Graphene on a ferromagnetic substrate: instability of the electronic liquid
- Authors: Dresvyankin D.N.1, Rozhkov A.V.2, Sboychakov A.O.2
-
Affiliations:
- Skolkovo Institute of Science and Technology
- Institute for Theoretical and Applied Electromagnetics of RAS
- Issue: No 4 (2024)
- Pages: 6-20
- Section: Theoretical electrodynamics
- URL: https://ogarev-online.ru/2949-0553/article/view/277875
- DOI: https://doi.org/10.24412/2949-0553-2024-412-06-20
- EDN: https://elibrary.ru/TTNXCI
- ID: 277875
Cite item
Full Text
Abstract
We previously show [JETP Letters, 114, 763 (2021)] that a graphene sample placed on a ferromagnetic substrate demonstrates a cooperative magnetoelectronic instability. The instability induces a gap in the electronic spectrum and a canting deformation of the magnetization near the graphene-substrate interface. In this paper we prove that the interaction between the electrons in graphene strongly enhances the instability. Our estimates suggest that in the presence of even a moderate interaction the instability can be sufficiently pronounced to be detected experimentally in a realistic setting.
Full Text
I. Введение
Лист графена, помещенный на ферромагнитную диэлектрическую подложку [1–4], можно рассматривать как перспективную систему для спинтроники [5]. В такой гетероструктуре из-за эффекта магнитной близости спины электронов графена поляризуются, что сопровождается возникновением поверхностей Ферми в обеих точках Дирака, превращая графен, который является полуметаллом в своем исходном виде, в самолегированный металл. Экспериментальное исследование такого магнитного металла на основе графена было описано, например, в работе [2]. В статьях [6–8] также можно найти теоретические исследования этой системы.
Ранее [9] мы теоретически продемонстрировали, что при низкой температуре образец графена, помещенный на диэлектрическую ферромагнитную подложку, испытывает многочастичную магнитно-электронную неустойчивость: из-за совпадения дырочных и электронных поверхностей Ферми (такая особенность спектра называется «нестинг»), идеальная однородная ферромагнитная поляризация графена и подложки начинает испытывать подкос, что приводит к образованию щели в одноэлектронном спектре графена. В результате указанной неустойчивости магнитный металл переходит в полупроводящее магнитное состояние. В работе [9] мы намеренно рассматривали упрощенную модель, позволяющую дать наглядное объяснение механизма неустойчивости. Теперь же мы представляем более точное описание рассматриваемого явления.
Упрощения, использующиеся в теоретической модели [9], делятся на два типа: (i) все одноэлектронные состояния, энергии которых лежат слишком далеко от энергии Ферми, не учитываются при рассмотрении (в частности, были отброшены все состояния с , превышающим эВ); (ii) модель не учитывает электрон-электронное взаимодействие в графене. Из этих двух предположений, (i) является чисто техническим и используется для обоснования использования линейной плотности состояний для графена. От этого можно отказаться, не вводя новых концепций в формализм модели [9]. Ситуация с (ii) более сложная и требует усложнения теоретического аппарата.
В настоящей статье мы избавимся и от (i), и от (ii). А именно, мы используем плотность состояний сильной связи для учета всех электронных состояний. Но что самое главное, мы явно включим электрон-электронное отталкивание в модель. Затем мы применим теорию среднего поля для изучения сформулированной модели.
Мы увидим, что обе модификации формализма приводят к усилению неустойчивости и возрастанию величины щели по сравнению с выражениями, полученными в работе [9]. Это даёт возможность с большей уверенностью утверждать, что неустойчивость может наблюдаться в эксперименте при реалистичных условиях.
Помимо этого, наш формализм позволяет нам выявить кроссовер между магнитно-электронной неустойчивостью (которая обусловлена взаимодействием между магнитной и электронной подсистемами) и более распространенной неустойчивостью волны спиновой плотности, которая имеет чисто электронное происхождение.
Данная работа организована следующим образом. В разделе II мы описываем геометрические аспекты исследуемой гетероструктуры. Модельный гамильтониан представлен в разделе III. Магнитно-электронная неустойчивость обсуждается в разделе IV, а эффекты электрон-электронного взаимодействия исследуются в разделе V. Раздел VI содержит обсуждения основных результатов статьи и выводы. Технически сложные расчеты отнесены в Приложения.
