Специальные подходы для синтеза и использования… пептидных фрагментов и их аналогов при конструировании лекарственных средств. Обзор
- Авторы: Шевченко В.П.1, Вьюнова Т.В.1, Андреева Л.А.1, Нагаев И.Ю.1, Шевченко К.В.1, Мясоедов Н.Ф.1
-
Учреждения:
- Национальный исследовательский центр “Курчатовский институт” (НИЦ “Курчатовский институт”)
- Выпуск: Том 518, № 1 (2024)
- Страницы: 3-22
- Раздел: ХИМИЯ
- URL: https://ogarev-online.ru/2686-9535/article/view/281379
- DOI: https://doi.org/10.31857/S2686953524050014
- EDN: https://elibrary.ru/JHESGU
- ID: 281379
Цитировать
Полный текст
Аннотация
Описан ряд современных методов получения гибридных соединений с использованием пептидных фрагментов. Биологически активные соединения модифицировали с использованием органических кислот, пролиновых (Pro-Gly-Pro) и фосфинатных фрагментов. Показаны методы синтеза гибридных соединений, которые можно применить для получения меченных изотопами водорода органических соединений. Описаны исследования цитотоксичности, специфического связывания синтезированных соединений с рецепторными системами и другие характеристики данных соединений.
Ключевые слова
Полный текст
Оглавление
I. ВВЕДЕНИЕ 4
II. ПОИСК ПЕРСПЕКТИВНЫХ ГИБРИДНЫХ СОЕДИНЕНИЙ 4
II.1. Модифицированные фармакофоры – фрагменты АКТГ 4
II.2. Пептидные производные доксорубицина и биогенных аминов 5
II.3. Ацильные производные биологически активных соединений 5
II.4. Фосфинатные аналоги эндогенных пептидов 6
III. ОБЩИЕ МЕТОДЫ ПОЛУЧЕНИЯ ОБЪЕКТОВ ИССЛЕДОВАНИЯ 7
III.1. Основные подходы для синтеза пептидов и пептидных производных 7
III.2. Получение флуоресцентномеченных органических соединений 7
III.3. Синтез фосфинатных аналогов пептидов 9
IV. ВВЕДЕНИЕ ТРИТИЯ В СИНТЕЗИРОВАННЫЕ СОЕДИНЕНИЯ 9
IV.1. Жидкофазный метод 10
IV.2. Твердофазный метод 10
V. ИССЛЕДОВАНИЕ ЦИТОТОКСИЧНОСТИ ГИБРИДНЫХ ПРЕПАРАТОВ 11
V.1. Сравнение влияния дофамина и серотонина и их пептидных производных на жизнедеятельность клеток 11
V.2. Оценка цитотоксичности пептидных производных доксорубицина 11
VI. ИССЛЕДОВАНИЯ УСТОЙЧИВОСТИ СОЗДАННЫХ СТРУКТУР 11
VI.1. Исследование устойчивости пептидов в экспериментах in vitro 11
VI.2. Исследование устойчивости производных биогенных аминов в экспериментах in vitro 12
VI.3. Исследование устойчивости фосфинатного аналога PGP 13
VI.4. Исследование устойчивости пептидов в экспериментах in vivo 13
VI.5. Фармакокинетические параметры АКТГ(6-9)PGP и Pro-Gly-Pro-Leu 14
VII. СПЕЦИФИЧЕСКОЕ СВЯЗЫВАНИЕ СИНТЕЗИРОВАННЫХ ПЕПТИДОВ, ВЗАИМОДЕЙСТВИЕ С РЕЦЕПТОРНЫМИ СИСТЕМАМИ 15
VII. ЗАКЛЮЧЕНИЕ 16
СПИСОК ЛИТЕРАТУРЫ 17
Сокращения
Ad – адамантан
AUC – площадь под кривой
Bzl – бензильная группа
DCC – N,N′-дициклогексилкарбодиимид
Dox – доксорубицин
КФ номер – классификационный номер фермента
FDA – Управление по контролю качества пищевых продуктов и лекарственных средств, или Управление по санитарному надзору за качеством пищевых продуктов и медикаментов, США
GBR12909 – ваноксерин
LА–ОН – лауриновая кислота
PEP – пролиновая эндопептидаза
PGP – Pro-Gly-Pro
RХ – R – аргинин, Х – количество одинаковых аминокислотных остатков
Z – бензилоксикарбонильная группа
АКТГ – адренокортикотропный гормон
АКТГ(6-9)PGP – His-Phe-Arg-Trp-Pro-Gly-Pro
АПФ – ангиотензинпревращающий фермент
Вос – трет-бутилоксикарбонильная группа
ВЭЖХ – высокоэффективная жидкостная хроматография
ГЭБ – гематоэнцефалический барьер
ММР – матриксные металлопротеиназы
МР – молярная радиоактивность
МФМК – микросомальная фракция мозга крысы
нАХР – никотиновый ацетилхолиновый рецептор
Селанк – Thr-Lys-Pro-Arg-Pro-Gly-Pro
Семакс – Met-Glu-His-Phe-Pro-Gly-Pro
Тафцин – Thr-Lys-Pro-Arg
Хс-ЛПНП – холестерин липопротеинов низкой плотности
ЦНС – центральная нервная система
I. Введение
Современное развитие науки о живом включает использование фрагментов белков, синтетических пептидов и их различных аналогов. Например, активность α-конотоксинов зависит от природы аминокислотных остатков [1]. Если этими пептидными фрагментами являлись поли- или олигоаргинины (R6–R18), то подобные пептиды ингибируют различные рецепторы (нАХР), повышают селективность (например, R8) и влияют на сродство (например, R16) к различным подтипам нАХР.
