Эффективность применения релаксационного сценария в технологии виртуальной реальности в отношении коморбидных симптомов тревоги и астении в условиях соматического стационара: пилотное сравнительное рандомизированное открытое исследование
- Авторы: Лепилкина Т.А.1, Бениашвили А.Г.1, Черемин Р.А.2, Малюкова Н.Г.2, Морозова М.А.1, Богданов М.А.2, Бурминский Д.С.1, Потанин С.С.1, Родкина С.В.2, Рупчев Г.Е.1, Эип М.Н.2
-
Учреждения:
- ФГБНУ «Научный центр психического здоровья»
- ГБУЗ «Центр патологии речи и нейрореабилитации ДЗМ»
- Выпуск: Том 4, № 1 (2023)
- Страницы: 38-51
- Раздел: ИССЛЕДОВАНИЕ
- URL: https://ogarev-online.ru/2712-7672/article/view/126000
- DOI: https://doi.org/10.17816/CP221
- ID: 126000
Цитировать
Аннотация
ВВЕДЕНИЕ: Пациенты соматических стационаров нередко демонстрируют сопутствующие признаки психической дезадаптации — сниженное настроение, тревогу, апатию, астению, которые могут оказывать негативное влияние на течение основного заболевания и процессы восстановления. Одним из нелекарственных подходов, в последние годы все шире внедряемых в медицинскую практику, является использование методик на основе технологии виртуальной реальности.
ЦЕЛЬ: Оценить эффективность нового отечественного приложения виртуальной реальности Flow в отношении симптомов тревоги и астении у пациентов, проходящих стационарное лечение.
МЕТОДЫ: Исследование было открытым, с группой сравнения; определение пациента в экспериментальную либо контрольную группу происходило с использованием рандомизационной таблицы. Состояние пациентов оценивалось при помощи шкалы ситуативной тревожности Спилбергера, шкалы оценки симптома усталости, опросника «Самочувствие, активность, настроение», шкалы депрессии, тревоги, стресса и шкал общего клинического впечатления. До и после каждой сессии виртуальной реальности проводилось измерение физикальных показателей. Полученные данные обрабатывались статистически.
РЕЗУЛЬТАТЫ: В исследовании приняли участие 60 пациентов. У 40 пациентов в программу лечения был включен курс из пяти ежедневных релаксационных сессий в виртуальной реальности; контрольную группу составили 20 пациентов, которые проходили лечение в соответствии с рутинной практикой учреждения. Добавление к стандартному лечению курса сессий в виртуальной реальности создавало значимое преимущество в редукции у пациентов аффективных жалоб как после одного занятия, так и в результате прохождения курса и через несколько дней после его завершения. Пациенты экспериментальной группы также демонстрировали достоверное снижение показателей артериального давления после прохождения сессий, причем наиболее выраженным оно было у лиц с изначально повышенным и высоким давлением.
ЗАКЛЮЧЕНИЕ: Курсовое использование релаксационной программы в технологии виртуальной реальности Flow является эффективным и перспективным методом нелекарственной помощи пациентам соматического стационара в отношении жалоб на тревогу, апатию, снижение настроения, а также симптомов гипертонии.
Полный текст
ВВЕДЕНИЕ
Соматической патологии зачастую сопутствуют признаки стрессовой реакции и дезадаптации в виде снижения настроения и повышенного уровня тревоги. Так, от 18 до 33% пациентов, перенесших инсульт, обнаруживают депрессивные нарушения [1]; симптомы тревоги встречаются у 28% пациентов соматических стационаров, а в 8% случаев достигается удовлетворение критериям того или иного тревожного расстройства [2]. Аффективные симптомы и соматическое неблагополучие оказывают взаимное негативное влияние, которое происходит по психологическим, поведенческим и физиологическим механизмам. Тревога и сниженное настроение могут быть реакцией пациента на болезнь, ограничение привычной активности и круга общения, следствием негативной оценки перспектив восстановления; в свою очередь, соматический недуг может усиливать проявления уже имеющегося психического заболевания [3, 4]. К негативным поведенческим проявлениям относят аддикции, нарушения сна, несоблюдение режима лечения [5]. Физиологические механизмы включают усиление воспалительной реакции и нарушение функции гипоталамо-гипофизарно-надпочечниковой оси [6]. Исследования также указывают на существование связи между тревожными расстройствами и артериальной гипертензией (АГ) [7]. В совокупности эти факторы могут ухудшать течение и прогноз соматического процесса, снижать эффективность лечения, замедлять выздоровление. Таким образом, поиск эффективных средств коррекции негативных психических состояний является важной и самостоятельной задачей курации соматических пациентов.
Использование ресурсов фармакологии для лечения коморбидных симптомов дезадаптации, наряду с доказанной эффективностью, имеет и ряд ограничений, таких как нежелательное увеличение лекарственной нагрузки, зачастую длительный период подбора эффективной дозы, возможные противопоказания и побочные эффекты, для некоторых препаратов — потенциал развития зависимости [8]. Нелекарственные методы коррекции при сопоставимой эффективности в данной ситуации будут иметь преимущество. Другой традиционной и эффективной формой помощи при различных видах дистресса и дезадаптации является психотерапия. Вместе с тем накапливаются данные о положительном влиянии на психическое состояние таких видов активности, как медитация, йога, различные дыхательные практики и практики осознанности (mindfulness) [9, 10]. Обзорные статьи и метааналитические исследования свидетельствуют о том, что медитативные практики способствуют снижению уровня стресса и уменьшению АГ [11–13]. Исследования также показывают, что регулярное использование медитации, релаксации и дыхательных практик способствует многим положительным изменениям как в эмоциональном состоянии практикующих, так и в аспектах соматического здоровья, таких как значимое снижение гормонов стресса [14] и маркеров хронического воспаления [15], нормализация повышенного артериального давления (АД) [16–19].
В попытках обеспечить стандартизацию и воспроизводимость этих видов помощи исследователи и специалисты все чаще обращаются к технологиям на основе виртуальной реальности. Виртуальная реальность (ВР) представляет собой симулированную трехмерную иммерсивную среду, в которой пользователь может действовать по предлагаемым сценариям [20]. В последние годы различные ВР-приложения широко внедряются в медицинскую практику, включая программы как для специалистов (тренинг специфических навыков, имитация лечебных процессов и др.), так и для пациентов (релаксация и стресс-менеджмент, преодоление тревоги, нейрореабилитация и др.) [21–23]. По результатам исследований приложения на основе ВР показывают сопоставимую с фармакологической, а иногда и превосходящую ее эффективность в качестве инструмента помощи при тревожных расстройствах [24], фобиях [25], нарушениях пищевого поведения [26] и других психопатологических состояниях. Эти данные делают обоснованными попытки перевести практики релаксации на высокотехнологичные платформы. Технологии ВР позволяют, с одной стороны, стандартизировать методику, с другой — не исключают возможностей индивидуальной настройки сценария с учетом состояния пациента, подбора оптимальной длительности программы, настройки параметров дыхания, предпочитаемых локаций и других параметров.