II. Рассматриваемая геометрия
Основным объектом нашего исследования является образец графена, размещенный на ферромагнитной непроводящей подложке. Ниже мы предполагаем, что графен лежит в плоскости , а ось перпендикулярна подложке, см. рис. 1(a). Это «неканоническая» ориентация системы координат (обычно предполагается, что графен расположен в плоскости ). Однако наш выбор делает описание магнитной подсистемы более привычным, поскольку позволит использовать в качестве оси квантования спина. Символы обозначают единичные векторы в направлении соответствующих осей. Для задания точки на поверхности подложки мы будем использовать двумерные векторы , а точка внутри подложки задается вектором , , где плоскость соответствует поверхности подложки.
Решетка графена описывается элементарными векторами трансляции:
(1)
где – расстояние между ближайшими атомами углерода в решетке графена. Координаты узлов решетки на подрешетках A и B задаются векторами:
(2)
На рис. 1 узлы решетки, соответствующие разным подрешеткам, изображены разными цветами. Наконец, напомним, что зона Бриллюэна в графене имеет форму правильного шестиугольника, а выражение
(3)
характеризует соответствующие вектора обратной решетки.
III. Модель графена на ферромагнитной подложке
Модельный гамильтониан, описывающий поведение электронов в графене, помещенном на ферромагнитную подложку, задается следующим выражением:
(4)
Здесь — хорошо известный гамильтониан сильной связи для графена:
(5)
В этом выражении суммирование идет по парам ближайших соседей и по проекции спина . Символ t обозначает интеграл перескока (для расчетов можно использовать эВ).
Рисунок 1 – Схематическое изображение образца графена на ферромагнитной подложке. Ориентация осей показана в левом нижнем углу. Начало координат находится в центре правильного шестиугольника. Атомы углерода графена представлены черными (подрешетка B) и красными (подрешетка A) кругами. Сплошные (серые) линии, соединяющие атомы, показывают углерод-углеродные химические связи. Под графеном находится ферромагнитная подложка. Синие стрелки представляют локальную намагниченность на поверхности ферромагнетика. Панель (a) соответствует случаю идеальной намагниченности, см. уравнение (11). Панель (b) представляет состояние с подкосом. В этом случае проекция намагниченности M, периодически изменяется в пространстве, см. уравнения (16) и (17). Мы рассматриваем только те деформации подкоса, для которых M, имеет противоположные знаки под атомами, принадлежащими разным подрешеткам, в соответствии с условием (17). Легко заметить на панели (b), что под атомами подрешетки A, и для подрешетки B
Взаимодействие между электронами описывается с помощью гамильтониана Хаббарда:
(6)
где
(7)
- оператор числа электронов на - орбитали, а - индекс подрешетки. Наконец, зеемановский член , индуцированный благодаря близости к магнитной подложке, равен:
(8)
В этой формуле оператор спина электрона определяется известным выражением:
(9)
где — соответствующие матрицы Паули. Величина в суть обменное поле, испытываемое электронами на подрешетке a, на элементарной ячейке R. Далее мы будем предполагать, что прямо пропорциональна локальной намагниченности подложки :
(10)
В этом соотношении коэффициент отражает силу магнитного эффекта близости. Уравнение (10) подразумевает, что зеемановское поле на определенном атоме углерода пропорционально намагниченности подложки непосредственно под этим атомом. Также мы отметим, что наша модель не учитывает спин-орбитальное взаимодействие (данный вопрос мы кратко обсудим в разделе VI).
В случае, когда взаимодействия нет (т.е. ) и намагниченность однородна:
(11)
гамильтониан принимает вид:
(12)
где — биспинорный оператор, соответствующий состояниям с квазиимпульсом . В этом выражении — оператор уничтожения электрона, расположенного на подрешетке a, с квазиимпульсом q и спином . Матрица имеет вид:
(13)
где локальное зеемановское поле h равняется , а функция выражается следующим образом:
(14)
Диагонализуя гамильтониан , мы получим спектр электронов графена на ферромагнитной подложке:
(15)
Это выражение показывает, что при наличии магнитной подложки электронная структура состоит из четырех невырожденных зон. Две из них пересекают уровень Ферми, образуя круговую поверхность Ферми вокруг каждой точки Дирака. Соответствующая дисперсия показана на рис. 2.
