D в крови (р = 0,09) (а); корреляция между дозой витамина D и финальной концентрацией в сыворотке крови (р = 0,0001) (b); корреляция между начальной, финальной концентрациями витамина D и дозой препарата (трехмерная корреляционная модель) (c)
Fig. 1. Correlation between the initial and final concentration of vitamin D in the blood (р = 0.09) (а); сorrelation between vitamin D dose and final serum concentration (р = 0.0001) (b); сorrelation between the initial and final concentrations of vitamin D and the dose of the drug (three-dimensional correlation model) (c)
При сравнительном анализе исходных характеристик пациентов с муковисцидозом, у которых уровень 25(ОН)D нормализовался в ходе терапии препаратами витамина D3, были выявлены следующие различия. Пациенты, у которых уровень 25(OH)D не нормализовался, были более старшего возраста (р = 0,02), получили бо́льшую кумулятивную дозу витамина D3 (р = 0,03) (табл. 3). Различий в показателях КУЗ — скорость прохождения звука на дистальном конце лучевой кости (р = 0,83), ФВД (ФЖЕЛ % р = 0,31; ОФВ1, р = 0,72) — не обнаружено.
Таблица 3. Сравнение исходных количественных характеристик пациентов с муковисцидозом в зависимости от последующей нормализации уровня 25(OH)D через 12 месяцев терапии
Table 3. Comparison of the initial quantitative data of the cystic fibrosis patients depend on the subsequent 25(OH)D normalization during 12 months treatment period
Параметры / Parameters | Уровень 25(OH)D нг/мл / Level 25(OH)D ng/ml | р | |
> 30 (n = 38) | < 30 (n = 28) | ||
Возраст, лет / Age, years | 3,0 (1,0; 6,0) | 6,5 (3,0; 10,0) | 0,02 |
Кумулятивная доза, тыс. МЕ / Cumulative dose, thnd. IU | 862,0 (622,3; 1246,5) | 1200,0 (852,5; 1662,0) | 0,03 |
Вес, кг / Weight, kg | 14,3 (8,1; 19,0) | 19,0 (13,5; 26,5) | 0,03 |
Вес, % / Weight, % | 22,1 (6,4; 50,3) | 19,0 (9,0; 36,6) | 0,65 |
Рост, z-score / Height, z-score | -0,9 (–1,9; 0,1) | -0,7 (–1,6; –0,1) | 0,76 |
ИМТ, % / BMI, % | 28,0 (16,7; 61,3) | 29,5 (19,5; 39,4) | 0,68 |
При изучении категориальных признаков достоверных различий у пациентов с МВ в зависимости от последующей нормализации уровня 25(OH)D через 12 месяцев терапии по генотипу, показателям костного метаболизма, ФВД, терапии, инсоляции, степени поражения печени и другим сопутствующим заболеваниям не получено. Однако выявлена тенденция различий в уровне физической активности (р = 0,06) и показателях роста z-score (p = 0,09).
ЗАКЛЮЧЕНИЕ
У подавляющего большинства детей с МВ в Санкт-Петербурге имеется дефицит витамина D, выраженный в разной степени. На фоне терапии витамином D3 в рекомендованных дозах у детей младшей возрастной группы нормализация уровня 25(OH)D > 30 нг/мл происходит чаще и при назначении меньших доз по сравнению с детьми старшего возраста. Требуются дальнейшие исследования, направленные на поиск предикторов, определяющих ответ на терапию витамином D3.
Конфликт интересов: исследование проведено при финансовой поддержке благотворительного фонда «Острова».
About the authors
Aleksandr A. Pashkevich
St Petersburg State Pediatric Medical University, Ministry of Healthcare of the Russian Federation
Author for correspondence.