Свойства аминокислотных остатков можно использовать в самых различных ситуациях: и для транспортировки лекарственных соединений в живые клетки, и для повышения устойчивости, например, дофаминергических нейронов, которые интенсивно погибают при болезни Паркинсона [2].
Пептидные соединения способны регулировать функционирование ионных каналов в нейронах, что очень важно для нормальной деятельности центральной и периферической нервной системы. В результате могут быть купированы патологии, связанные с болевыми и воспалительными процессами. Нейропептиды (например, ноцистатин) могут быть использованы в процессах, связанных с обучением, памятью и, следовательно, с регулированием высшей нервной деятельности [3].
Проблему транспортировки противораковых лекарств можно решить, создав условия, при которых биологически активное соединение начинает взаимодействовать с чужеродными клетками в момент своего высвобождения [4–7]. То есть, либо в этих клетках происходит разрушение липосом, в которые заключено действующее вещество, либо в чужеродных клетках эффективно функционирует фермент, который разрушает связи действующего вещества с пептидным фрагментом.
Широкое разнообразие природных и искусственных пептидных фрагментов делает необходимым четкое определение конкретных объектов и методов их тестирования.
II. Поиск перспективных гибридных соединений
Природные аминокислоты и пептиды на их основе, как правило, не цитотоксичны. Они позволяют использовать более высокие дозы лекарственного средства по сравнению со средствами, состоящими из неприродных фрагментов, при лечении патологий. Поэтому работа над созданием лекарственных средств на их основе является актуальной задачей. В этом обзоре не ставится задача перечисления всех достижений в каждом из рассматриваемых направлений исследований, а дается некая перспектива использования этих достижений.
Для того, чтобы избежать многолетних трудоемких исследований в поиске новых лекарственных препаратов, часто исходят из природного объекта, обладающего активностью, интересующей медиков. Сначала вычленяют пептидную последовательность, которая определяет искомую биологическую активность (фармакофор). Затем для повышения стабильности этого пептида его модифицируют пролинсодержащими фрагментами. Например, семакс был получен из Met-Glu-His-Phe (фармакофор) и Pro-Gly-Pro.
II.1. Модифицированные фармакофоры – фрагменты АКТГ
Фрагменты АКТГ стабилизировали Pro-Gly-Pro (PGP) [8]. Наиболее перспективным в плане ноотропной и анксиолитической активности среди различных фрагментов адренокортикотропного гормона оказался АКТГ(6-9)PGP. Созданное направление повышения устойчивости пептидов позволило изготовить ряд лекарственных средств [9–13]. Среди них получены широко известный в медицинской практике семакс и аналог тафцина – селанк [10–17].
II.2. Пептидные производные доксорубицина и биогенных аминов
Для деградации чужеродных клеток используют доксорубицин (Dox). Сложность введения Dox пациентам заключается в высокой цитотоксичности этого вещества [18–20]. Поиск производных Dox с меньшей цитотоксичностью привел к синтезу пептидных производных доксорубицина типа Boc-Gly-Pro-Dox (рис. 1).
Рис. 1. Структура Boc-Gly-Pro-Dox.
Для большей устойчивости к действию ферментов амин глицинового фрагмента (рис. 1) модифицировали, используя кроме Вос-защиты и Z-защиту.
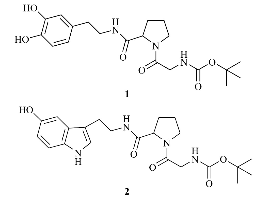
Использованием защищенных по аминогруппе пептидов повышали устойчивость и других биологически активных соединений (Boc-Gly-Pro-DOPA, Boc-Gly-Pro-5-НТ) (рис. 2).
