Импедансный метод контроля поверхностной температуры и нестационарного теплового потока на основе скин-эффекта в электропроводящих теплофизических объектах
- Авторы: Шафигуллин И.Д.1
-
Учреждения:
- Казанский национальный исследовательский технический университет им. А.Н. Туполева-КАИ
- Выпуск: Том 5, № 1 (2025)
- Страницы: 8-17
- Раздел: Электроника
- URL: https://ogarev-online.ru/2782-5507/article/view/305621
- EDN: https://elibrary.ru/BMHNTD
- ID: 305621
Цитировать
Аннотация
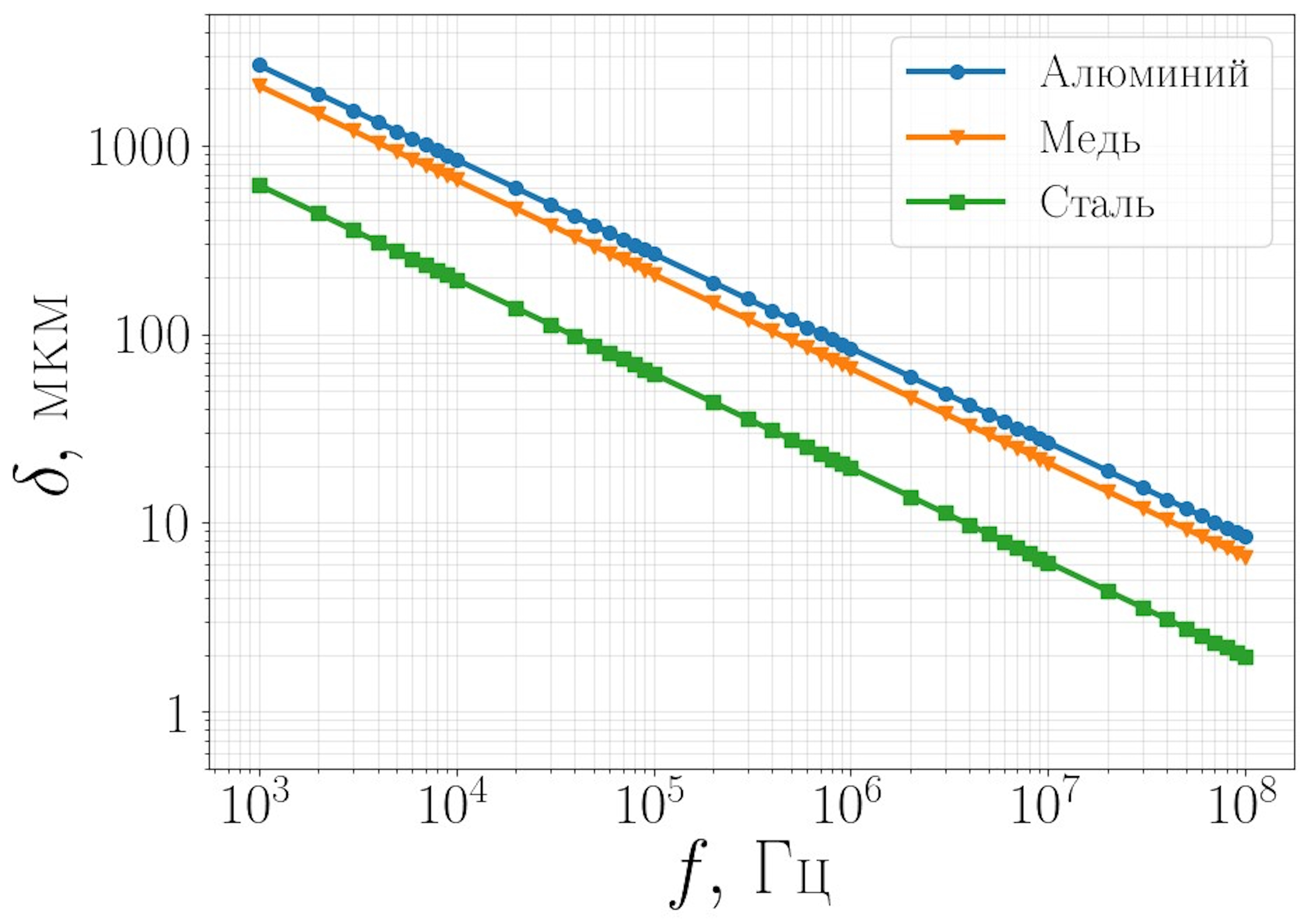
Представлен новый импедансный метод измерения и контроля поверхностной температуры и нестационарного теплового потока в электропроводящих теплофизических объектах. Особенность метода заключается в использовании электрического скин-эффекта, позволяющего использовать электропроводящий объект контроля в качестве чувствительного элемента, что увеличивает быстродействие измерений за счёт отсутствия дополнительных датчиков в области измерения. Путем электронного (частотного) управления толщиной скин-слоя имеется возможность изменения чувствительной области и чувствительности измерений. Применение математического аппарата дробных операторов позволяет связать нестационарный тепловой поток с поверхностной температурой, что дает возможность одновременно измерить две теплофизические величины – поверхностную температуру и нестационарный тепловой поток. Разработан соответствующий алгоритм численного расчета нестационарного теплового потока с использованием дробных производных половинного порядка. Проведены экспериментальные исследования предложенного импедансного метода и показаны его преимущества.