Рисунок 2 – Схематическое изображение электронной дисперсии для графена на ферромагнитной подложке. Горизонтальная ось соответствует абсолютной величине волнового вектора. Вертикальная ось соответствует энергии. Начало координат соответствует точке Дирака (спектры вблизи обеих точек Дирака идентичны). Для электронных состояний со спином () вершина конуса Дирака смещена на h (смещена на -h). Дисперсия для идеально однородной намагниченности представлена на панели (a). Зона, показанная синей (красной) линией, полностью пуста (заполнена). Лиловая и зеленая линии соответствуют зонам, пересекающим уровень Ферми. Эти зоны образуют электронную и дырочную поверхности Ферми. На панели (а) электронная и дырочная поверхности Ферми совпадают, демонстрируя идеальный нестинг. Диэлектрическое состояние с подкосом намагниченности представлено на панели (b). Заполненные зоны (красная и лиловая кривые) образованы смешанными состояниями, полученными в результате гибридизации электронных и дырочных состояний. Пустые зоны показаны зеленым и синим цветом. Спектр имеет щель
Стоит обратить внимание на то, что поверхность Ферми формируется без внешнего легирования. Другими словами, наличие зеемановского поля приводит к эффекту самолегирования: электроны покидают зону , скапливаясь вместо этого в зоне , образуя две совпадающие поверхности Ферми. Благодаря этому спин-зависимому механизму возникающие поверхности Ферми не являются вырожденными по спину, в отличие от ситуации в обычном металле.
Также отметим, что включение отталкивающего взаимодействия в модель вносит несколько изменений в невзаимодействующие электронные состояния, описанные в предыдущих параграфах. Во-первых, конечное электрон-электронное взаимодействие перенормирует зеемановскую восприимчивость (это слабый эффект, как мы увидим ниже). Но, что еще важнее, взаимодействие может вызвать переход в фазу волны спиновой плотности [10]. Наш расчёт покажет, что при низкой температуре две зарождающиеся неустойчивости, связанные с магнитно-электронными эффектами и с наличием волны спиновой плотности, взаимодействуют и взаимно усиливают друг друга.
IV. Магнитно-электронная неустойчивость
Для большей ясности кратко опишем происхождение магнитно-электронной неустойчивости в модели невзаимодействующих электронов, т.е. при (более подробную информацию можно найти в нашей работе [9]).
Представим, что идеальный ферромагнитный порядок в подложке [описываемый выражением (11)] нарушен слабой деформацией подкоса вдоль оси :
(16)
где , , задает отклонение вектора намагниченности от оси .
Подкос намагниченности увеличивает магнитную энергию подложки . Можно ожидать, что слабая деформация m приводит к квадратичной поправке к магнитной энергии: , . Из-за ненулевого m электроны графена испытывают воздействие неоднородного зеемановского поля. Пока мало, можно использовать теорию возмущений второго порядка для оценки поправки к энергии электронов графена , вызванной наличием m. Как это всегда бывает для поправок второго порядка, отрицательна (), но в пределе малых и M полная энергия увеличивается (), что подразумевает общую устойчивость однородной ферромагнитной конфигурации и соответствующей зонной структуры.
Тем не менее, существует особый тип подкоса m, для которого этот механизм устойчивости не работает. Мы объяснили в [9], что из-за существования нестинга поверхностей Ферми в нашей гетероструктуре можно построить таким образом, что соответствующая поправка больше не будет описываться теорией возмущений второго порядка. Более того, будет неаналитичной по m, и при этом общая поправка может стать отрицательной при подходящем выборе параметров. Так обнаруживается магнитно-электронная неустойчивость.
Чтобы конкретизировать наши рассуждения, зададим m таким образом, что под атомами углерода, принадлежащими подрешетке A, и под атомами подрешетки B. Другими словами,
(17)
Схематически состояние с такой деформацией подкоса показано на рис. 1(b). При большом отдалении от поверхности вглубь подложки однородная намагниченность восстанавливается: то есть при .
Формально говоря, деформация подкоса, удовлетворяющая уравнению (17), вызывает гибридизацию между электронами и дырками на уровне Ферми. Такая гибридизация приводит к открытию щели и образованию неаналитических поправок. Наши вычисления в этом разделе явно докажут этот факт. Что касается более общего, основанного на симметрии, обсуждения этого вопроса, заинтересованные читатели могут обратиться к работам [10] и [11].