В России компанией ООО «Виартех Девелопмент» была разработана программа релаксации Flow, интегрированная в кресло-капсулу, для людей с различными проявлениями стрессовой реакции, тревоги и напряжения.
Основной целью исследования являлась оценка эффективности применения релаксационного сценария в технологии ВР Flow в отношении симптомов тревоги и астении у пациентов, проходящих стационарное лечение. Гипотеза исследования: прохождение курса сессий специально разработанного релаксационного ВР-сценария в дополнение к основной терапии будет способствовать снижению выраженности тревожной и аффективной симптоматики.
МЕТОДЫ
Дизайн исследования
В исследовании был использован открытый дизайн с группой сравнения и простой рандомизацией.
Выборка
Набор участников в исследование проводился в марте — июне 2021 г. среди пациентов обоего пола в возрасте от 18 до 68 лет, проходивших стационарное лечение в ГБУЗ «Центр патологии речи и нейрореабилитации Департамента здравоохранения г. Москвы».
Основными критериями включения в исследование были:
- наличие жалоб на тревогу, сниженное настроение, астению, напряжение, повышенную утомляемость и другие проявления дезадаптации;
- понимание инструкций и процедур исследования, готовность и способность проходить сессии в ВР, заполнять опросники и шкалы.
Критериями исключения были:
- выраженные когнитивные, моторные и/или речевые нарушения, препятствующие пониманию инструкции и прохождению процедур исследования;
- наличие установленного диагноза эпилепсии или история судорожных припадков в анамнезе;
- наличие установленного диагноза психического заболевания (шизофрении, шизоаффективного расстройства, биполярного расстройства, большого депрессивного эпизода и др.);
- тяжелые, декомпенсированные или нестабильные соматические состояния.
Включение в исследование и рандомизация
В информационном листке исследования пациенту сообщалось, что то, в какую группу — экспериментальную или контрольную — он будет распределен, заранее не известно и будет определяться случайным образом. Для всех пациентов группы сравнения была предусмотрена возможность при желании пройти курс ВР после завершения участия в программе.
Определение участника в ту или иную группу происходило следующим образом. После включения нового пациента и подписания им информированного согласия врач-исследователь связывался по телефону с авторами протокола, не имевшими отношения к набору пациентов в исследование и не вступавшими с ними в непосредственный контакт. Для распределения пациентов по группам использовалась рандомизационная таблица, согласно которой каждому порядковому номеру участника был случайным образом присвоен код одной из двух групп: 40 кодов для группы ВР и 20 — для группы сравнения. После получения кода группы для нового участника врачом-исследователем центра эта информация становилась для всех открытой.
Включение пациентов в исследование продолжалось до достижения равного соотношения пациентов мужского и женского пола в каждой из групп; данные пациентов, включенных в конце набора и не соответствующих целевому распределению полов 1 : 1, были удалены из финального анализа. При досрочном завершении участия пациента в исследовании в анализе учитывались данные, собранные к моменту исключения. Доминирующей причиной преждевременного выбывания из программы было завершение госпитализации. Процесс набора участников исследования отображен на рис. 1.
Рисунок 1. План-схема включения пациентов в исследование.
Инструменты
Для оценки состояния пациентов были использованы следующие методики:
- Шкала ситуативной тревожности Спилбергера [27]. Представляет собой опросник для оценки выраженности актуальной тревоги (в отличие от тревожности как свойства личности), состоящий из 20 утверждений, которые необходимо оценить по 4-балльной шкале. В адаптации методики Ю.Л. Ханиным приведены следующие ориентировочные нормативы: 20–34 балла — низкий, 35–44 — средний, выше 46 — высокий уровень тревожности.
- Шкала оценки симптома усталости (Daily Fatigue Impact Scale – D-FIS) [28], состоящая из 8 утверждений, была разработана для оценки текущего состояния и ежедневных изменений симптома усталости, сопутствующего соматическим заболеваниям. Пациенту нужно оценить каждое утверждение по 5-балльной шкале (0–4); более высокой выраженности симптома соответствует бо́льшая итоговая сумма баллов.
- Опросник «Самочувствие, Активность, Настроение» (САН) [29] исследует три обозначенных в названии аспекта актуального психоэмоционального состояния. Испытуемому предлагается соотнести свое текущее самочувствие с оценкой на шкале между парами слов, описывающими полюса одного состояния (например, жизнерадостный — мрачный, напряженный — расслабленный). Результатом являются отдельные оценки по подшкалам самочувствие (САН-С), активность (САН-А) и настроение (САН-Н); среднему (нормальному) уровню каждой соответствует диапазон в 30–50 баллов.
- Шкала депрессии, тревоги, стресса-21 (Depression, Anxiety and Stress Scale — DASS-21) [30] — это опросник, состоящий из 21 утверждения, которые нужно проранжировать по ٤-балльной шкале (٠–٣) для оценки состояний депрессии, тревоги и стресса, переживаемых испытуемым на протяжении последней недели. Шкала не является диагностической; понятия стресса, тревоги и депрессии были использованы разработчиками в качестве континуума для описания субъективного опыта. Итоговой оценкой в данном исследовании является суммарный балл: чем он выше, тем более выражены в состоянии негативные аффективные проявления.
Все перечисленные шкалы являются самоопросниками и заполняются пациентами самостоятельно.
Шкалы общего клинического впечатления в аспектах тяжести состояния и выраженности изменений (Clinical Global Impression Scale-Severity — CGI-S, Clinical Global Impression Scale-Improvement — CGI-I) [31] заполняет врач-исследователь. Это 7-балльные шкалы, в которых врачу предлагается оценить тяжесть состояния пациента в целом (на первом визите) и выраженность динамики в его состоянии (на последующих) по сравнению с другими пациентами со схожим диагнозом на основании своего клинического опыта.