Рис. 2. Структуры Boc-Gly-Pro-DOPA (1), Boc-Gly-Pro-5-НТ (2).
Эти защищенные конъюгаты пролина и глицилпролина с дофамином и серотонином оказались устойчивы в присутствии амино- и карбоксипептидаз. Следовательно, они могут быть перспективны в качестве эффективных нецитотоксических транспортных форм для этих биогенных аминов [21]. В силу этого такой подход является многообещающим для доставки моноаминов для лечения патологии при болезни Паркинсона и депрессии.
II.3. Ацильные производные биологически активных соединений
Использование жирных кислот для ацилирования аминогруппы в пептидном производном биологически активного соединения вызвано рядом причин. Как показывает практика, у гибридных соединений из биогенного амина и пептидного фрагмента при ацилировании последнего жирными кислотами появляются новые свойства, полезные для создания лекарственных препаратов. Возможность такого эффекта отмечена при ацилировании жирными кислотами дофамина. Оказалось, что образовавшийся N-ацилдофамин препятствует развитию симптомов болезни Паркинсона [22, 23].
В МГУ разработана программа, которая позволяет оценить проникающую способность молекул через ГЭБ [24, 25]. Использование этой программы позволило, например, оценить, какие из соединений будут иметь более высокую вероятность проникновения из кровотока в головной мозг. Другими словами, эта программа позволяет рассчитать отношение AUCмозг к AUCкровь. Естественно, чем больше это отношение, тем выше проницаемость ГЭБ для данного соединения. На основании расчетных данных установлено, что проницаемость гибридных соединений из ацильных производных аминокислот или пептидов и дофамина или серотонина через ГЭБ значительно выше, чем для соединений, в которых в качестве защитных групп использовали Вос- или Z-защиту. В то время как расчетные данные по проницаемости соединений с Вос- или Z-защитой отличались незначительно. Для LА-Gly-Pro-DOPA и LА-Gly-Pro-5-НТ расчетные данные по проницаемости равнялись 0.44 и 0.43 соответственно. Для Вос-Pro-DOPA и Z-Pro-DOPA или Вос-Pro-5-НТ и Z-Pro-5-НТ – только 0.13 и 0.09 или 0.12 и 0.08 соответственно [26].
Для установления более четкой картины, имеют ли преимущества соединения с Boc-защитой перед соединениями с Z-защитой для преодоления ГЭБ, проведены эксперименты с использованием метода PAMPA (parallel artificial membrane permeability assay). Этот метод основан на применении искусственно сконструированных мембран на основе додекана и смеси додекана с полярными липидами [27]. В результате возникает возможность определить, какое из синтезированных соединений легче преодолеет ГЭБ и, следовательно, может быть перспективно для дальнейших исследований [27–29].
Проведенные исследования с использованием метода PAMPA показали, что полученные данные не противоречат расчетным. Проницаемость через мембрану соединений с Boc-защитой выше, чем соединений с Z-защитой [28].
II.4. Фосфинатные аналоги эндогенных пептидов
Фосфинатные пептиды являются мощными ингибиторами бактериальных коллагеназ [30]. Также оказалось, что фосфинатные псевдопептиды (соединения 3–5) ведут себя как сильнодействующие ингибиторы матричных металлопротеиназ (ММР) (рис. 3).
Рис. 3. Структуры ингибиторов ММР.
Известно, что ММР играют важную роль при экстравазации опухолевых клеток с высокой метастатической активностью, а также причастны к патологиям, вызываемым остеопорозом, ревматоидным артритом, заболеваниями пародонта, атеросклерозом или застойной сердечной недостаточностью.
АПФ (кининаза II, пептидил-дипептидаза A, КФ 3.4.15.1) является сегодня, вероятно, наиболее важной мишенью с точки зрения медицинского применения ингибиторов фосфината Zn-металлопротеиназ. То обстоятельство, что АПФ может участвовать в регуляции гемопоэтических стволовых клеток путем постоянного разложения Ac-Ser-Asp-Lys-Pro, инициировало разработку ингибиторов АПФ (соединения 6–9) (рис. 4).
Рис. 4. Строение ингибиторов АПФ.
Кроме того, ингибирование АПФ блокирует образование ангиотензина II, а также расщепление брадикинина, что приводит к снижению артериального давления.
Таким образом, перечисленные выше ингибиторы не только повышают ферментативную стабильность модифицированных пептидов [30–34], но и перспективны при поиске эффективных нейропротекторов.
III. Общие методы получения объектов исследования
III.1. Основные подходы для синтеза пептидов и пептидных производных
В данном разделе приведены только хорошо изученные методики. В более полном объеме с методиками синтеза пептидов и пептидных производных можно ознакомиться в монографиях [35, 36].
