Сравнительная оценка эффективности программ адаптивной физкультуры у младших школьников с РАС
- Авторы: Давыдова Е.Ю.1, Мовчан А.А.1, Соловьева М.В.1, Давыдов Д.В.1
-
Учреждения:
- Московский государственный психолого-педагогический университет (ФГБОУ ВО МГППУ)
- Выпуск: № 1 (2025)
- Страницы: 226-244
- Раздел: Эмпирические исследования
- URL: https://ogarev-online.ru/2782-2184/article/view/299301
- DOI: https://doi.org/10.51217/npsyresearch_2025_05_01_10
- ID: 299301
Цитировать
Полный текст
Аннотация
Актуальность и цель. Нарушения моторных функций у детей с РАС влияют на их физическое, когнитивное и коммуникативное развитие, что придает исследованиям в этой области особенную актуальность. Адаптивная физическая культура, в частности программа «Аут Фитнес», направлена на коррекцию двигательных нарушений и развитие моторных навыков у детей с РАС. Целью исследования является сравнение эффективности стандартной и адаптированной программ физической культуры и апробация метода «ФизРас» для оценки двигательной сферы детей с РАС.
Методы. В исследовании приняли участие 60 детей с диагнозом РАС. В группе сравнения дети занимались физкультурой по стандартной программе, а в экспериментальной – по адаптированной программе «Аут Фитнес», учитывающей особенности детей с РАС. Для оценки динамики показателей двигательной активности использовался ранее разработанный метод комплексной диагностики «ФизРас».
Результаты. Программа «Аут Фитнес» продемонстрировала значительные преимущества по сравнению с традиционной физкультурой, особенно в таких параметрах, как длина прыжка, дальность броска, техника выполнения упражнений, самостоятельность и понимание инструкций. Дети, проходившие занятия по адаптированной программе, показали более значительные улучшения не только в двигательных навыках, но и в моторно-бытовых навыках таких, как манипуляция с предметами и локомоция, по сравнению с контрольной группой.
Выводы. Программа «Аут Фитнес» продемонстрировала более высокую эффективность в улучшении моторных и бытовых навыков у детей с РАС по сравнению с традиционными занятиями физкультурой. Метод «ФизРас» показал свою состоятельность для комплексной диагностики и оценки двигательных нарушений у детей с РАС, предлагая возможность учитывать как физические, так и коммуникативные аспекты развития.
Полный текст
Введение
У детей с расстройствами аутистического спектра (РАС) часто наблюдаются нарушения моторных функций, которые оказывают влияние не только на физическое развитие, но и на когнитивные и коммуникативные способности. По этой причине исследования физического развития детей с РАС приобретают все большую актуальность в современной науке.
С учетом особенностей двигательной сферы детей с аутизмом, характеризующейся стереотипными движениями, трудностями в формировании предметных действий и бытовых навыков, а также нарушениями мелкой и крупной моторики (Дудник, 2017; Green et al., 2009), адаптивная физическая культура становится важным инструментом коррекционного воздействия. Она не только способствует улучшению физической формы детей (Clemente et al., 2022) и когнитивных функций (Anzeneder et al., 2023), но и положительно влияет на пластичность мозга (El-Sayes et al., 2019). Дополнительными преимуществами адаптивной физкультуры являются ее доступность, низкая стоимость, простота реализации и ограниченные побочные эффекты (Chen et al., 2021).
Результаты последних исследований показывают, что адаптивная физическая культура способна значительно улучшить поведенческие показатели у детей с РАС, включая снижение стереотипного поведения, развитие социально-эмоциональных функций, когнитивных способностей и улучшение внимания (Bremer et al., 2016). Например, в исследовании Цзе с соавт. (Tse et al., 2018) продемонстрировано, что программа, включающая упражнения с отбиванием мяча, эффективно снижает стереотипное поведение. Аналогично Тоскано с соавт. (Toscano et al., 2022) отметили, что физические упражнения положительно влияют на развитие социальных навыков и уменьшают стереотипные поведенческие проявления.