Ключевые слова
Об авторах
И. Д. Шафигуллин
Казанский национальный исследовательский технический университет им. А.Н. Туполева-КАИ
Автор, ответственный за переписку.
Email: email@example.com
ORCID iD: 0000-0001-8140-1436
Аспирант, старший преподаватель кафедры радиоэлектроники и информационно-измерительной техники института радиоэлектроники, фотоники и цифровых технологий КНИТУ-КАИ им. А.Н. Туполева
Россия, г. Казань, ул. К. Маркса, 10, 420111, Российская Федерация
Список литературы
- Дивин, А.Г. Методы и средства измерений, испытаний и контроля. Часть 3. Средства измерения температуры, оптических и радиационных величин: учеб. пособие / А.Г. Дивин, С.В. Пономарев – Тамбов: Тамбовский государственный технический университет, ЭБС АСВ, 2013. – 117 с.
- Sabitov, A. F. Up-to-Third-Order Determination of Time Constants of Models of Avionics Thermocouples in Gas Temperature Control Loop of Automatic Control System of Gas Turbine Engine / A. F. Sabitov, I. A. Safina // Journal of Engineering Thermophysics. – 2024. – Vol. 33, No. 2. – P. 376-383. – doi: 10.1134/S1810232824020127.
- Бондарь, О. Г. Исследование метода измерения температуры при двухпроводном подключении термометра сопротивления / О. Г. Бондарь, Е. О. Брежнева, К. А. Ботиков // Известия Юго-Западного государственного университета. – 2024. – Т. 28, № 1. – С. 71-87. – doi: 10.21869/2223-1560-2024-28-1-71-87.
- Щетка как интеллектуальный узел электродвигателя / О.Г. Морозов, В.И. Артемьев, А.А. Кузнецов и др. // Инженерный вестник Дона. – 2016. – №1(40). – С. 18.
- Четырехкомпонентные адресные волоконные брэгговские структуры – новый элемент радиофотонных многосенсорных сетей / О.Г. Морозов, А.Ж. Сахабутдинов, И.И. Нуреев и др. // Прикладная фотоника. – 2023. – Т. 10, № 6. – С. 43-65.
- Distributed fiber optic sensors for tunnel monitoring: A state-of-the-art review / X. Zhang, H. Zhu, X. Jiang, W. Broere // Journal of Rock Mechanics and Geotechnical Engineering. – 2024. – Vol. 16, No. 9. – P. 3841-3863. – doi: 10.1016/j.jrmge.2024.01.008.
- Evdokimov, Y. K. One-dimensional continuously distributed sensors for thermophysical fields: Method of measurement, model, and numerical algorithm / Y.K. Evdokimov, E.S. Denisov, L.Y. Fadeeva // Measurement. – 2021. – Vol. 186. – P. 110082. – doi: 10.1016/j.measurement.2021.110082.
- Сапожников, С.З. Основы градиентной теплометрии / С.З. Сапожников, В.Ю. Митяков, А.В. Митяков. – Санкт-Петербург: Санкт-Петербургский политехнический университет Петра Великого, 2012. – 203 с. – ISBN 978-5-7422-3854-6.
- Hofmeister, A.M. Theory and Measurement of Heat Transport in Solids: How Rigidity and Spectral Properties Govern Behavior / A.M. Hofmeister // Materials. – 2024. Vol. 17. No.18. – P.4469. doi: 10.3390/ma17184469.
- Патент № 2739719 C1 РФ, МПК G01N 27/12. Способ определения концентрации газа: № 2020126167: заявл. 03.08.2020: опубл. 28.12.2020 / Ю.К. Евдокимов, Л.Ю. Фадеева, Е.С. Денисов; заявитель ФГБОУ ВО «КНИТУ-КАИ». – 11 с. – Бюл №1.
- Broadband mechanoresponsive liquid metal sensors / Md. S. Rahman, Ju. E. Huddy, A. B. Hamlin, W. J. Scheideler // npj Flexible Electronics. – 2022. – Vol. 6, No. 1. – P. 71. – doi: 10.1038/s41528-022-00206-3.