Процедура исследования
Пациенты экспериментальной группы проходили релаксационную ВР-сессию в ежедневном режиме на протяжении пяти дней. До и после каждой сессии проводилось измерение физикальных показателей — пульса и АД. Заполнение пациентом шкал и опросников и оценка состояния пациента исследователем проводились дважды в первый день исследования (до и после ВР-сессии), после прохождения завершающей (пятой, если пациент не выбывал ранее) сессии и через пять дней после окончания курса. Общая продолжительность программы, таким образом, составляла 10 дней (+2–5 дней).
Пациенты контрольной группы проходили те же процедуры, исключая сессии в ВР. В первый день промежуток между первым и повторным измерением составлял около 6 часов.
Сценарий виртуальной реальности и порядок процедур
Всем пациентам врачом-исследователем были даны разъяснения по поводу предстоящих сессий в ВР и их графика. Для прохождения сценария пациент располагался внутри специально оборудованного кресла-кокона, чаша которого может вращаться вокруг своей оси. Непосредственно перед каждой релаксационной сессией администратор капсулы ВР помогал участникам комфортно разместиться в кресле, закрепить оборудование (шлем, пульсометр), обеспечивал сопровождение во время сессии.
ВР-программа представляет собой практику направляемой (ведомой) релаксации, сочетающей методы телесной терапии, гипнотерапии, работы с негативными эмоциональными состояниями и образами. В рамках исследования были использованы две виртуальные локации — тропический пляж и горный пейзаж (рис. 2), которые единообразно чередовались у всех участников исследования. Основными характеристиками, которые были учтены при создании виртуальных локаций, были следующие: пространство для практики должно было создавать ощущение безопасности и комфорта, быть естественным (природным) и в то же время окультуренным, отражать присутствие в нем человека, быть наполненным и при этом лишенным интенсивных и стимулирующих элементов, отвлекающих внимание и мешающих сосредоточению на внутренних процессах. В начале и в конце каждой сессии пользователь оценивал свое текущее состояние при помощи ряда визуально-аналоговых шкал, на которых он размещал бегунок, пользуясь контроллером (джойстиком). Пациент также отмечал наиболее выраженные эмоции, которые мог обнаружить у себя в настоящий момент. В зависимости от оценок и ответов пациента динамически изменялись некоторые этапы практики. Элементы интерактивности сценария также включали возможность регулировать некоторые динамические аспекты прохождения сценария: опцию задержаться на каком-то из этапов (например, для лучшего осознавания происходящих процессов), переходы от одного этапа к следующему.
Рисунок 2. Скриншоты локаций Flow.
Прохождение одной сессии занимало в среднем от 20 до 30 минут в зависимости от характеристик состояния, указанных пациентом в начале сценария, и предпочитаемой скорости навигации внутри него.
Описание и технические характеристики оборудования
Были использованы следующие устройства: кресло- капсула для работы в ВР; предназначенный для компьютера шлем ВР Oculus Rift S, оборудованный встроенной системой отслеживания; компьютер NZXT H1 650W с процессором Intel Core i5-10600kf; трекер сердечного ритма Polar OH1; планшет Samsung Galaxy Tab A7 32GB LTE (SM-T505N); модем Huawei e3372.
Анализ и статистика
Полученные первичные данные анализировались при помощи пакета статистических программ Statistica 6.0, версия для Windows (StatSoft Inc.).
При описании результатов использованы величины средних значений (М) и стандартного отклонения (SD). Для сравнения выраженности психологических изменений в экспериментальной и контрольной группах были изучены дельты — величины изменений психометрических показателей по отношению к данным исходного измерения. Значимость различий между группами на разных этапах исследования оценивалась при помощи критерия Манна–Уитни (p). Для оценки значимости изменений в каждой из групп в ходе исследования был применен критерий суммы рангов Уилкоксона (p). Различия признавались значимыми на уровне р <0,05. Наличие статистической связи между показателями проверялось при помощи коэффициента ранговой корреляции Спирмена (R).
Этика
Проведение исследования было одобрено этическим комитетом ГБУЗ «Центр патологии речи и нейрореабилитации ДЗМ». До начала участия в исследовании все пациенты ознакомились с информационным листком программы и подписали форму информированного согласия.
РЕЗУЛЬТАТЫ
В группе ВР (20 мужчин и 20 женщин) средний возраст пациентов составил 44,8±15,9 года. Средний возраст участников контрольной группы (10 мужчин и 10 женщин) был 39,0±14,7 года. Различия в возрасте между пациентами двух групп были статистически не значимы (р=0,19).
Исследуемую когорту составили пациенты со следующими диагнозами (согласно Международной классификации болезней 10-го пересмотра): заикание (F98.5) — 23 человека (38,3%); другие психические расстройства вследствие повреждения или дисфункции головного мозга либо вследствие физической болезни (F06.х) — 16 человек (26,7%); личностные и поведенческие расстройства вследствие болезни, повреждения и дисфункции головного мозга (F07.х) — 15 человек (25%); последствия коронавирусной инфекции COVID-19 (U07.1) и другой вирусной пневмонии (J12.8) — 3 человека (5%); соматоформная дисфункция вегетативной нервной системы органов дыхания (F45.38) — 2 человека (3,3%); расстройство приспособительных реакций (F43.2) — 1 человек (1.7%).
Все пациенты получали стандартную фармакотерапию в соответствии с установленным диагнозом.
Далее представлены основные результаты исследования: психометрическая характеристика пациентов экспериментальной и контрольной групп при первом обследовании; изменения оцениваемых показателей в результате однократного прохождения ВР-сессии, после курса из пяти сессий и отсроченно, а также сравнение этих данных с результатами контрольной группы; оценка статистической достоверности динамики показателей для каждой из групп. В заключении раздела приведены данные об изменениях физиологических показателей в результате прохождения ВР-релаксации.
Исходные данные
При первом обследовании пациенты обеих групп продемонстрировали средний уровень ситуативной тревожности (шкала Спилбергера), высокий и очень высокий уровень беспокойства по шкале DASS-21 и средние показатели по шкале САН. Пациенты из группы ВР имели более высокий уровень жалоб на ситуативную тревожность, проявления депрессии, стресса (DASS-21), усталости (D-FIS), а также ниже характеризовали свой уровень самочувствия, активности и настроения (шкала САН). Однако достоверные различия были отмечены только по двум показателям опросника САН (более низкие оценки самочувствия (САН-С) и настроения (САН-Н) в группе ВР) (табл. 1).