Если реагенты растворимы в неполярных средах, существует множество методов, позволяющих проводить синтезы с использованием DCC и других реагентов для конденсации защищенных аминокислот, пептидов и производных биогенных аминов и т.д. Но более часто приходится использовать методики, в которых один из компонентов растворим или в метаноле, или водном метаноле.
Для работы с такими соединениями как дофамин, доксорубицин или серотонин сначала готовят N-оксисукцинимидный эфир реакцией с защищенными по аминогруппе аминокислотами или пептидами в присутствии DCC. Затем соответствующий N-оксисукцинимидный эфир растворяют в метаноле, водном метаноле или этаноле и конденсируют с дофамином, доксорубицином или серотонином в присутствии Et3N. Выход гибридных соединений – около 65–86% [37, 38].
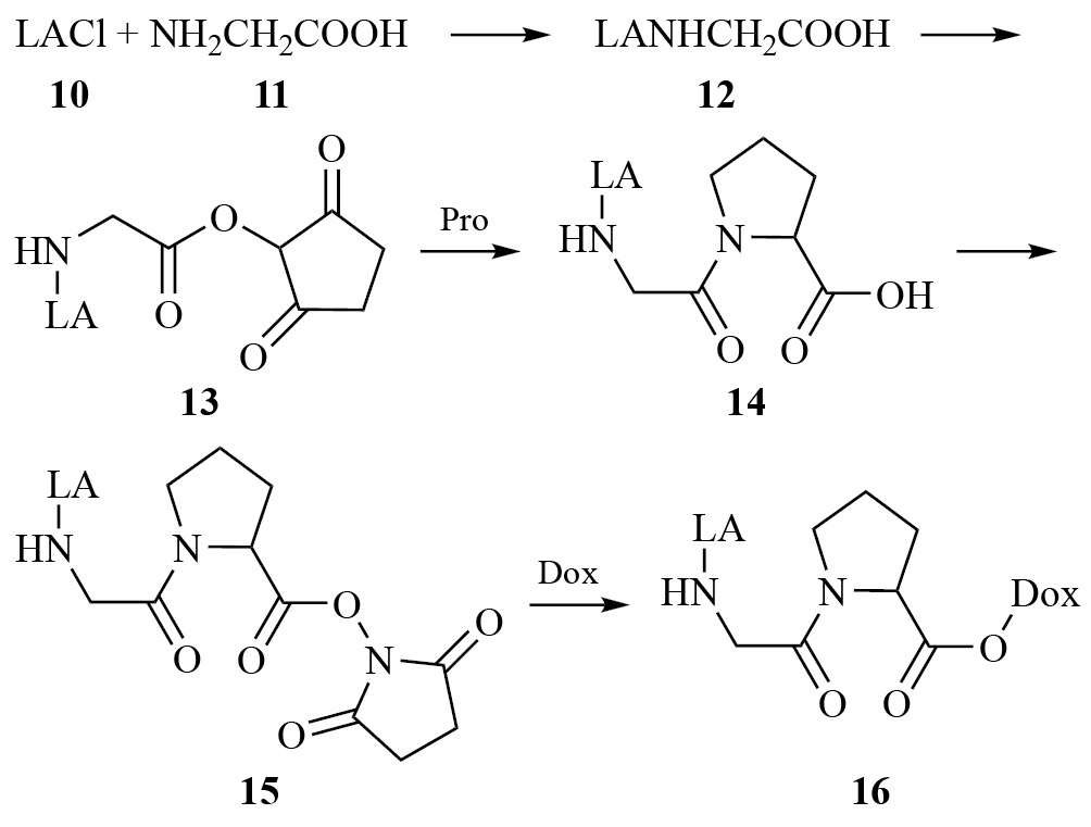
При работе с жирными кислотами, как правило, получали хлорангидрид (с использованием хлористого тионила) (соединение 10), из которого получали производное по глицину (соединение 12), дальнейшие стадии проводили, как описано выше, с получением соединений 13–16 (схема 1) [26].
Схема 1. Синтез соединений, содержащих жирные кислоты (LA – остаток лауриновой кислоты) [26].
III.2. Получение флуоресцентномеченных органических соединений
Флуоресцентные аналоги пептидов и аминокислот получали для более точного расчета содержания их в пробах, особенно в тех случаях, когда они присутствуют там в микроколичествах [39]. Точность определения можно повысить после добавления в пробы соответствующего меченного тритием аналога и обработки пробы реагентом для получения флуоресцентного производного. Если в объекте исследования присутствует аналогичное добавленному меченому пептиду соединение, то уменьшение молярной радиоактивности добавленного меченного тритием пептида будет зависеть от количества немеченного соединения.