Кроме того, аэробные упражнения играют важную роль в улучшении концентрации внимания и учебного поведения у детей с аутизмом (Геслак, 2019). Исследования также свидетельствуют о том, что развитие моторных, речевых и социальных навыков напрямую связано с академической успеваемостью детей с РАС. Отдельно стоит отметить, что регулярные аэробные нагрузки способствуют снижению частоты непродуктивного, агрессивного, самоповреждающего поведения (O’Connor et al., 2000).
В целом, многочисленные исследования подтверждают, что участие в спортивных программах оказывает положительное воздействие на детей с аутизмом, улучшая физическое, психологическое и социальное благополучие (Grosprêtre et al., 2024).
Однако, несмотря на большое количество исследований, измерение параметров физической активности у детей с РАС представляет собой достаточно сложную задачу с учетом отсутствия специальных диагностических инструментов или адаптации стандартных. Часто стандартные методы оценки моторики не подходят для детей с особенностями развития, что обусловлено их специфическими потребностями и разнообразием нарушений.
К факторам, снижающим объективность оценки показателей физического развития у детей с РАС, нужно отнести трудности социального взаимодействия, недостаточный уровень понимания ими инструкции, необходимость в помощи и поддержке, а также наличие стереотипного и повторяющегося поведения. Анализ эффективности программ моторного развития свидетельствует о том, что при большом количестве работ качество доказательств остается низким (Ruggeri et al., 2019), что связано с недостаточно четким описанием параметров вмешательств и критериев оценки результатов. В связи с этим возникает необходимость адаптации существующих диагностических методик или разработки новых, специально ориентированных на данную группу детей и учитывающих указанные факторы. Следует отметить, что качество и самостоятельность выполнения упражнений являются не менее важными показателями, чем конкретные параметры выполнения (такие, как длина прыжка, скорость бега или сила броска и т.д.). Было показано, что работа над техникой выполнения физических упражнений является одним из способов повышения самоконтроля, что способствует улучшению коммуникации и снижению уровня тревожности (Riis et al., 2024).
Целью исследования является сравнение результатов стандартных и инновационных подходов к физическим занятиям и апробация ранее разработанного метода оценки двигательной сферы для детей с РАС – “ФизРас”. Этот метод позволяет учитывать уникальные особенности детей с РАС и всесторонне оценивать прогресс в развитии их моторных навыков. Для достижения максимального прогресса важна индивидуальная адаптация упражнений и инструкций, учитывающая специфические особенности детей с РАС, а также акцент на качестве и самостоятельности выполнения упражнений.
Методы
В исследовании участвовало 60 детей с установленным диагнозом РАС в возрасте 7-8 лет. Все дети являлись учащимися Федерального ресурсного центра по организации комплексного сопровождения детей с РАС (ФРЦ МГППУ). Участники исследования прошли психолого-медико-педагогическую комиссию (ПМПК) и обучались по адаптированным образовательным программам в соответствии с ФГОС (Федеральный государственный образовательный стандарт) по вариантам 8.2, 8.3 и 8.4. Основной диагноз РАС у большинства участников сочетался с дополнительными особенностями такими, как задержка психического развития, различные формы интеллектуальной недостаточности, тяжелые множественные нарушения и поведенческие расстройства.
Участники были разделены на две группы. Такое распределение было обусловлено разницей условий педагогического вмешательства. В группе сравнения дети занимались уроками физической культуры по стандартной общеобразовательной программе в рамках ФГОС, 3 раза в неделю по 40 минут. В экспериментальной группе дети занимались по разработанной адаптированной программе «Аут Фитнес» 3 раза в неделю по 40 минут.
Для анализа динамики показателей экспериментальная группа (30 человек) и группа сравнения (30 человек) были разделены на подгруппы в соответствии с программой обучения, рекомендованной ПМПК. Подгруппа 8.2 (А) и подгруппа 8.3–8.4 (Б). Количество учащихся в каждой подгруппе приведено в таблице 1.