При деформации подкоса (17) оценка для поправки к магнитной энергии есть , где - число элементарных ячеек в образце графена, а J – обменный интеграл. Для конкретной модели ферромагнитной подложки мы получили следующий результат (см. Приложение А):
(18)
где – магнитная энергия, нормированная на элементарную ячейку, а и безразмерные зеемановские поля:
(19)
Для расчета энергии электронов нам необходимо найти зонную структуру при наличии подкоса (17). Поскольку в этом разделе мы пренебрегаем электрон-электронным взаимодействием (), то гамильтониан для электронов графена может быть выражен как в уравнении (12), при этом матрица примет следующий вид:
(20)
где
(21)
Стоит отметить, что сохраняет трансляционную симметрию гексагональной решетки, но нарушает симметрию между двумя подрешетками.
Диагонализуя , находим дисперсию электронов при наличии деформации подкоса (17):
(22)
Данный спектр схематически представлен на рис. 2(b). Общая электронная энергия графена может быть выражена как , где полная безразмерная энергия представляет собой сумму двух вкладов от двух зон , где:
(23)
В этом уравнении безразмерная плотность состояний выражается формулой:
(24)
Для малых можем получить приближенное равенство:
(25)
которое является обобщением известного выражения для линейной плотности состояний графена вблизи энергии Дирака.
Анализ выражения для показывает, что при малых верно следующее разложение:
(26)
где многоточие обозначает менее сингулярные члены. Мы видим, что из-за члена полная энергия гетероструктуры всегда уменьшается, когда отлично от нуля, что указывает на нестабильность однородного ферромагнитного состояния.
Равновесное значение можно найти из условия минимизации полной энергии:
(27)
Решение соответствующей задачи изложено в Приложении Б, где мы выводим следующее выражение для безразмерного поля :
(28)
Функция в этом выражении определяется как:
(29)
При малых можно показать (см. Приложение В), что:
(30)
где постоянная рассчитана численно. Используя это приближение, можем упростить выражение (28):
(31)
Коэффициент c в этой формуле примерно равен 2.42. Параметр порядка в таком случае равен:
(32)
в то время как спектральная щель равна . Это соотношение для щели можно сравнить с уравнением (45) из работы [9]. Мы видим, что, хотя общая структура этих двух выражений почти идентична, значение щели, которое мы вывели в этом разделе, всегда превышает значение, найденное в работе [9]. Это является следствием более точного учёта вклада одноэлектронных состояний с более высокой энергией.
IV. Учет электрон-электронного взаимодействия
В этом разделе мы обсудим, как электрон-электронное взаимодействие влияет на магнитно-электронную неустойчивость. В частности, мы получим аналог уравнения (32), учитывающий наличие в модели . Для этого мы применим приближение среднего поля. Существует несколько эквивалентных способов построения теории среднего поля. Ниже мы будем использовать вариационную версию этой теории. Для этого мы вводим гамильтониан среднего поля :
(33)
(34)
Основное состояние гамильтониана будет выполнять роль нашей вариационной волновой функции. Безразмерные величины и будут служить параметрами оптимизации для нашего вариационного метода. Матрица имеет ту же структуру, что и матрица в уравнении (20). Другими словами, мы предполагаем, что взаимодействие перенормирует параметры и , отвечающие за магнитно-электронную неустойчивость. Как мы увидим ниже, эта перенормировка усилит неустойчивость.
Используя символ для обозначения усреднения по основному состоянию , мы можем выразить полную безразмерную вариационную энергию таким образом:
(35)
Подобрав нужные значения , и , мы минимизируем вариационную энергию . Дифференцируя по , получим:
(36)
где - средняя проекция намагниченности на узле, принадлежащем подрешетке A, то есть . Используя теорему Гельмана-Фейнмана (см. Приложение Г), получим:
(37)
Обратите внимание, что . Другими словами, усредненные проекции намагниченности на ось имеют разные знаки на разных подрешетках. Дифференцирование по позволяет получить второе уравнение среднего поля:
(38)
Как и выше, для вычисления можно воспользоваться теоремой Гельмана-Фейнмана и установить, что:
(39)
Выводя это соотношение, мы использовали уравнение (25), справедливое для малых . Поскольку , последний член в уравнении (38) пренебрежимо мал, и мы можем заключить, что:
(40)
Последняя формула подразумевает, что электрон-электронное взаимодействие не вносит значительный вклад в перенормировку зеемановского поля, индуцированного подложкой.