Особенно интересными являются специфические реакции на определенные аминокислоты, например, тирозин, триптофан, аргинин (соединения 17–24) [40] (рис. 5).
Рис. 5. Специфические реакции на аминокислоты [40].
Но есть работы, где специально синтезируют флуоресцентные аналоги для проведения биологических исследований [2]. Такой синтез проводят тогда, когда есть недостаток информации о процессах регулирования ингибирования и транспорта биологических объектов в живых организмах.
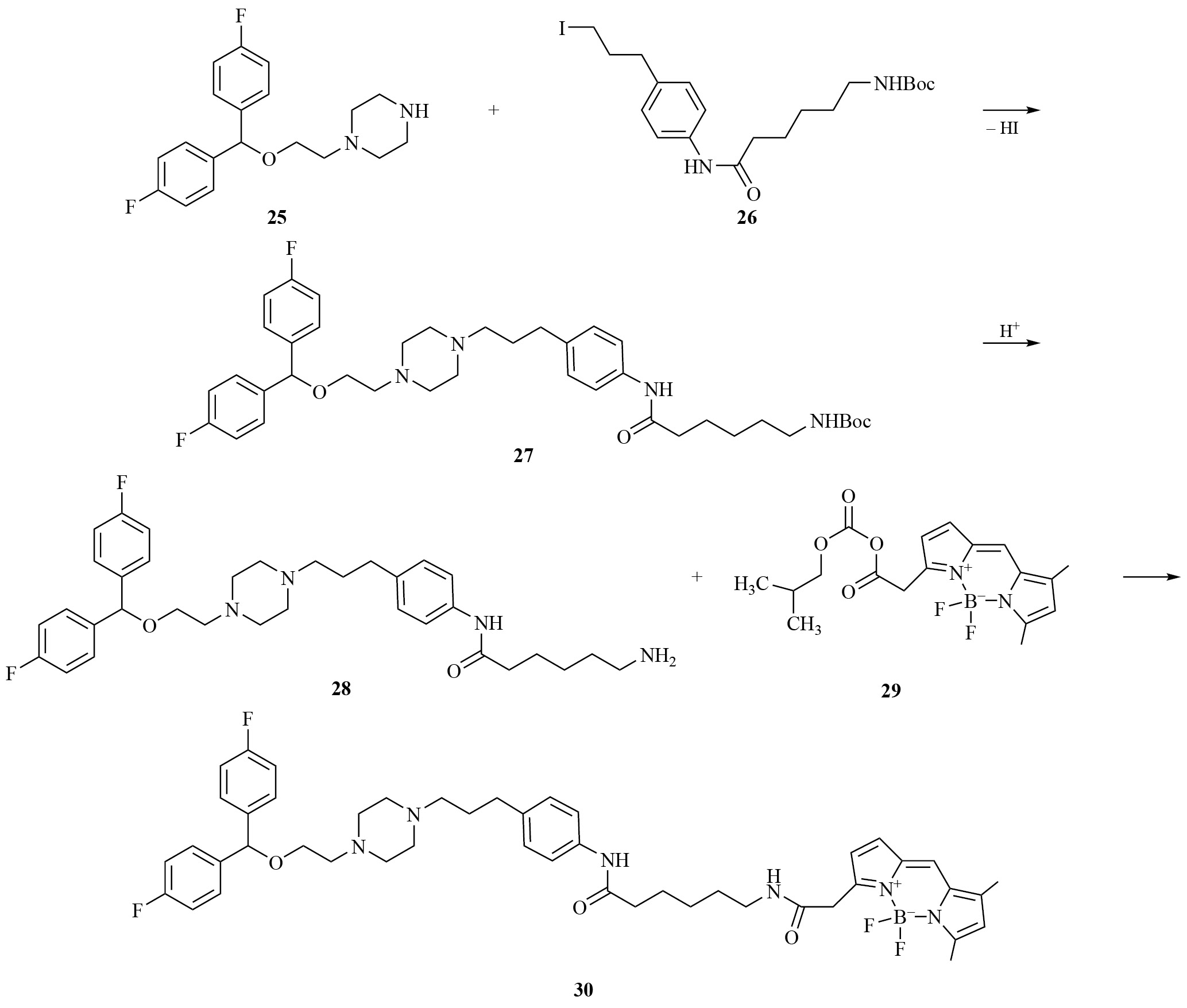
Среди ранее описанных ингибиторов обратного захвата дофамина эталонным является производное N-замещенного пиперазина – GBR12909, селективное по отношению к дофаминовому транспортеру (рис. 6) [40].
Рис. 6. Строение GBR12909.
Использование флуоресцентного аналога GBR12909 необходимо было для получения новых сведений о влиянии этого ингибитора на функционирование трансмембранного белка-транспортера (DAT). Флуоресцентный аналог GBR12909 синтезировали по схеме 2 (соединения 25–30) [40].