Таблица 1. Результаты психометрической оценки пациентов при первом измерении (исходный уровень), M±SD
Шкала | Экспериментальная группа (ВР) | Контрольная группа | Значимость различий, p |
Шкала Спилбергера | 42,93±11,43 | 39,45±9,87 | 0,28 |
DASS-21 | 22,05±16,12 | 16,76±11,91 | 0,27 |
D-FIS | 12,05±9,31 | 7,01±4,29 | 0,22 |
CAH-C | 44,30±14,54 | 53,7±10,91 | 0,01** |
CAH-A | 42,50±11,89 | 47,9±10,94 | 0,08 |
CAH-H | 48,28±13,88 | 56,05±11,07 | 0,02** |
Примечание: Звездочкой (*) отмечена статистическая достоверность значимость различий при р <0,05.
Средние значения физиологических показателей при первом измерении в экспериментальной группе составили: систолического АД — 124,87±11,62 мм рт ст., диастолического — 79,37±10,32 мм рт.ст., пульса — 70,87±12,34 единиц.
Динамика показателей шкал в группах в ходе исследования (межгрупповое сравнение)
Однократное прохождение ВР-сессии приводило к значимому улучшению самочувствия и настроения пациентов согласно опросникy САН, а также снижало показатель депрессии, тревоги и стресса согласно шкале DASS-21. После завершающей сессии курса ВР и через пять дней после нее пациенты демонстрировали статистически достоверные положительные изменения по всем изученным психометрическим показателям (табл. 2).
Таблица 2. Значения показателей шкал на визитах и значимость изменений (р) по сравнению с первым измерением в группе ВР, M±SD
Шкала | Первое | После первого | р | После курса | р | Через | р |
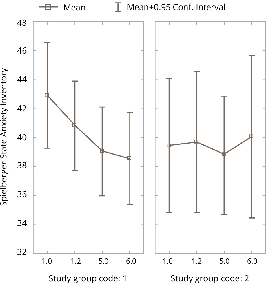
Шкала Спилбергера ↓ | 42,93±11,43 | 40,83±9,6 | 0,94 | 39,05±9,45 | 0,006** | 38,54±8,99 | 0,026** |
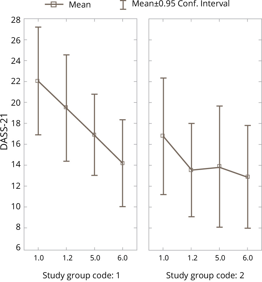
DASS-21 ↓ | 22,05±16,12 | 19,46±15,69 | 0,04** | 16,9±11,9 | 0,01** | 14,18±11,72 | 0,009** |
D-FIS ↓ | 12,05±9,31 | 10,65±8,62 | 0,33 | 8,0±5,27 | 0,003* | 6,94±4,76 | 0,006** |
CAH-C ↑ | 44,30±14,54 | 47,51±14,37 | 0,01** | 50,53±11,4 | 0,007** | 51,67±12,52 | 0,003** |
CAH-A ↑ | 42,50±11,89 | 44,41±12,87 | 0,89 | 47,05±10,1 | 0,03** | 49,67±9,12 | 0,0008** |
CAH-H ↑ | 48,28±13,88 | 50,33±13,58 | 0,04** | 53,03±10,05 | 0,015** | 54,09±10,2 | 0,023** |
Примечание: Звездочкой (*) отмечена статистическая достоверность значимость различий при р <0,05. Стрелки (↓) отображают направление положительной динамики показателя.
В контрольной группе пациенты не обнаружили значимой динамики по изученным показателям по сравнению с исходной оценкой, за исключением балла по шкале DASS-21 к пятому дню исследования. Таблица средних значений показателей шкал группы сравнения и значимость изменений на каждом визите приведена в табл. S1 Приложения.
Динамика изученных показателей в экспериментальной и контрольной группе в ходе исследования графически представлена на рис. 3–6.
Рисунок 3. Динамика показателей шкалы Спилбергера в экспериментальной и контрольной группах. Примечание: код группы в исследовании 1 — экспериментальная группа (ВР), код группы в исследовании 2 — контрольная группа; 1,0 — исходное обследование, 1,2 — оценка после первой сессии ВР, 5,0 — оценка после курса пяти сессий ВР, 6,0 — оценка спустя 5 дней после завершения курса сессий ВР в экспериментальной группе и соответствующие точки в контрольной группе.
Рисунок 4. Динамика показателей шкалы DASS-21 в экспериментальной и контрольной группах.
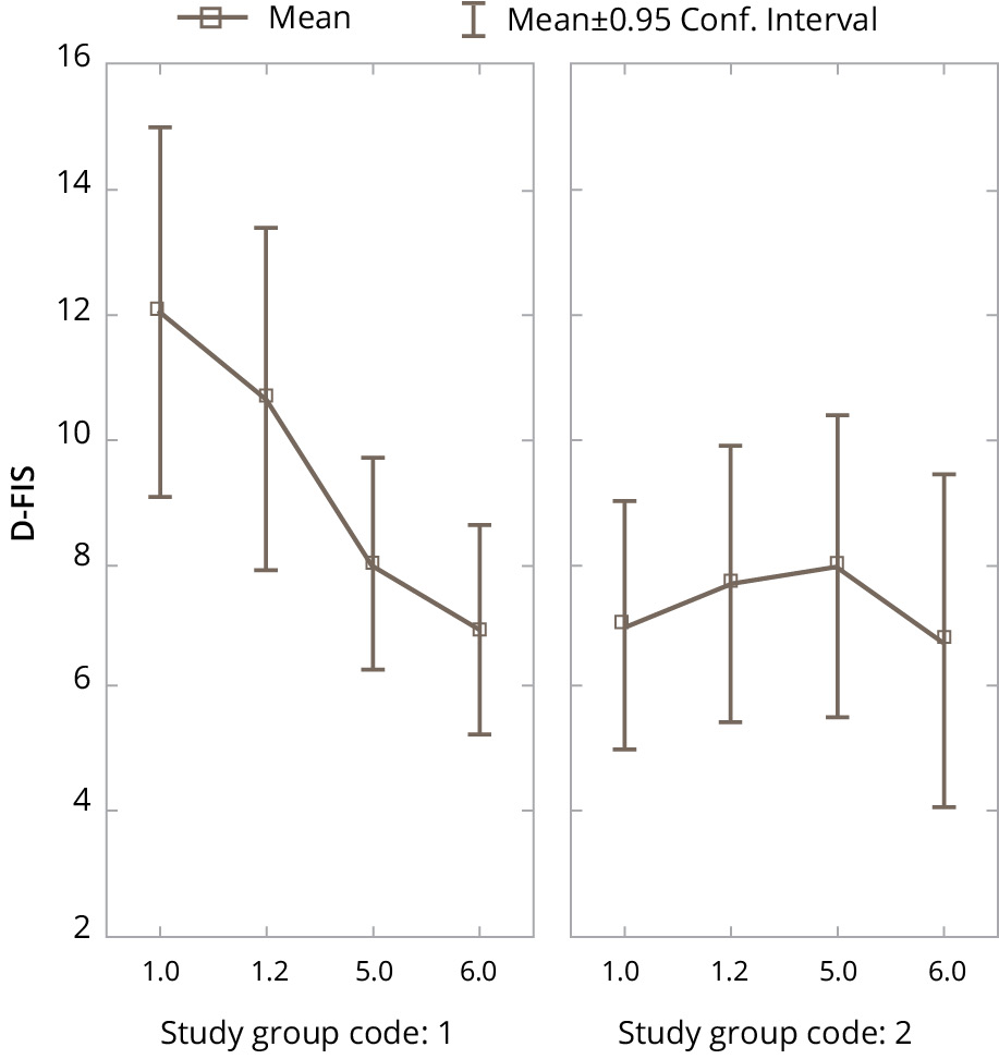
Рисунок 5. Динамика показателей шкалы D-FIS в экспериментальной и контрольной группах.