Наконец, минимизируя по , мы выведем:
(41)
Собирая уравнения (36), (37) и (41), получаем следующую систему уравнений:
(42)
где последнее уравнение можно упростить с помощью равенства (30). Решая эту систему, определяем и находим параметр порядка :
(43)
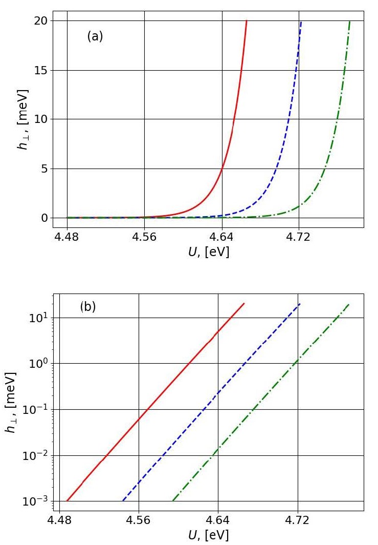
Это выражение совпадает с уравнением (28) в пределе нулевого U, как и должно быть. Когда U растет, величина подкоса тоже увеличивается. Зависимости от U показаны на рис. 3 для различных вариантов выбора параметров.
V. Обсуждение
В предыдущих разделах мы показали, что графен на ферромагнитной подложке демонстрирует многочастичную магнитно-электронную неустойчивость. Вблизи раздела между подложкой и графеном указанная неустойчивость порождает конечный подкос у вектора ферромагнитной поляризации. Подкос, в свою очередь, приводит к образованию щели в электронном спектре графена. Наш анализ обобщает исследование работы [9], учитывая эффекты конечного электрон-электронного взаимодействия. Из уравнения (43) видно, что электрон-электронное взаимодействие действительно усиливает неустойчивость.
Рисунок 3 – Параметр порядка как функция параметра взаимодействия U для различных в линейном (a) и логарифмическом (b) масштабе. Сплошная (красная) кривая для K, пунктирная (синяя) кривая для K, штрихпунктирная (зеленая) кривая для K. Для этих кривых мы используем мэВ (или, что эквивалентно, Тл)
Неустойчивость может быть потенциально обнаружена в эксперименте, измеряющем температурную зависимость проводимости графена . Неустойчивость проявится в резком уменьшении , когда T опустится ниже характерного масштаба энергии . Это означает, что для того, чтобы неустойчивость можно было наблюдать в эксперименте, значение должно быть достаточно большим. Для оценки можно проанализировать рис. 3, на котором построены графики в зависимости от U для различных значений .
Графики на рис. 3 показывают, что, хотя при параметр порядка может быть очень слабым, реалистичное электрон-электронное взаимодействие резко, на порядки величины, увеличивает равновесное значение , делая его достаточно сильным, чтобы его можно было обнаружить в эксперименте. В частности, для гетероструктуры, состоящей из графена располагающегося на подложке из сульфида европия EuS, описанной в работе [2], температура Кюри и обменное поле соответственно равны K и Тл (эквивалентно мэВ). Для таких параметров мэВ при эВ.
Принимая во внимание уравнение (43) для , мы видим, что, в зависимости от параметра , система может находиться в двух разных режимах. Чтобы проиллюстрировать это, перепишем уравнение (43) следующим образом:
(44)
где параметр описывается выражением:
(45)
Видно, что, когда , мы можем пренебречь U в уравнении (43). В этом пределе эффекты межэлектронного взаимодействия слабы, и неустойчивость обусловлена исключительно взаимодействием между магнитной подсистемой подложки и электронами графена. Этот режим изучен в работе [9].
В противном случае () можно рассматривать как малую поправку к U, которой можно пренебречь в простейшем приближении. Если удалить из уравнения (44), то больше не будет входить в выражение для , указывая на то, что связь между появлением подкоса и нестингом поверхностей Ферми больше не принципиальна. Вместо этого единственной функцией ферромагнитной подложки является генерация поверхности Ферми с конечной плотностью состояний на уровне Ферми. В этом режиме наша система переходит в диэлектрическое состояние волны спиновой плотности, стабилизированное межэлектронным взаимодействием.