Таблица 1. Характеристики участников исследования по подгруппам
Подгруппа | Занятия | Вариант АООП | Количество человек | Возраст M (±SD) |
Группа сравнения А | Стандартная программа | 8.2 | 13 | 7,5 (±0,6) |
Группа сравнения Б | Стандартная программа | 8.3–8.4 | 17 | 7,8 (±0,5) |
Экспериментальная группа А | Адаптированная программа “АутФитнес” | 8.2 | 13 | 7,4 (±0,7) |
Экспериментальная группа Б | Адаптированная программа “АутФитнес” | 8.3–8.4 | 17 | 7,7 (±0,6) |
Методика адаптивной физической культуры для детей с РАС «Аут Фитнес» представляет собой алгоритм разработки индивидуализированных программ физических занятий, направленных на гармоничное развитие моторной и коммуникативной сферы детей с РАС с учетом особых потребностей и результатов комплексной диагностики. Технология оснащена методическими материалами для составления и реализации индивидуальных программ: анкета для родителей, диагностический инструментарий, методические рекомендации для организации и построения тренировочного процесса, комплексы упражнений для коррекции двигательных нарушений и формирования правильной техники выполнения моторных действий. Главным отличием технологии «Аут Фитнес» от существующих программ по физическому воспитанию в рамках ФАОП является индивидуальный подбор и адаптация физических упражнений. Упражнения подбираются исходя из результатов диагностики с учетом уровня понимания задания, технической оснащенности и самостоятельности. Дозировка упражнений и их направленность определяется с учетом психоэмоционального состояния ученика и особенностей поведения на каждом занятии. Программа также включает дополнительный блок развивающих и коррекционных упражнений, направленных на сенсомоторное развитие, освоение основных двигательных навыков, профилактику нарушений развития осанки и стопы, коррекцию моторных дефицитов, развитие игровой деятельности (Соловьева, Давыдов, 2022; Соловьева и др., 2023).
Методы адаптации упражнений и заданий:
Метод дробления целостного упражнения и поэтапное обучение упражнению по элементам, начиная с самого простого.
Использование специальных средств наглядности, помогающих корректировать негативное поведение: визуальное расписание, таймер, жетоны, мотивационные стимулы, шкала поведения.
Метод структурирования и зонирования пространства.
Диагностика «ФизРАС» позволяет определять отстающие навыки крупной моторики и физические качества (координационные и скоростно-силовые способности, выносливость, гибкость, быстроту) и рационально выстраивать коррекционно-развивающую тренировочную программу для ребенка с аутизмом, оценивая количественные и качественные характеристики двигательных тестов, а также проследить динамику развития двигательной сферы ребенка с РАС, определить успешность прохождения тренировочной программы. Тестирование состоит из 15 проб-упражнений, оценивающих скоростно-силовые качества, статическую выносливость, гибкость и координационные способности. Результаты выполнения упражнений оценивались по следующим параметрам:
- Фактическая результативность (измеряется в соответствующих единицах (длина прыжка/броска в см., кол-во раз, время выполнения и т.д.)).
- Техника выполнения (в баллах).
- Самостоятельность (в баллах). По необходимости давать подсказки или осуществлять физическую поддержку.
- Понимание речевой инструкции (в баллах). По необходимости демонстрации примера.
Оценка параметров 2–4 нормировалась относительно максимально возможного количества баллов и составляла максимум 500 баллов по сумме проб. Дополнительно оценивалось качество моторной активности в повседневной жизни при помощи опросника для родителей. Результаты суммировались по трем шкалам: локомоторная активность, манипуляция с предметами и управление рулевыми средствами передвижения Максимальный балл по каждой шкале – 100. Комплексная диагностика по методике “ФизРас” проводилась для всех подгрупп до и после прохождения курса занятий.
Результаты
Для анализа данных был использован непараметрический критерий Манна-Уитни для независимых выборок, выполненный с помощью программы Jamovi (The jamovi project (2022). jamovi. (Version 2.3) [Computer Software]. Retrieved from https://www.jamovi.org. R Core Team (2021). R: A Language and environment for statistical computing. (Version 4.1) [Computer software]. Retrieved from https://cran.r-project.org. (R packages retrieved from MRAN snapshot 2022-01-01).), что позволило провести сравнение результатов между подгруппами.