Email: pashkevich_aa@live.ru
Post-Graduate Student, Department of Hospital Pediatrics
Russian Federation, Saint PetersburgViktor N. Kovalev
City Children's Hospital Saint Olga
Email: kovalevpma2009@rambler.ru
Pediatrician
Russian Federation, Saint PetersburgMarina I. Nikitina
City Children's Hospital Saint Olga
Email: 1961marina1@rambler.ru
Pediatrician
Russian Federation, Saint PetersburgIrina V. Kajstrry
Almazov National Medical Research Center
Email: irinaliz@mail.ru
Post-Graduate Student
Russian Federation, Saint PetersburgVladimir V. Dorofeikov
Lesgaft National State University of Physical Education, Sport and Health
Email: vdorofeykov@yandex.ru
MD, PhD, Dr Med Sci, Associate Professor, Head, Department of biochemistry
Russian Federation, Saint PetersburgLudmila A. Jelenina
St Petersburg State Pediatric Medical University, Ministry of Healthcare of the Russian Federation
Email: jelenina@mail.ru
MD, PhD, Dr Med Sci, Professor, Head, Department of Pediatrics, Endocrinology and Abilitology, Faculty of Postgraduate Education
Russian Federation, Saint PetersburgMichail M. Kostik
St Petersburg State Pediatric Medical University, Ministry of Healthcare of the Russian Federation
Email: kost-mikhail@yandex.ru
MD, PhD, Dr Med Sci, Associate Professor, Head, Department of Hospital Pediatrics
Russian Federation, Saint PetersburgReferences
- Баранова И.А., Кондратьева Е.И., Красовский С.А. Остеопороз при муковисцидозе: меры профилактики и терапевтические возможности // Пульмонология. - 2017. - Т. 27. - № 4. - С. 537-545. [Baranova IA, Kondrat’eva EI, Krasovskiy SA. Osteoporosis in cystic fibrosis patients: prevention and therapeutic opportunities. Russian Pulmonology. 2017;27(4):537-545. (In Russ.)]. doi: 10.18093/0869-0189-2017-27-4-537-545.
- Габрусская Т.В., Костик М.М., Насыхова Ю.А., и др. Влияние TaqI-генетического полиморфизма гена рецептора витамина D на состояние костного метаболизма у детей с воспалительными заболеваниями кишечника // Педиатр. - 2017. - Т. 8. - № 3. - С. 111-119. [Gabrusskaya TV, Kostik MM, Nasyhova YA, et al. Role of TaqI-Genetic Polymorphism of Vitamin D Receptor Gene in Bone Metabolism in Children with Inflammatory Bowel Disease. Pediatrician (St. Petersburg). 2017;8(3):111-119. (In Russ.)]. doi: 10.17816/PED83111-119.
- Капранов Н.И., Каширская Н.Ю. Исторический обзор // Муковисцидоз / Под. ред. Н.И. Капранова, Н.Ю. Каширской. - М.: Медпрактика-М, 2014. - С. 11. [Kapranov NI, Kashirskaya NY. Istoricheskiy obzor. In: Mukovistsidoz. Ed by N.I. Kapranov, N.Y. Kashirskaya. Moscow: Medpraktika-M; 2014. P. 11. (In Russ.)]
- Кондратьева Е.И., Жекайте Е.К., Шмаргина Г.В., и др. Содержание витамина D при муковисцидозе у пациентов московского региона // Сборник тезисов III Московского городского съезда педиатров «Трудный диагноз в педиатрии»; Москва, 4-6 октября 2017. - М., 2017. - С. 74. [Kondrat’eva EI, Zhekayte EK, Shmargina GV, et al. Soderzhanie vitamina D pri mukovistsidoze u patsientov moskovskogo regiona. In: Proceedings of the 3rd Moscow City Congress of Pediatricians “Trudnyy diagnoz v pediatrii”; Moscow, 4-6 Oct 2017. Moscow; 2017. P. 74. (In Russ.)]
- Красовский С.А. Остеопороз у взрослых больных муковисцидозом: Автореф. дис. … канд. мед. наук. - М., 2012. [Krasovskiy SA. Osteoporoz u vzroslykh bol’nykh mukovistsidozom. [dissertation] Moscow; 2012. (In Russ.)]
- Лесняк О.М., Баранова И.А., Белая Ж.Е. Остеопороз: руководство для врачей / Под ред. О.М. Лесняк. - М.: ГЭОТАР-Медиа, 2016. [Lesnyak OM, Baranova IA, Belaya ZE. Osteoporoz: rukovodstvo dlya vrachey. Ed by O.M. Lesnyak. Moscow: GEOTAR-Media; 2016. (In Russ.)]
- Пашкевич А.А., Борисенко Т.С., Кайстря И.В., и др. Дефицит витамина D у детей с муковисцидозом // Лечение и профилактика. - 2018. - Т. 8. - № 1. - С. 5-12. [Pashkevich AA, Borisenko TS, Kaistrya IV, et al. Vitamin D Deficiency in Children with Mucoviscidosis. Disease treatment and prevention. 2018;8(1):5-12. (In Russ.)]