Схема 2. Синтез флуоресцентного аналога GBR12909 [2].
Конденсацией третичного амина 25 с йодпроизводным 26 получали соединение 27 с выходом 98%. После удаления Вос-защиты с соединения 27 образовывалось соединение 28, которое затем в присутствии Et3N конденсировали со смешанным ангидридом 29 и в результате получали флуоресцентный аналог GBR12909 (30) c выходом 32%. Полученные данные о влиянии этого ингибитора на DAT свидетельствовали о полной блокировке захвата флуоресцентного аналога GBR12909 клетками, которая происходила при участии DAT. Убедившись в том, что полученное соединение соответствует необходимым требованиям для проведения исследования, его использовали для получения более детальной информации. Данные, полученные при использовании флуоресцентного аналога, полностью согласуются с гипотезой об интернализации GBR12909 дофаминовым транспортером [2].
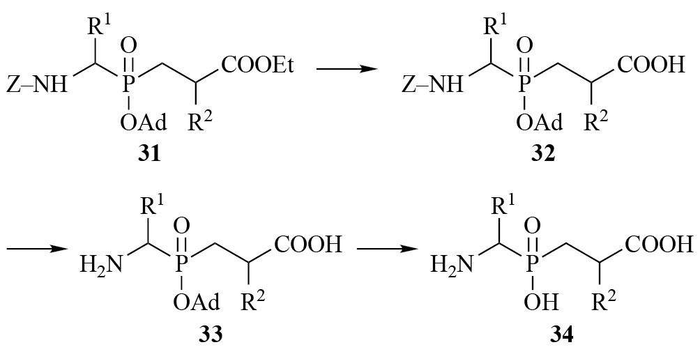
III.3. Синтез фосфинатных аналогов пептидов
Синтезы различных фосфинатных аналогов эндогенных пептидов разрабатываются давно [41]. На схеме 3 показан один из таких синтезов. Синтез фосфинатного пептида из исходных компонентов проводят, когда все реакционные группы закрыты этиловой, Ad- и Z-группами (соединение 31). Затем последовательно щелочным катализом (32), каталитическим гидрированием (33) и кислотным катализом (34) удаляют защитные группы.
Схема 3. Фосфинатные аналоги пептидов [41].
До настоящего времени путем замены амидной связи метиленфосфорильным фрагментом [–(POOH)–CH2–] получают все новые и новые фосфоизостеры пептидов.
Разработанная схема позволяет наращивать фосфоизостеры пептидов аминокислотными остатками (соединения 35–38). Например, получать Pro-(POОН)-Gly-Pro (фосфинатный аналог Pro-Gly-Pro) (38) из Z-Pro-(POОAd)-Gly (35) (рис. 7) [42].
Рис. 7. Структуры исходного (35), промежуточных (36, 37) и конечного (38) соединений.
Конденсацией Z-Pro-(POОAd)-Gly (35) с HCl•Pro-OBzl в присутствии DCC и Et3N получали фосфинатный аналог Pro-Gly-Pro (36). Z- и Bzl-защиты снимали каталитическим гидрированием, адамантан удаляли трифторуксусной кислотой. Выход Pro-(POОН)-Gly-Pro (38) составил 64%.
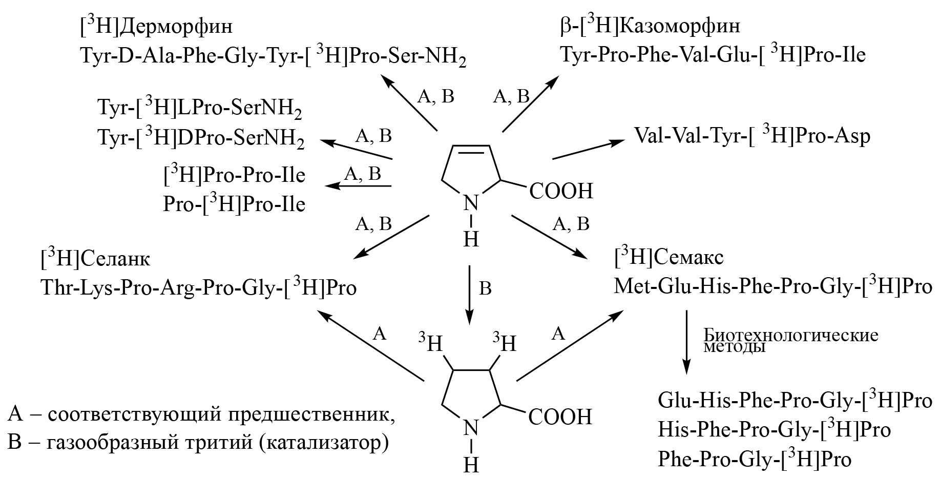
IV. Введение трития в синтезированные соединения
Синтез меченных изотопами водорода органических соединений необходим для проведения экспериментов in vivo при определении устойчивости введенного в организм соединения, образования из него метаболитов, или для определения специфического связывания соединений с мембранами мозга [43].