Два режима разделены кроссовером, который происходит при . В области кроссовера совместное влияние электрон-электронного взаимодействия и подкоса намагниченности в подложке усиливает неустойчивость.
Наш модельный гамильтониан (4) не учитывает спин-орбитальное взаимодействие, возникающее в графене при контакте с магнитной подложкой. Мы используем это упрощение по двум причинам. Во-первых, мы хотим обратить внимание на теоретическую работу [13], исследовавшую систему, родственную нашей (двухслойный графен на ферромагнитной подложке). Хотя модель в [13] пренебрегала спин-орбитальным взаимодействием, она успешно объяснила данные моделирования [8], выполненные по методу функционала плотности. Это указывает на допустимость подобного упрощающего подхода. Во-вторых, ответ на вопрос о роли и описании спин-орбитальных эффектов в изучаемой нами системе, скорее всего, весьма неуниверсален и зависит от специфических особенностей конкретной экспериментальной ситуации. Об этом, в частности, говорит теоретический анализ, выполненный в работе [14]. Поэтому нам представляется оправданным, что на начальном этапе исследований спин-орбитальными эффектами можно пренебречь.
В заключение ещё раз отметим, что мы изучили влияние электрон-электронного взаимодействия на магнитно-электронную неустойчивость в графене на ферромагнитной подложке. Мы продемонстрировали, что электрон-электронное взаимодействие значительно усиливает неустойчивость: даже умеренное по силе взаимодействие может увеличить характерный масштаб энергии на несколько порядков. Наши результаты показывают, что неустойчивость можно обнаружить экспериментально в реалистичных условиях.
Приложение А. Поправка к магнитной энергии
В этом приложении мы вычислим магнитную энергию подложки с подкосом ферромагнитной намагниченности и без нее. В наших выкладках мы будем опираться на теорию Вейса для ферромагнетиков. В приближении Вейса магнитная энергия подложки равняется:
(A1)
Здесь J — обменный интеграл, обозначает положение i-го атома в трехмерной решетке подложки, векторы соединяют данный атом с его ближайшими соседями, а — намагниченность на i-том атоме. Мы предполагаем, что векторы имеют одинаковую длину: для любого узла решетки i.
Для модели такого типа можно вывести выражение для температуры Кюри:
(A2)
где z — число ближайших соседей атома. Это выражение можно получить, используя метод среднего поля, примененный к энергии (A1). Преимущество уравнения (A2) заключается в том, что оно позволяет нам оценить J, используя экспериментальные данные для температуры Кюри, низкотемпературной намагниченности подложки M и z.
Обозначая число атомов в подложке как N, можно выразить энергию идеально упорядоченной ферромагнитной конфигурации как:
(A3)
что справедливо при . Для конфигураций со слабыми и плавными отклонениями от однородно упорядоченного состояния энергия становится , где поправка равняется:
(A4)
где мы предположили, что материал подложки имеет кубическую решетку (), постоянная решетки которой равна . Безразмерная величина подкоса , вводится уравнением (16). Здесь она рассматривается как функция трехмерной непрерывной переменной , тогда как интегрирование в уравнении (A4) выполняется по объему подложки ().
Теперь мы хотим, используя уравнение (A4), оценить увеличение магнитной энергии , вызванное подкосом (см. рис. 1(b)). Наша цель — (i) найти такое , удовлетворяющее граничному условию (17) при , которое (ii) обеспечивало минимальность функционала (A4).
Однако граничное условие (17) было сформулировано для решеточной функции. Для непрерывного приближения, которое мы используем в этом Приложении, такое граничное условие является неполным. Действительно, оно фиксирует значения m только на дискретном наборе точек, таким образом, на существует бесконечно много нетождественных функций, удовлетворяющих уравнению (17). Чтобы решить эту проблему, мы расширим граничное условие:
(A5)
где вектор k пробегает следующий список значений:
(A6)
Удобство уравнения (A5) в том, что оно не только удовлетворяет уравнению (17), но и содержит минимальное число (шесть) плоских волн, в то время как все пространственные частоты имеют наименьшее возможное значение, совместимое с условием (17). Учет плоских волн с более короткими длинами волн приводит к большим вкладам в функционал .