Индивидуальный анализ динамики измеренных показателей двигательной активности показал, что прогресс по большему числу параметров наблюдается у всех детей, проходивших занятия как обычной физкультурой (контрольная группа), так и занимавшихся дополнительно по программе «Аут Фитнес» (экспериментальные группы). Вместе с тем уровень улучшений был различным и зависел, в том числе, и от исходного уровня физического развития, самостоятельности и коммуникативных навыков, в частности способности понимать инструкцию. Сравнение подгрупп по данным начального тестирования практически не выявило различий между экспериментальной и контрольной группами до начала занятий, но показало значимые различия между подгруппами А (программа 8.2) и Б (программа 8.3–8.4). Для расчетов исходных данных подгруппы были объединены, ввиду отсутствия различий между контрольной и экспериментальной группами до начала занятий.
Сравнение тех же подгрупп по данным итогового тестирования после окончания курса также выявило достоверные различия между подгруппами А и Б как для контрольной, так и для экспериментальной группы. Сравнения проводились отдельно, так как были выявлены достоверные различия между экспериментальной и контрольной группой после курса.
Для сопоставления прогресса по отдельным показателям в изучаемых подгруппах были выбраны такие параметры, как бросок из-за головы и прыжок. Эти параметры отражены на рисунках 1 и 2, соответственно.
Рис. 1. Динамика изменений результатов выполнения упражнения «бросок из-за головы».
Примечание: По оси У – длина броска в см.* достоверные различия между подгруппами по критерию Манна-Уитни до и после курса занятий (**– p < 0,01, ***– p < 0,001), х – достоверные различия между экспериментальной и сравнительной группами.
Различия во всех подгруппах до и после курса достоверны. Итоговые показатели в экспериментальных подгруппах значительно и достоверно выше, чем в контрольных. Наибольший относительный прирост наблюдается в экспериментальной подгруппе Б.
Рис. 2. Динамика изменений результатов выполнения упражнения «прыжок в длину»
Примечание: По оси У – длина прыжка в см. * достоверные различия между подгруппами по критерию Манна-Уитни до и после курса занятий (**– p < 0,01, ***– p < 0,001), х – достоверные различия между экспериментальной и сравнительной группами.
Для показателя «прыжок» наблюдается сходная динамика для всех подгрупп, однако относительный прогресс в экспериментальной группе значительно больше, чем в контрольной.
Полученные данные свидетельствуют о большей эффективности занятий по программе «Аут Фитнес», что, может быть, обусловлено тем, что в программе большое внимание уделяется развитию коммуникативных навыков, в частности пониманию инструкций. Разработанная система оценки показателей физической активности «ФизРас» предполагает также оценку таких параметров, как техника выполнения проб, уровень самостоятельности и понимания инструкций. Анализ показателей по этим параметрам в исследованных группах представлен ниже.
Межгрупповые сравнения полученных показателей также осуществлялись с применением критерия Вилкоксона (для сопоставления данных до и после курса для каждой группы) и Манна Уитни (для сравнения между контрольной и экспериментальной группами).
До начала программы между экспериментальной и контрольной группой не было выявлено статистических различий. Однако показатели подгрупп А были достоверно выше, чем подгрупп Б как в экспериментальной группе, так и в контрольной. Результаты, полученные после завершения программы, показывают достоверное улучшение показателя во всех подгруппах, причем в экспериментальной группе более выраженное, чем в контрольной. Также в экспериментальных подгруппах заметно сократился разрыв между подгруппами А и Б (см. рис. 3).
Рис. 3. Динамика изменений результатов оценки техники выполнения упражнений
Примечание: По оси У – баллы * достоверные различия между подгруппами по критерию Манна-Уитни до и после курса занятий (**– p < 0,01, ***– p < 0,001), х – достоверные различия между экспериментальной и сравнительной группами.
Как и в случае показателя «техника», «самостоятельность выполнения упражнений» достоверно различается у подгрупп А и Б, как для контрольной, так и экспериментальной группы до начала курса, а по окончании курса это характерно только для контрольной группы (см. рис. 4). Уровень самостоятельности в экспериментальных подгруппах достоверно выше, чем в контрольных и сопоставим для подгрупп А и Б. Эти данные свидетельствуют об эффективности программы «Аут Фитнес» в плане развития самостоятельности, особенно заметно это в подгруппе с более низким уровнем функционирования. Улучшение достигается за счет специальных упражнений и системы дозированной помощи в процессе освоения развития навыков на занятиях.