- Петрова Н.В., Гинтер Е.К. Молекулярно-генетические аспекты муковисцидоза // Муковисцидоз / Под. ред. Н.И. Капранова, Н.Ю. Каширской. - М.: Медпрактика-М, 2014. - С. 44-45. [Petrova NV, Ginter EK. Molekulyarno-geneticheskie aspekty mukovistsidoza. In: Mukovistsidoz. Ed by N.I. Kapranov, N.Y. Kashirskaya. Moscow: Medpraktika-M; 2014. P. 44-45. (In Russ.)]
- Шерман В.Д., Капранов Н.И., Каширская Н.Ю. Обоснование диагностических подходов к выявлению муковисцидоза // Муковисцидоз / Под. ред. Н.И. Капранова, Н.Ю. Каширской. - М.: Медпрактика-М, 2014. - С. 103. [Sherman VD, Kapranov NI, Kashirskaya NY. Obosnovanie diagnosticheskikh podkhodov k vyyavleniyu mukovistsidoza. In: Mukovistsidoz. Ed by N.I. Kapranov, N.Y. Kashirskaya. Moscow: Medpraktika-M; 2014. P. 103. (In Russ.)]
- Abrol E, Ranganathan S. Optimizing vitamin D levels through the winter months in children with cystic fibrosis. J Cyst Fibros. 2015;14 Suppl 1: S111. doi: 10.1016/S1569-1993(15)30385-4.
- Abu-Fraiha Y, Elyashar-Earon H, Shoseyov D, et al. Vitamin D influence on respiratory exacerbations and hospitalizations in cystic fibrosis patients. J Cyst Fibros. 2015;14 Suppl 1: S8. doi: 10.1016/S1569-1993(15)30025-4.
- Elkin SL, Vedi S, Bord S, et al. Histomorphometric analysis of bone biopsies from the iliac crest of adults with cystic fibrosis. Am J Respir Crit Care Med. 2002;166(11):1470-1474. doi: 10.1164/rccm.200206-578OC.
- Finklea JD, Grossmann RE, Tangpricha V. Vitamin D and chronic lung disease: a review of molecular mechanisms and clinical studies. Adv Nutr. 2011;2(3):244-253. doi: 10.3945/an.111.000398.
- Hahn TJ, Squires AE, Halstead LR, Strominger DB. Reduced serum 25-hydroxyvitamin D concentration and disordered mineral metabolism in patients with cystic fibrosis. J Pediatr. 1979;94(1):38-42. doi: 10.1016/S0022-3476(79)80346-7.
- Hall WB, Sparks AA, Aris RM. Vitamin D deficiency in cystic fibrosis. Int J Endocrinol. 2010;2010:218691. doi: 10.1155/2010/218691.
- Herscovitch K, Dauletbaev N, Lands LC. Vitamin D as an anti-microbial and anti-inflammatory therapy for Cystic Fibrosis. Paediatr Respir Rev. 2014;15(2):154-162. doi: 10.1016/j.prrv.2013.11.002.
- Mailhot M, Labrèche E, Coriati A, et al. Long-term and seasonal impact of a vitamin D3 (cholecalciferol) supplementation protocol on vitamin D [25(OH)D] serum levels among cystic fibrosis adults in a Montreal clinic. J Cyst Fibros. 2015;14 Suppl 1: S111. doi: 10.1016/S1569-1993(15)30384-2.
- McPhail GL, Chini B, Siracusa C, et al. Vitamin D insufficiency is associated with pulmonary exacerbations in children with cystic fibrosis. J Cyst Fibros. 2015;14 Suppl 1: S112. doi: 10.1016/S1569-1993(15)30387-8.
- Smyth AR, Bell SC, Bojcin S, et al. European Cystic Fibrosis Society Standards of Care: Best Practice guidelines. J Cyst Fibros. 2014;13 Suppl 1:S23-42. doi: 10.1016/j.jcf.2014.03.010.
- Spirevska L, Jakovska T, Fustik S. Prevalence of vitamin D deficiency and effectiveness of higher dose oral vitamin D supplementation in cystic fibrosis center in R. Macedonia. J Cyst Fibros. 2017;16 Suppl 1: S141-2. doi: 10.1016/S1569-1993(17)30649-5.
- Tangpricha V, Kelly A, Stephenson A, et al. An update on the screening, diagnosis, management, and treatment of vitamin D deficiency in individuals with cystic fibrosis: evidence-based recommendations from the Cystic Fibrosis Foundation. J Clin Endocrinol Metab. 2012;97(4):1082-1093. doi: 10.1210/jc.2011-3050.
Supplementary files