Используя положения (i) и (ii), сформулированные выше, запишем уравнение Лапласа:
(A7)
для m внутри подложки. На границе раздела должно выполняться граничное условие (A5).
Решение этой математической задачи имеет вид:
(A8)
Это выражение показывает, что, как и ожидалось, подкос намагниченности наиболее выражен непосредственно на поверхности (), но он быстро уменьшается в глубину подложки. Подставляя это в уравнение (A4), получим:
(A9)
Мы можем записать это выражение, используя безразмерные величины:
(A10)
Как мы уже упоминали в разделе IV, магнитная энергия, связанная с наличием подкоса намагниченности, квадратична по и не содержит никаких неаналитических вкладов.
Приложение Б. Величина щели в одноэлектронном спектре
В этом приложении мы приводим подробный вывод уравнения (28) для безразмерного параметра порядка . Вычисления, представленные ниже, совершенствуют способ получения уравнения (30) в работе [12]. Нашей отправной точкой является уравнение (27), которое мы перепишем следующим образом:
где функция определяется уравнением (29). Последний интеграл в (Б1) можно найти явно:
(Б2)
В результате мы можем решить уравнение (Б1) и получить значение :
(Б3)
которое полностью соответствует уравнению (28).
Приложение B. Приближение для функции
В этом приложении мы выводим приближенное выражение для , действительное в пределе малых . Начнем с того, что отметим, что особенности интеграла при малых слабы, и достаточно аппроксимировать интеграл константой:
(В1)
где
(В2)
Чтобы доказать, что отброшенные в уравнении (В1) члены действительно являются , мы разобьем интервал интегрирования на два подинтервала , где удовлетворяет неравенствам . Можно записать:
В правой части этого соотношения подынтегральные функции не имеют особенностей при . Первый интеграл не зависит от , тогда как два других явно принадлежат классу . Что касается интеграла от 0 до , то ввиду малости можно воспользоваться разложением (25). Таким образом:
(В4)
При выводе этого соотношения мы использовали следующее равенство: . Из уравнения (В4) видно, что интеграл по интервалу равен константе, не зависящей от плюс поправка , как следует из уравнения (В1). Второй интеграл в уравнении (29) можно преобразовать следующим образом:
Для оценки интеграла мы в явном виде выразим наиболее сингулярный вклад:
(В6)
Оставшийся интеграл конечен в пределе , что можно доказать с помощью уравнения (25). Чтобы оценить его численно, мы разделим интервал интегрирования на две части:
Преимущество этого представления заключается в том, что численно оцененный числитель имеет большие погрешности вблизи нуля . К счастью, для малых и можно использовать аналитическое приближение, основанное на уравнении (25): . Интеграл по интервалу между и 3, оцененный численно, оказывается очень малым. Таким образом:
(В8)
для . Собирая все члены воедино, находим:
(В9)
где сохраненные члены являются более сингулярными, чем те, которые были отброшены. Так выводится уравнение (30).
Приложение Г. Вывод уравнений среднего поля
В этом приложении мы более детально рассмотрим вывод уравнений среднего поля. Наша цель состоит в том, чтобы продифференцировать , определяемую уравнением (35), по вариационным параметрам , и . Имея это в виду, выразим следующим образом:
(Г1)
Это представление явно разбивает на три вклада: (i) энергия среднего поля , (ii) член, описывающий хаббардовское взаимодействие , и (iii) все прочие вклады . Гамильтониан в (iii) является билинейным по одноэлектронным операторам:
(Г2)
где матрица имеет вид:
(Г3)
где , и .
Продифференцируем по . Член не зависит от , поэтому соответствующая производная равна нулю. Теорема Гельмана-Фейнмана позволяет установить, что:
(Г4)
Здесь мы использовали соотношение , которое связывает проекции намагниченности на подрешетках.
Чтобы вычислить производные для двух других членов в уравнении (Г1), мы можем записать для них явные выражения:
(Г5)
(Г6)
Таким образом:
(Г7)
(Г8)
Объединяя все вклады, получим выражение:
(Г9)
Приравнивая последнее уравнение к нулю, получаем уравнение (36). Два других уравнения среднего поля выводятся аналогично. Наконец, мы хотим кратно пояснить вывод выражения (37) для . Наиболее простой подход для данной задачи — использовать уравнение (Г4). Энергия среднего поля равна:
Подставляя это выражение в уравнение (Г4), получим:
Используя приёмы, обсуждаемые в Приложении Б, можно восстановить уравнение (37) из уравнения (Г11).