Рис. 4. Динамика изменений результатов оценки самостоятельности выполнения упражнений
Примечание: По оси У – баллы. * достоверные различия между подгруппами по критерию Манна-Уитни до и после курса занятий (**– p < 0,01, ***– p < 0,001), х – достоверные различия между экспериментальной и сравнительной группами.
Качество выполнения заданий в значительной степени зависит от уровня понимания инструкции. Отдельная оценка этого показателя позволила проследить его динамику во всех подгруппах. На рис. 5 представлены суммарные показатели по подгруппам.
Сравнение показателей моторного развития между соответствующими подгруппами экспериментальной и сравнительной групп не выявило различий. Однако в обеих группах наблюдались достоверно более высокие показатели в подгруппах, обучающихся по варианту программы А по сравнению с Б. Это же соотношение сохранилось и после курса при выраженной положительной динамике для всех подгрупп. Но нужно заметить, что прогресс в экспериментальной группе был значительно более выражен, и итоговые показатели оказались достоверно выше, чем в соответствующих сравнительных подгруппах.
Рис. 5. Динамика изменений результатов оценки выполнения речевой инструкции
Примечание: По оси Y – баллы. По оси У – баллы. * достоверные различия между подгруппами по критерию Манна-Уитни до и после курса занятий (**– p < 0,01, ***– p < 0,001), х – достоверные различия между экспериментальной и сравнительной группами.
Учитывая значимость понимания инструкций для эффективности занятий в целом, был проведен корреляционный анализ этого показателя с другими измеренными параметрами, в том числе и с показателями уровня бытовых двигательных навыков, оцененных по опросу родителей также в начале и в конце курса занятий. Корреляционный анализ осуществлялся при помощи критерия Пирсона и подтвердил предположение о положительной связи показателя «понимание инструкций» с большинством измеренных параметров во всех подгруппах. Ниже приведены отдельные примеры полученных результатов.
Диаграммы рассеяния иллюстрируют наличие высокой корреляции между показателями «понимания инструкций» и выполнения упражнения подгруппах как до, так и после курса занятий. Однако в экспериментальной подгруппе после курса наблюдается более значительная дисперсия обоих показателей, чем в контроле, что свидетельствует о наличии прогресса различной степени у большинства детей (см. рис. 6). В контрольной же группе наблюдается динамика меньшего масштаба и только для части детей. Это свидетельствует об эффективности развития коммуникативных навыков в плане понимания инструкции в ходе занятий по программе «Аут Фитнес».
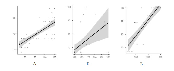
Рис. 6. Связь показателя «выполнение речевых инструкций» и «прыжок» в экспериментальной и сравнительной группах
Примечание: По оси Х «понимание инструкций» в суммарных баллах, по оси У – длина прыжка в см. А – до начала занятий (R = 0,670 при р < ,001) (объединенная группа сравнение + эксперимент); Б – после курса занятий (R = 0,742 при р < ,001) (группа сравнения); В – после курса занятий (R = 0,677 при р < ,001) (эксперимент)
Дополнительным показателем эффективности занятий и устойчивости приобретенных навыков является изменение уровня сформированности бытовых моторных навыков таких, как манипуляция с предметами, успешность управления колесными средствами (велосипед, самокат, ролики) и локомоция. Эти параметры оценивались при помощи опросника для родителей и были сопоставлены с данными, полученными в ходе тестирования детей до и после курса занятий. Ниже представлены результаты корреляционного анализа показателей «манипуляция с предметами» и «понимание инструкции»
Высокие значения корреляций между параметрами понимания инструкций и навыками манипуляции с предметами подтверждают значение понимания инструкции для выполнения не только упражнений, но и бытовых действий. Учитывая, что выполнение манипуляций с предметами не входило в программу обучения, этот результат может свидетельствовать о генерализации полученных навыков. Сравнение диаграмм рассеяния для контрольной и экспериментальной групп (см. рис. 7) свидетельствует о том, что в экспериментальной группе количество детей, чьи навыки манипуляции с предметами улучшились пропорционально пониманию инструкций выше, чем в контрольной. Это подтверждает эффективность программы и целесообразность ее применения в рамках занятий адаптивной физкультурой для младших школьников с РАС с различным уровнем функционирования.