- Евдокимов, Ю.К. Метод и алгоритм радиочастотного зондирования неоднородных электропроводящих структур / Ю.К. Евдокимов, Л.Ю. Фадеева // Вестник ИжГТУ им. М.Т. Калашникова. – 2023. – Т. 26, № 2. – С.94-102. – doi: 10.22213/2413-1172-2023-2-94-102.
- Timmerberg J. The use of skin effect for measurement of thickness of sputtered protective-coatings / J. Timmerberg, A. Martinovs // Transport and aerospace engineering. - 2014.- Vol. 1. - P. 37-42.
- Евдокимов, Ю.К. Импеданс длинной линии с микрорельефной неоднородной поверхностью с учетом скин-эффекта / Ю.К. Евдокимов, Л.Ю. Фадеева // Вестник КГТУ им. А.Н. Туполева. – 2019. – Т. 75, № 3. – С. 169-173.
- Патент № 2787300 C1 РФ, МПК G01K 17/08. Способ определения нестационар-ного теплового потока: № 2022113215: заявл.17.05.2022: опубл.09.01.2023 / Ю.К. Евдоки-мов, Л.Ю. Фадеева, И.Д. Шафигуллин и др.; заявитель КНИТУ-КАИ». – 11 с. – Бюл. № 1.
- Патент № 2787301 C1 РФ, МПК G01K 17/06. Способ определения нестационарного теплового потока: № 2022113216: заявл. 17.05.2022: опубл. 09.01.2023 / Ю.К. Евдокимов, Л.Ю. Фадеева, И.Д. Шафигуллин, Е.С. Денисов; заявитель ФГБОУ ВО «КНИТУ-КАИ». – 16 с. – Бюл. № 1.
- Седалищев, В. Н. Физические основы получения информации. Ч.1. Генераторные и параметрические измерительные преобразователи: учебное пособие / В.Н. Седалищев – Барнаул: Изд-во АлтГТУ. – 2014. – 283 с.
- Кондратьев, Г. М. Прикладная физика. Теплообмен в приборостроении: Серия «Выдающиеся ученые ИТМО». / Г.М. Кондратьев, Г.Н. Дульнев, Е.С. Платунов, Н.А. Ярышев – Санкт-Петербург: СПбГУ ИТМО, 2003. – 560 с.
- Бабенко Ю.И. Метод дробного дифференцирования в прикладных задачах теории тепломассообмена / Ю.И. Бабенко. – Санкт-Петербург: НПО «Профессионал». – 2009. – 584 с.
- Nigmatullin, R.R. On fractional filtering versus conventional filtering in economics / R.R. Nigmatullin, T. Omay, D. Baleanu // Communications in Nonlinear Science and Numerical Simulation. – 2010. – Vol. 15, No. 4. – P. 979-986. – doi: 10.1016/j.cnsns.2009.05.027.
- Реализация операции дробного дифференцирования на языке программирования Python / И.Д. Шафигуллин, Е.С. Денисов, Ю.К. Евдокимов, Л.Ю. Фадеева // Нигматуллинские чтения - 2023: Сборник докладов Международной научной конференции, Казань, 09–12 октября 2023 года. – Казань: Академия наук Республики Татарстан, 2023. – С. 73-78.
- Шафигуллин, И.Д. Оценка времени расчета производной половинного порядка, основанного на алгоритме быстрого преобразования Фурье / И.Д. Шафигуллин // VI Научный форум "Телекоммуникации: теория и технологии" ТТТ-2023 : Материалы XXV Международной научно-технической конференции, Казань, 22–24 ноября 2023 года. – Казань: Казанский национальный исследовательский технический университет им. А.Н. Туполева-КАИ, 2023. – С. 449-450.
- Евдокимов, Ю.К. Частотные характеристики импеданса планарных и сферических электродных систем в электропроводящих средах / Ю.К. Евдокимов, И.Д. Шафигуллин // Приборы и системы. Управление, контроль, диагностика. – 2024. – №10. – С. 13-22. – doi: 10.25791/pribor.10.2024.1527.
- Шафигуллин, И.Д. Метод балансировки измерительного моста переменного тока для разработки устройства измерения нестационарного теплового потока / И.Д. Шафигуллин // Проблемы и перспективы развития энергетики, электротехники и энергоэффективности: материалы VIII Международной научно-технической конференции, Чебоксары, 22 ноября 2024 года. – Чебоксары: Чувашский государственный университет имени И.Н. Ульянова, 2024. – С. 191-196.
- Шафигуллин, И.Д. Система измерения и контроля поверхностной температуры электропроводящих объектов на основе импеданса скин-слоя / И.Д. Шафигуллин // Южно-Сибирский научный вестник. – 2025. – № 2(60). – С. 59-65.
Дополнительные файлы