About the authors
D. N. Dresvyankin
Skolkovo Institute of Science and Technology
Email: alex.vl.rozhkov@yandex.ru
Russian Federation, Moscow
A. V. Rozhkov
Institute for Theoretical and Applied Electromagnetics of RAS
Author for correspondence.
Email: alex.vl.rozhkov@yandex.ru
Russian Federation, Moscow
A. O. Sboychakov
Institute for Theoretical and Applied Electromagnetics of RAS
Email: alex.vl.rozhkov@yandex.ru
Russian Federation, Moscow
References
- Wang Z., Tang C., Sachs R., Barlas Y., Shi J. Proximity-Induced Ferromagnetism in Graphene Revealed by the Anomalous Hall Effect // Phys. Rev. Lett. — 2015. — № 114. — P. 016603.
- Wei P., Lee S., Lemaitre F., Pinel L., Cutaia D., Cha W., Katmis F., Zhu, D. Heiman Y., Hone J. Strong interfacial exchange field in the graphene/EuS heterostructure // Nat. Mater. — 2016. — №. 15. — P. 711.
- Mendes J. B. S., Alves Santos O., Meireles L. M., Lacerda R. G., Vilela-Leao L. H., Machado F. L. A., Rodriguez-Suarez R. L., Azevedo A., and Rezende S. M. Spin-Current to Charge-Current Conversion and Magnetoresistance in a Hybrid Structure of Graphene and Yttrium Iron Garnet // Phys. Rev. Lett. — 2015. — № 115. — P. 226601.
- Leutenantsmeyer J. C., Kaverzin A. A., Wojtaszek M., van Wees B. J. Proximity induced room temperature ferromagnetism in graphene probed with spin currents // 2D Mater. — 2016. — № 4. — P. 014001.
- Han W., Kawakami R. K., Sachs R., Gmitra M., Fabian J. Graphene spintronics // Nat. Nanotechnol. — 2014. — № 9. — P. 794.
- Zollner K., Gmitra M., Frank T., Fabian J. Theory of proximity-induced exchange coupling in graphene on hBN/(Co,Ni) // Phys. Rev. B — 2016. — № 94. — P. 155441.
- Cardoso C., Soriano D., Garcia-Martinez N. A., Fernandez-Rossier J. Van der Waals Spin Valves // Phys. Rev. Lett. — 2018. — № 121. — P. 067701.
- Zollner K., Gmitra M. and Fabian J. Electrically tunable exchange splitting in bilayer graphene on monolayer Cr X Te with X = Ge, Si, and Sn // New J. Phys. — 2018. — № 20. — P. 073007.
- Дресвянкин Д.Н., Рожков А.В., Сбойчаков А.О. Магнитно-электронная неустойчивость графена на ферромагнитной подложке // Письма в ЖЭТФ — 2021. — № 114. — С. 824.
- Aleiner I. L., Kharzeev D. E. and Tsvelik A. M Spontaneous symmetry breaking in graphene subjected to an in-plane magnetic field // Phys. Rev. B — 2007. — № 76. — P. 195415.
- Rakhmanov A. L., Rozhkov A. V., Sboychakov A. O. and Nori F. Instabilities of the AA-Stacked Graphene Bilayer // Phys. Rev. Lett. — 2012. — № 109. — P. 206801.
- Sboychakov A. O., Rozhkov A. V., Rakhmanov A. L. and Nori F. Antiferromagnetic states and phase separation in doped AA-stacked graphene bilayers // Phys. Rev. B — 2013. — № 88. — P. 045409.
- Гобелко И.Е., Рожков А.В., Дресвянкин Д.Н. Переход металл-диэлектрик и другие электронные свойства двухслойного АВ-графена на ферромагнитной подложке // Письма в ЖЭТФ — 2023. — № 118. — С. 689.
- Phong V. T., Walet N. R., Guinea F. Effective interactions in a graphene layer induced by the proximity to a ferromagnet // 2D Materials — 2017. — № 5. — P. 014004.
Supplementary files