Рис. 7. Связь показателей «понимание инструкций» и «манипуляция с предметами» в экспериментальной и контрольной группах
Примечание. По оси Х «понимание инструкций» в суммарных баллах, по оси У – «понимание инструкций» в баллах. А – до начала занятий (R = 0,720 при р < ,001) (объединенная группа контрольная и экспериментальная); Б – после курса занятий (R = 0,528 при р < ,001) (контрольная группа); В – после курса занятий (R = 0,865 при р < ,001) (экспериментальная группа)
Заключение
Результаты исследования подтверждают высокую эффективность программы «Аут Фитнес» для улучшения двигательной активности и общей физической подготовки у детей с РАС. Программа показала значительные преимущества в сравнении с традиционными занятиями физкультурой, что выражается в большем прогрессе по ключевым параметрам, включая длину прыжка, дальность броска, технику выполнения упражнений, уровень самостоятельности и понимания инструкций.
Особенно важно, что улучшения, достигнутые в экспериментальной группе, выходят за пределы рамок физической активности. У детей, занимавшихся по программе «Аут Фитнес», отмечалось повышение уровня бытовых навыков таких, как манипуляция с предметами, управление колесными средствами и локомоция. Это указывает на генерализацию полученных двигательных умений и их положительное влияние на повседневную жизнь, что является важным показателем для комплексной реабилитации детей с РАС.
Программа продемонстрировала свою эффективность в развитии коммуникативных навыков, включая понимание инструкций, что, в свою очередь, положительно сказывается на качестве выполнения упражнений и формировании новых бытовых навыков. Высокая корреляция между показателями понимания инструкций и выполнением как спортивных, так и бытовых заданий подтверждает значимость работы над этими аспектами в рамках занятий.
Таким образом, программа «Аут Фитнес» может рассматриваться как эффективный инструмент для комплексного развития детей с РАС. Она способствует не только улучшению физической формы, но и развитию коммуникативных и бытовых навыков, что повышает качество жизни и содействует социальной адаптации. Учитывая выявленные преимущества, применение данной программы рекомендуется для работы с детьми с различным уровнем функционирования в рамках адаптивной физкультуры.
Об авторах
Елизавета Ю. Давыдова
Московский государственный психолого-педагогический университет (ФГБОУ ВО МГППУ)
Автор, ответственный за переписку.
Email: davidovaeju@mgppu.ru
ORCID iD: 0000-0002-5192-5535
кандидат биологических наук, ведущий научный сотрудник
Россия, 127051, Москва, ул. Сретенка, д. 29Анна А. Мовчан
Московский государственный психолого-педагогический университет (ФГБОУ ВО МГППУ)
Email: movchanaa@mgppu.ru
ORCID iD: 0009-0000-5112-2735
младший научный сотрудник
Россия, 127051, Москва, ул. Сретенка, д. 29Марина В. Соловьева
Московский государственный психолого-педагогический университет (ФГБОУ ВО МГППУ)
Email: solovevamv@mgppu.ru
ORCID iD: 0000-0003-0896-2477
методист
Россия, 127051, Москва, ул. Сретенка, д. 29Денис В. Давыдов
Московский государственный психолого-педагогический университет (ФГБОУ ВО МГППУ)
Email: davydovdv@mgppu.ru
ORCID iD: 0000-0003-0993-3803
кандидат биологических наук, старший научный сотрудник
Россия, 127051, Москва, ул. Сретенка, д. 29Список литературы
- Геслак, Д. Адаптивная физкультура для детей с аутизмом: Методические основы и базовый комплекс упражнений для увеличения физической активности детей и подростков с РАС. Екатеринбург: Рама Паблишинг, 2019.
- Дудник, О.Е. Влияние занятий по адаптивной физической культуре на психомоторное развитие детей с расстройствами аутистического спектра // Физическая культура, спорт и здоровье в современном обществе: Сборник научных статей Всероссийской с международным участием очно-заочной научно-практической конференции, Воронеж, 09–10 октября 2017 года / Под редакцией Г.В. Бугаева, О.Н. Савинковой. Воронеж: Издательско-полиграфический центр «Научная книга», 2017. С. 428–430.