Рисунок 6. Динамика показателей шкалы САН в экспериментальной и контрольной группах. Примечание: код группы в исследовании 1 — экспериментальная группа (ВР), код группы в исследовании 2 — контрольная группа; 1,0 — исходное обследование, 1,2 — оценка после первой сессии ВР, 5,0 — оценка после курса пяти сессий ВР, 6,0 — оценка спустя 5 дней после завершения курса сессий ВР в экспериментальной группе и соответствующие точки в контрольной группе.
Сравнение выраженности изменений психометрических показателей (внутригрупповая динамика)
Величины изменений психометрических показателей по отношению к данным исходного измерения (дельты) в ходе исследования в экспериментальной и контрольной группах представлены в табл. 3.
Таблица 3. Величины изменений психометрических показателей и значимость различий (p) между ними в экспериментальной и контрольной группах в ходе исследования, M±SD
Шкала | Первый день | Пятый день | Отсрочено | |||
Группа ВР | Контрольная | Группа ВР | Контрольная | Группа ВР | Контрольная | |
Шкала Спилбергера | –2,1±7,36 | 0,1±4,56 | –3,82±7,55 | –0,65±6,73 | –3,67±8,02 | –0,38±6,31 |
р=0,262 | р=0,194 | р=0,14 | ||||
DASS–21 | –2,0±5,36 | –0,06±4,38 | –5,03±10,42 | –2,84±5,67 | –5,58±11,26 | –1,56±6,93 |
р=0,256 | р=0,883 | р=0,466 | ||||
D–FIS | –1,4±4,6 | 1,0±3,78 | –3,9±6,89 | 0,95±3,89 | –3,73±6,68 | 0,006±4,44 |
р=0,167 | р=0,023* | р=0,123 | ||||
CAH–C | 3,26±7,52 | 0,05±6,37 | 5,95±13,05 | 2,3±5,39 | 6,85±13,89 | –1,63±6,21 |
р=0,191 | р=0,173 | р=0,0034* | ||||
CAH–A | 1,92±7,26 | –0,11±5,73 | 4,24±13,06 | 1,9±7,99 | 6,67±9,9 | –0,69±5,9 |
р=0,185 | р=0,279 | р=0,014* | ||||
CAH–H | 1,59±4,6 | 0,39±4,09 | 4,71±11,04 | 1,7±8,44 | 4,88±11,28 | 0,5±6,06 |
р=0,389 | р=0,19 | р=0,207 | ||||
Примечание: Звездочкой (*) отмечена статистическая достоверность значимость различий при р <0,05.
В первый день значимых различий между группами в величине динамики психометрических показателей не было, однако к пятому дню были достигнуты достоверные отличия по показателю шкалы D-FIS (выраженность симптома усталости): более выраженная редукция симптома наблюдалась в группе пациентов, проходивших курс релаксационных сессий в ВР (рис. 7).
Рисунок 7. Величина изменений показателя D-FIS между первым измерением и на пятый день в экспериментальной (1) и контрольной (2) группах. Примечание: Показатель D-FIS — обратная шкала: более высокие значения соответствуют большей выраженности симптома, поэтому величина дельты (разница визит 5 минус визит 1.1) — чем меньше, тем лучше.
На визите последующего наблюдения (через пять дней после завершения курса из пяти сессий в ВР) в экспериментальной группе была показана достоверно более выраженная положительная динамика по показателям опросника САН по параметрам самочувствия и активности (рис. 8).
Рисунок 8. Величина изменений параметров шкалы САН между первым измерением и заключительным измерением в экспериментальной (1) и контрольной (2) группах.
Изменение физикальных показателей в результате сессий виртуальной реальности
Одной из задач исследования было изучение динамики физикальных показателей — АД и пульса в результате прохождения ВР-релаксации. Средние значения величин систолического, диастолического АД и пульса до и после прохождения сессий в ВР представлены в табл. 4 (после первой сессии) и в табл. S2 Приложения (после второй и последующих сессий).
Таблица 4. Показатели артериального давления и пульса до и после первой ВР-сессии (n=40) и значимость изменений (р), M±SD
Этап | Артериальное давление, мм рт.ст. | Пульс, единиц | |
систолическое | диастолическое | ||
До сессии | 124,87±11,62 | 79,37±10,32 | 70,87±12,34 |
После сессии | 120,03±13,05 | 76,68±9,23 | 68,21±9,66 |
р | 0,0008* | 0,016* | 0,0002* |
Примечание: Звездочкой (*) отмечена статистическая достоверность значимость различий при р <0,05.
Можно видеть достоверное в большинстве случаев снижение всех показателей в результате прохождения ВР-программы. При этом было отмечено, что снижение показателей давления было более выраженным у лиц с изначально более высокими значениями АД. Так, в подгруппе из 11 таких пациентов на визите заключительной ВР-сессии (5 человек — нормальное высокое давление согласно классификации АГ Всемирной организации здравоохранения, 4 человека — АГ I степени, 2 человека — АГ II степени) снижение показателей АД было еще более выраженным (табл. 5).