IV.1. Жидкофазный метод
При использовании жидкофазного метода тритий вводили гидрированием ненасыщенного аналога аминокислотного остатка. В этом случае распределение трития в молекуле соединения после восстановления было очевидным (при восстановленных двойных связях). Целый набор меченных тритием пептидов можно получить, исходя из дегидропролина (схема 4).
Схема 4. Использование дегидропролина и меченого пролина при синтезе пептидов.
При гидрировании двойных связей использовались растворы ненасыщенных пептидов в протонных и апротонных растворителях. После обработки газообразным тритием в присутствии гетерогенного катализатора меченные тритием восстановленные аналоги использовались как таковые или их конденсировали с дофамином, серотонином и доксорубицином, как описано выше. В таблице 1 приведена молярная радиоактивность полученных препаратов (выход меченых соединений достигал 80–95%).
Таблица 1. Молярные радиоактивности (МР) производных дофамина, доксорубицина и серотонина, полученные из Boc-Gly-[3H]Pro, LA-Gly-[3H]Pro и Boc-[3H]Pro [26]
Предшественник, МР (Ки ммоль–1) | Производное, МР (Ки ммоль–1) | ||
BocGly-[3H]Pro, 48 | BocGly-[3H]Pro-DOPA, 48 | BocGly-[3H]Pro-5-НТ, 48 | BocGly-[3H]ProDox, 48 |
LA-Gly-[3H]Pro, 41 | LA-Gly-[3H]Pro-DOPA, 41 | LA-Gly-[3H]Pro-5-НТ, 41 | LA-Gly-[3H]Pro-Dox, 41 |
Boc[3H]Pro, 46 | Boc[3H]Pro-DOPA, 46 (27а) | Boc[3H]Pro-5-НТ, 46 (26а) | Boc[3H]Pro-Dox, 46 |
а Получены гидрированием BocΔPro-DOPA или BocΔPro-5-НТ в метаноле.
IV.2. Твердофазный метод
Тритий удалось ввести в различные пептиды при использовании твердофазного метода [43–47]. Получены His-Phe-Arg-Trp-Pro-Gly-Pro [44], Pro-Gly-Pro-Leu [45], 5-охо-Pro-Arg-Pro [46], 5-охо-Pro-His-Pro-NH2 [47] с молярной радиоактивностью 26, 135, 60 и 75 Ки ммоль–1 соответственно. Так как тритий вводили изотопным обменом, то необходимо было определить распределение метки между аминокислотными остатками. Знание о распределении трития необходимо, чтобы при экспериментах in vivo точно рассчитать не только содержание исходного пептида в пробах, но и содержание в них его метаболитов. Распределение метки в препаратах определяли с использованием масс-спектрометрии после проведения аналогичных реакций с дейтерием. Установлено, что для His-Phe-Arg-Trp-Pro-Gly-Pro это распределение составило 37 : 6 : 20 : 32 : 1 : 1 : 3, для Pro-Gly-Pro-Leu – 66 : 17 : 8 : 9, для 5-охо-Pro-Arg-Pro – 11 : 58 : 31, для 5-охо-Pro-His-Pro-NH2 – 18 : 66 : 16 [44–47].
V. Исследование цитотоксичности гибридных препаратов
Для оценки цитотоксичности гибридных препаратов (т.е. препаратов, составленных из нескольких биологически активных соединений) использовались методы, которые давали возможность одновременно оценивать пролиферацию, остановку деления и гибель клеток [48]. Жизнеспособность клеток оценивали по соотношению оптической плотности в пробах без вещества и в пробах с веществом.
V.1. Сравнение влияния дофамина и серотонина и их пептидных производных на жизнедеятельность клеток
Тестирование дофамина (серотонина) и Z-Gly-Pro-DOPA, Z-Gly-Pro-5-НТ, Boc-Gly-Pro-DOPA, Boc-Gly-Pro-5-НТ, Boc-Pro-5-НТ и Boc-Pro-DOPA проводили с использованием нескольких линий клеток (SH-SY5Y, A549, U-87MG и BJ-5ta) [49–52]. Полученные данные позволили сделать вывод о том, что в тестах на пролиферацию клеток, содержащих дофаминовые и серотониновые рецепторы, активность пептидных производных моноаминов относительно активности дофамина и серотонина изменялась незначительно [53]. Таким образом, пролинсодержащие производные биогенных аминов и в плане цитотоксичности, и в плане влияния на клеточные ответы сопоставимы с данными, полученными при использовании свободных дофамина и серотонина [53]. Более показательным было изменение цитотоксичности доксорубицина по сравнению с пролинсодержащими производными доксорубицина при использовании культуры одноклеточных эукариотов Tetrahymena pyriformis [54].