- Соловьева, М.В., Давыдов, Д.В. Технология организации занятий адаптивной физкультурой для детей с РАС «Аут Фитнес» // Аутизм и нарушения развития. 2022. Т. 20. № 4. С. 17–25. doi: 10.17759/autdd.2022200402
- Соловьева, М.В., Давыдов, Д.В., Мовчан, А.А., Чжан, Дж. Проблема оцен-ки эффективности программ физического развития детей с РАС. Пример реализации программы интенсивных двигательных занятий «Аут Фитнес» // Аутизм и нарушения развития. 2023. Т. 21. № 4. С. 15–25. doi: 10.17759/autdd.2023210402
- Anzeneder, S., Zehnder, C., Martin-Niedecken, A.L. et al. Acute exercise and children’s cognitive functioning: What is the optimal dose of cognitive challenge? // Psychology of Sport and Exercise. 2023. Vol. 66. P. 102404. doi: 10.1016/j.psychsport.2023.102404.
- Bremer, E., Crozier, M., Lloyd, M. A systematic review of the behavioural out-comes following exercise interventions for children and youth with autism spectrum disorder // Autism. 2016. Vol. 20. No. 8. P. 899–915.
- Chen, A.G., Xiong, X., Zhu, L.N. et al. Physical exercise and development of brain and mind in children and adolescents: evidence and theory // China Sport Science. 2021. Vol. 41. No. 11. P. 43–51.
- Clemente, F.M., Moran, J., Ramirez-Campillo, R. et al. Recreational Soccer Training Effects on Pediatric Populations Physical Fitness and Health: A Systematic Review // Children (Basel). 2022. Vol. 9. No. 11. P. 1776. doi: 10.3390/children9111776.
- El-Sayes, J., Harasym, D., Turco, C.V. et al. Exercise-Induced Neuroplasticity: A Mechanistic Model and Prospects for Promoting Plasticity // Neuro-scientist. 2019 Vol. 25. No. 1. P. 65–85. doi: 10.1177/1073858418771538.
- Green, D., Charman, T., Pickles, A. et al. Impairment in movement skills of children with autistic spectrum disorders // Developmental Medicine & Child Neurology. 2009. Vol. 51. No. 4. P. 311–316. doi: 10.1111/j.1469-8749.2008.03242.x.
- Grosprêtre, S., Ruffino, C., Derguy, C. et al. Sport and Autism: What Do We Know so Far? A Review // Sports Medicine – Open. 2024. Vol. 10. No. 1. P. 107. doi: 10.1186/s40798-024-00765-x.
- O’Connor, J., French, R., Henderson, H. Use of physical activity to improve behavior of children with autism: Two-for-one benefits // Palaestra. 2000. Vol. 16. No. 3. P. 22–29.
- Riis., K, Samulski, B., Neely, K.A. et al. Physical Activity for Anxiety for Autis-tic People: A Systematic Review // Journal of Autism and Developmental Disorders. 2024. doi: 10.1007/s10803-024-06356-9.
- Ruggeri, A., Dancel, A., Johnson, R., Sargent, B. The effect of motor and physical activity intervention on motor outcomes of children with autism spectrum disorder: A systematic review // Autism. 2020. Vol. 24. No. 3. P. 544–568. doi: 10.1177/1362361319885215.
- Toscano, C.V.A., Ferreira, J.P., Quinaud, R.T. et al. Exercise improves the so-cial and behavioral skills of children and adolescent with autism spectrum disorders // Frontiers in Psychiatry. 2022. Vol. 13. P. 1027799. doi: 10.3389/fpsyt.2022.1027799
- Tse, C.Y.A., Pang, C.L., Lee, P.H. Choosing an Appropriate Physical Exercise to Reduce Stereotypic Behavior in Children with Autism Spectrum Disor-ders: A Non-randomized Crossover Study. Journal of Autism and Devel-opmental Disorders. 2018. Vol. 48. No. 5. P. 1666–1672. doi: 10.1007/s10803-017-3419-3.
Дополнительные файлы