Таблица 5. Показатели артериального давления до и после пятой ВР-сессии и значимость изменений (р) в подгруппе пациентов с повышенным и высоким артериальным давлением (n=11)
Этап | Артериальное давление, мм рт.ст. | |
систолическое | диастолическое | |
До сессии | 140,55±9,35 | 86,64±6,47 |
После сессии | 124,63±11,96 | 80,27±12,23 |
р | 0,003* | 0,02* |
Примечание: Звездочкой (*) отмечена статистическая достоверность значимость различий при р <0,05.
Также было обнаружено, что для пациентов с показателем систолического давления от 130 и выше до первой сессии в ВР, чем более выраженным было снижение давления после сессии ВР (на первом визите), тем более явной была динамика по шкале тревоги Спилбергера, т. е. пациенты с высоким давлением одновременно демонстрировали снижение и АД, и тревоги (R=0,52).
ОБСУЖДЕНИЕ
Основные результаты
Проведенное исследование предоставляет эмпирическое подтверждение эффективности применения релаксационного сценария в ВР для пациентов с жалобами на тревогу и сниженное настроение в условиях стационара. При сравнении психометрических показателей пациентов, проходивших курс сессий в ВР, с данными пациентов из контрольной группы было показано отчетливое преимущество в положительной динамике в первой группе. Можно увидеть достоверный накапливающийся и сохраняющийся после завершения курса положительный результат в изменении показателей тревоги, усталости, сниженного настроения, различных аспектов самочувствия в группе ВР, тогда как пациенты контрольной группы не обнаруживали значимой динамики по этим показателям на протяжении всего периода исследования. Положительные психологические эффекты прохождения ВР-сессий также находили отражение в изменении физиологических показателей — АД и пульса. Интересно, что чем более выраженными были нарушения в начале исследования, тем более значительной была положительная динамика состояния пациентов в аспекте как их психического статуса, так и вегетативных нарушений.
Сильные стороны и ограничения исследования
Настоящее исследование было первым изучением эффективности релаксационного ВР-сценария Flow на клинической выборке. К положительным сторонам исследования также можно отнести значительное количество участников программы, достаточный для пилотной проверки выдвинутой гипотезы психометрический инструментарий, наличие группы сравнения. Дизайн исследования позволил изучить эффекты не только однократного прохождения ВР-программы, но и курсового ее применения, а также устойчивости достигнутых положительных изменений у пациентов. Ограничениями исследования выступают клиническая гетерогенность изучаемой когорты пациентов, отсутствие учета влияния диагноза и вклада получаемой участниками фармакотерапии в наблюдаемые изменения.
Сравнение полученных результатов с данными других исследований
Большой обзор исследований ВР [32], опубликованных в период с 2000 по 2020 г. и индексируемых в основных электронных базах данных (всего анализируется 28 работ), подтверждает эффективность использования различных программ, основанных на технологии ВР для лечения многих негативных психических состояний, в том числе посттравматического стрессового расстройства, специфических фобий и социальной тревожности.
Ряд систематических обзоров освещает применение методологии ВР в условиях стационара. Так, было показано, что ВР-инструменты являются эффективным средством в облегчении боли и снижении предоперационной тревожности у взрослых пациентов [33], а также в группе пациентов подросткового возраста [34].
Следует отметить, что значительная часть метааналитических исследований с применением ВР-технологий не проводит различия по содержанию программного обеспечения, учитывая в результатах как виртуальные игры и 3D-путешествия, так и разработанные специально для определенных терапевтических задач программы, хотя естественно ожидать, что эффективность последних будет выше. В этом смысле прямое соотнесение результатов различных исследований может быть до некоторой степени некорректным с методологической точки зрения.
К положительным сторонам ВР-технологии также обычно относят ее хорошую переносимость пациентами, высокий уровень вовлеченности участников, возможность снижения лекарственной нагрузки [35, 36]. Ограничивают широкое внедрение технологии на данном этапе достаточно высокая стоимость оборудования и, в большей степени, дефицит апробированных инструментов для решения конкретных терапевтических задач и высокие затраты на их разработку.
В целом можно говорить о том, что результаты настоящего исследования согласуются с результатами других работ, в которых также было показано, что использование инструментов на основе технологии ВР эффективно для различных проявлений тревоги и психологического дистресса.
Полученные положительные результаты пилотного исследования Flow позволяют с оптимизмом смотреть на перспективы ВР-платформы как в клинической, так и в амбулаторной практике. Интересными представляются будущие исследования на других выборках (в том числе клинических), а также развитие новых сценариев внутри платформы.
ЗАКЛЮЧЕНИЕ
Результаты проведенного исследования свидетельствуют о том, что использование релаксационного сценария ВР Flow является эффективным и перспективным инструментом для снижения тревожных и аффективных жалоб у пациентов соматического стационара и может быть рекомендовано для включения в программу помощи в медицинских учреждениях.
Благодарности: Авторы выражают благодарность сотрудникам ООО «Виартех Девелопмент»: руководителю проекта Flow А.И. Коновалову — за координацию процесса исследования; П.А. Дорофееву, А.В. Мельник, В.О. Коняхину — за администрирование процесса использования ВР-капсулы в ходе исследования; Т.В. Кочневой, лаборанту-исследователю лаборатории психофармакологии ФГБНУ НЦПЗ, — за участие в формировании электронной базы данных; врачам и сотрудникам ГБУЗ «Центр патологии речи и нейрореабилитации ДЗМ» — за помощь и обратную связь об использовании ВР-капсулы в лечебном процессе.
Вклад авторов: Таисия Лепилкина — разработка дизайна и протокола исследования, формирование и статистический анализ базы данных, написание текста рукописи; Аллан Бениашвили, Роман Черемин — постановка задач и разработка дизайна исследования, обсуждение результатов и формирование выводов, редактирование текста рукописи; Наталья Малюкова — отбор и включение пациентов исследование, формирование исследуемых групп, психометрическое обследование пациентов, координация процесса исследования; Маргарита Морозова — разработка дизайна исследования, анализ полученных данных и редактирование текста рукописи; Михаил Богданов, Светалана Родкина, Маргарита Эип — отбор, включение и психометрическое обследование пациентов; Деним Бурминский, Сергей Потанин, Георгий Рупчев — анализ полученных данных и редактирование текста рукописи. Все авторы внесли существенный вклад в проведение исследования и подготовку статьи, прочли и одобрили финальную версию до публикации.
Финансирование: Исследование проведено без спонсорской поддержки.
Конфликт интересов: Авторы заявляют об отсутствии конфликта интересов.
Дополнительная информация
Дополнительные материалы по данной статье доступны по doi: 10.17816/CP221
Об авторах
Таисия Алексеевна Лепилкина
ФГБНУ «Научный центр психического здоровья»
Автор, ответственный за переписку.
Email: lepilkina@hotmail.com
ORCID iD: 0000-0002-2640-4658
SPIN-код: 7623-4288
Scopus Author ID: 35773329800
ResearcherId: J-1852-2017
кандидат психологических наук, научный сотрудник лаборатории психофармакологии
Россия, МоскваАллан Герович Бениашвили
ФГБНУ «Научный центр психического здоровья»
Email: beniashvilia@yandex.ru
ORCID iD: 0000-0002-5149-3760
SPIN-код: 2223-0991
Scopus Author ID: 56337096600
ResearcherId: J-4649-2017
кандидат медицинских наук, старший научный сотрудник лаборатории психофармакологии
Россия, МоскваРоман Авенирович Черемин
ГБУЗ «Центр патологии речи и нейрореабилитации ДЗМ»
Email: drcher@yandex.ru
ORCID iD: 0000-0001-6018-6327
SPIN-код: 6480-9096
кандидат медицинских наук, главный врач
Россия, МоскваНаталья Георгиевна Малюкова
ГБУЗ «Центр патологии речи и нейрореабилитации ДЗМ»
Email: maliukova@rambler.ru
ORCID iD: 0000-0003-1142-0804
SPIN-код: 7578-9524
кандидат психологических наук, заведующая отделом медицинской психологии
Россия, МоскваМаргарита Алексеевна Морозова
ФГБНУ «Научный центр психического здоровья»
Email: margmorozova@gmail.com
ORCID iD: 0000-0002-7847-2716
SPIN-код: 6162-5816
Scopus Author ID: 7006920838
ResearcherId: D-9098-2015
профессор, доктор медицинских наук, заведующая лабораторией психофармакологии
Россия, МоскваМихаил Александрович Богданов
ГБУЗ «Центр патологии речи и нейрореабилитации ДЗМ»
Email: mb0gdanov@yandex.ru
ORCID iD: 0000-0002-5033-7221
медицинский психолог
Россия, МоскваДенис Сергеевич Бурминский
ФГБНУ «Научный центр психического здоровья»
Email: desbur@gmail.com
ORCID iD: 0000-0001-7098-2570
SPIN-код: 4895-9352
ResearcherId: S-1759-2016
кандидат медицинских наук, научный сотрудник лаборатории психофармакологии
Россия, МоскваСергей Сергеевич Потанин
ФГБНУ «Научный центр психического здоровья»
Email: potanin_ss@mail.ru
ORCID iD: 0000-0002-9180-1940
SPIN-код: 3817-9217
Scopus Author ID: 56010445300
ResearcherId: L-1455-2016
кандидат медицинских наук, старший научный сотрудник лаборатории психофармакологии
Россия, МоскваСветлана Владимировна Родкина
ГБУЗ «Центр патологии речи и нейрореабилитации ДЗМ»
Email: rodkina-svetlana@mail.ru
ORCID iD: 0000-0002-0478-1380
медицинский психолог
Россия, МоскваГеоргий Евгеньевич Рупчев
ФГБНУ «Научный центр психического здоровья»
Email: rupchevgeorg@mail.ru
ORCID iD: 0000-0002-4440-095X
SPIN-код: 8523-1306
Scopus Author ID: 30267946900
ResearcherId: B-4229-2015
кандидат психологических наук, научный сотрудник лаборатории психофармакологии
Россия, МоскваМаргарита Николаевна Эип
ГБУЗ «Центр патологии речи и нейрореабилитации ДЗМ»
Email: mrita2010@efndex.ru
ORCID iD: 0000-0001-8666-5019
SPIN-код: 6629-1774
медицинский психолог
Россия, МоскваСписок литературы
- Medeiros GC, Roy D, Kontos N, Beach SR. Post-stroke depression: a 2020 updated review. Gen Hosp Psychiatry. 2020;66:70-80. doi: 10.1016/j.genhosppsych.2020.06.011.
- Walker J, van Niekerk M, Hobbs H, et al. The prevalence of anxiety in general hospital inpatients: a systematic review and meta-analysis. Gen Hosp Psychiatry. 2021;72:131-40. doi: 10.1016/j.genhosppsych.2021.08.004.
- Janeczek P. Coexistence of mental and somatic diseases and difficulties in diagnosis and working with mentally ill people. J Educ Health Sport. 2022;12(7):649-59. doi: 10.12775/JEHS.2022.12.07.065.
- Sikter A. Hypocapnia and mental stress can trigger vicious circles in critically ill patients due to energy imbalance: a hypothesis presented through cardiogenic pulmonary oedema. Neuropsychopharmacol Hung. 2018;20(2):65-74.
- DiMatteo MR, Lepper HS, Croghan TW. Depression is a risk factor for noncompliance with medical treatment: meta-analysis of the effects of anxiety and depression on patient adherence. Arch Intern Med. 2000;160(14):2101-7. doi: 10.1001/archinte.160.14.2101.
- Sobel RM, Markov D. The impact of anxiety and mood disorders on physical disease: the worried not-so-well. Curr Psychiatry Rep. 2005;7(3):206-12. doi: 10.1007/s11920-005-0055-y.
- Johnson HM. Anxiety and hypertension: is there a link? A literature review of the comorbidity relationship between anxiety and hypertension. Curr Hypertens Rep. 2019;21(9):66. doi: 10.1007/s11906-019-0972-5.
- Michelini S, Cassano GB, Frare F, Perugi G. Long-term use of benzodiazepines: tolerance, dependence and clinical problems in anxiety and mood disorders. Pharmacopsychiatry. 1996;29(4):127-34. doi: 10.1055/s-2007-979558.
- Jain S, Shapiro SL, Swanick S, et al. A randomized controlled trial of mindfulness meditation versus relaxation training: effects on distress, positive states of mind, rumination, and distraction. Ann Behav Med. 2007;33(1):11-21. doi: 10.1207/s15324796abm3301_2.
- Barrett CJ. Mindfulness and rehabilitation: teaching yoga and meditation to young men in an alternative to incarceration program. Int J Offender Ther Comp Criminol. 2017;61(15):1719-38. doi: 10.1177/0306624X16633667.
- Amarasekera AT, Chang D. Buddhist meditation for vascular function: a narrative review. Integr Med Res. 2019;8(4):252-6. doi: 10.1016/j.imr.2019.11.002.
- Anderson JW, Liu C, Kryscio RJ. Blood pressure response to transcendental meditation: a meta-analysis. Am J Hypertens. 2008;21(3):310-6. doi: 10.1038/ajh.2007.65.
- Geiger C, Cramer H, Dobos G, Kohl-Heckl WK. A systematic review and meta-analysis of mindfulness-based stress reduction for arterial hypertension. J Hum Hypertens. 2022. doi: 10.1038/s41371-022-00764-z.
- Prakhinkit S, Suppapitiporn S, Tanaka H, Suksom D. Effects of Buddhism walking meditation on depression, functional fitness, and endothelium-dependent vasodilation in depressed elderly. J Altern Complement Med. 2014;20(5):411-6. doi: 10.1089/acm.2013.0205.
- Pascoe MC, Thompson DR, Jenkins ZM, Ski CF. Mindfulness mediates the physiological markers of stress: systematic review and meta-analysis. J Psychiatr Res. 2017;95:156-78. doi: 10.1016/j.jpsychires.2017.08.004.
- Ponte Márquez PH, Feliu-Soler A, Solé-Villa MJ, et al. Benefits of mindfulness meditation in reducing blood pressure and stress in patients with arterial hypertension. J Hum Hypertens. 2019;33(3):237-47. doi: 10.1038/s41371-018-0130-6.
- Shi L, Zhang D, Wang L, et al. Meditation and blood pressure: a meta-analysis of randomized clinical trials. J Hypertens. 2017;35(4):696-706. doi: 10.1097/HJH.0000000000001217.
- Barnes VA, Pendergrast RA, Harshfield GA, Treiber FA. Impact of breathing awareness meditation on ambulatory blood pressure and sodium handling in prehypertensive African American adolescents. Ethn Dis. 2008;18(1):1-5.
- Adams ZW, Sieverdes JC, Brunner-Jackson B, et al. Meditation smartphone application effects on prehypertensive adults’ blood pressure: dose-response feasibility trial. Health Psychol. 2018;37(9):850-60. doi: 10.1037/hea0000584.
- Liaw SY, Choo T, Wu LT, et al. “Wow, woo, win” — healthcare students’ and facilitators’ experiences of interprofessional simulation in three-dimensional virtual world: a qualitative evaluation study. Nurse Educ Today. 2021;105:105018. doi: 10.1016/j.nedt.2021.105018.
- Zhang M, Ding H, Naumceska M, Zhang Y. Virtual reality technology as an educational and intervention tool for children with autism spectrum disorder: current perspectives and future directions. Behav Sci (Basel). 2022;12(5):138. doi: 10.3390/bs12050138.
- Taneja A, Vishal SB, Mahesh V, Geethanjali B. Virtual reality based neuro-rehabilitation for mental stress reduction. In: 2017 fourth international conference on signal processing, communication and networking (ICSCN); 2017 March 16-18; Chennai, India. IEEE; 2017. p. 1-5. doi: 10.1109/ICSCN.2017.8085665.
- Georgiev DD, Georgieva I, Gong Z, et al. Virtual reality for neurorehabilitation and cognitive enhancement. Brain Sci. 2021;11(2):221. doi: 10.3390/brainsci11020221.
- Carl E, Stein AT, Levihn-Coon A, et al. Virtual reality exposure therapy for anxiety and related disorders: a meta-analysis of randomized controlled trials. J Anxiety Disord. 2019;61:27-36. doi: 10.1016/j.janxdis.2018.08.003.
- Wechsler TF, Kümpers F, Mühlberger A. Inferiority or even superiority of virtual reality exposure therapy in phobias? — A systematic review and quantitative meta-analysis on randomized controlled trials specifically comparing the efficacy of virtual reality exposure to gold standard in vivo exposure in agoraphobia, specific phobia, and social phobia. Front Psychol. 2019;10:1758. doi: 10.3389/fpsyg.2019.01758.
- Clus D, Larsen ME, Lemey C, Berrouiguet S. The use of virtual reality in patients with eating disorders: systematic review. J Med Internet Res. 2018;20(4):e157. doi: 10.2196/jmir.7898.
- Khanin YuL. Kratkoe rukovodstvo k shkale reaktivnoi i lichnostnoi trevozhnosti Ch.D. Spilbergera. Leningrad: LNIIFK; 1976. 40 p. Russian.
- Fisk JD, Doble SE. Construction and validation of a fatigue impact scale for daily administration (D-FIS). Qual Life Res. 2002;11(3):263-72. doi: 10.1023/a:1015295106602.
- Burlachuk LF, Morozov SM. Slovar’-spravochnik po psikhodiagnostike. 2nd ed. Saint Petersburg: Piter; 2003. 528 p. Russian.
- Lovibond SH, Lovibond PF. Manual for the depression anxiety stress scales. 2nd ed. Sydney: Psychology Foundation of Australia; 1995. 42 p.
- Guy W. ECDEU assessment manual for psychopharmacology. Rockville: US department of health and human services, public health service, alcohol drug abuse and mental health administration, NIMH, psychopharmacology research branch; 1976. 028 Clinical global impressions (CGI); p. 218-22.
- Donnelly MR, Reinberg R, Ito KL, et al. Virtual reality for the treatment of anxiety disorders: a scoping review. Am J Occup Ther. 2021;75(6):7506205040. doi: 10.5014/ajot.2021.046169.
- Smith V, Warty RR, Sursas JA, et al. The effectiveness of virtual reality in managing acute pain and anxiety for medical inpatients: systematic review. J Med Internet Res. 2020;22(11):e17980. doi: 10.2196/17980.
- Ridout B, Kelson J, Campbell A, Steinbeck K. Effectiveness of virtual reality interventions for adolescent patients in hospital settings: systematic review. J Med Internet Res. 2021;23(6):e24967. doi: 10.2196/24967.
- Saposnik G, Cohen LG, Mamdani M, et al.; Stroke outcomes research Canada. efficacy and safety of non-immersive virtual reality exercising in stroke rehabilitation (EVREST): a randomised, multicentre, single-blind, controlled trial. Lancet Neurol. 2016;15(10):1019-27. doi: 10.1016/S1474-4422(16)30121-1.
- Sarkar U, Lee JE, Nguyen KH, et al. Barriers and facilitators to the implementation of virtual reality as a pain management modality in academic, community, and safety-net settings: qualitative analysis. J Med Internet Res. 2021;23(9):e26623. doi: 10.2196/26623.
Дополнительные файлы