V.2. Оценка цитотоксичности пептидных производных доксорубицина
Первичный скрининг на цитотоксичность можно провести с использованием инфузории Tetrahymena pyriformis. В культуру инфузорий добавляли раствор доксорубицина или его производных Boc-Gly-Pro-Dox и Z-Gly-Pro-Dox в диапазоне концентраций 1–100 мкМ. В контрольные пробы добавляли такой же объем дистиллированной воды. Сравнивали динамику гибели или размножения клеток относительно контроля. Полученные результаты показали, что уже через десять минут разница в отрицательном воздействии на клетки между модифицированным и свободным Dox становится очевидной. Модифицированные молекулы доксорубицина обладают значительно меньшей способностью вызывать гибель клеток, чем свободный доксорубицин. Цитотоксичность Z-Gly-Pro-Dox и Boc-Gly-Pro-Dox несколько отличается, но в обоих случаях выживаемость инфузории Tetrahymena pyriformis, по сравнению с Dox, выше. Выживаемость инфузории во времени для Dox и Z-Gly-Pro-Dox, Boc-Gly-Pro-Dox заметно отличается. В то время как Dox со временем повышает отрицательное воздействие на клетки, под действием производных Dox зависимость от времени более сложная. Количество инфузории после десятиминутного падения начинает заметно расти [54]. Аналогичная закономерность обнаружена и при тестировании этих соединений на мышах.
На основании вышеприведенных данных можно предположить, что использование пептидов является перспективным направлением для понижения цитотоксичности используемых в качестве лекарств соединений.
VI. Исследования устойчивости созданных структур
VI.1. Исследование устойчивости пептидов в экспериментах in vitro
Для экспериментов in vitro использовали лейцинаминопептидазу (КФ 3.4.11.1), карбоксипептидазы Y (КФ 3.4.16.1) и В (КФ 3.4.17.2), пролиновую эндопептидазу (РЕР) (КФ 3.4.21.26), назальную слизь, микросомальную фракцию мозга (МФМК) и плазму крови крыс, полученные из самцов крыс Wistar [55]. Работы проводили по методикам, описанным в работах [14, 55, 56]. В качестве субстрата использовали АКТГ(6-9)-PGP, Pro-Gly-Pro-Leu, Boc-Gly-Pro-DОPА, Z-Gly-Pro-DОPА, LA-Gly-Pro-DОPА, Boc-Gly-Pro-5-НТ, Z-Gly-Pro-5-НТ и фосфинатный аналог Pro-Gly-Pro. Изменение содержания исходных субстратов определяли методами ВЭЖХ и масс-спектрометрии [55, 57].
При исследовании устойчивости АКТГ(6-9)-PGP в присутствии лейцинаминопептидазы установлено, что через два часа в инкубационной среде присутствует около 23% исходного пептида [58]. В присутствии карбоксипептидазы Y уже через час только 9% АКТГ(6-9)-PGP остается в инкубационной среде.
Устойчивость АКТГ(6-9)-PGP в присутствии аминопептидазы выше, чем карбоксипептидазы. Устойчивость АКТГ(6-9)-PGP в присутствии ферментов крови и МФМК примерно одинаковая и, по-видимому, определяется действием карбоксипептидаз. Данные, полученные при использовании ферментной системы назальной слизи, указывают на большее влияние аминопептидаз в этом случае на протеолиз АКТГ(6-9)-PGP [58].
В присутствии аминопептидаз из АКТГ(6-9)-PGP могут образоваться Phe-Arg-Trp-Pro-Gly-Pro, Trp-Pro-Gly-Pro и Arg-Trp-Pro-Gly-Pro. В течение первых 90 мин в присутствии лейцинаминопептидазы содержание метаболита без His (28%) превалирует перед Trp-Pro-Gly-Pro (без His-Phe-Arg, 18%). Но уже через 4 ч после начала реакции количество метаболита без His (2%), а Trp-Pro-Gly-Pro (12%) [58]. Таким образом, со временем соотношение метаболитов меняется.
Карбоксипептидаза Y в основном гидролизует С-концевой пролин. При этом содержание His-Phe-Arg-Trp-Pro-Gly за 90 мин растет до 83%, затем начинает снижаться. Через 4 ч после начала реакции содержание His-Phe-Arg-Trp-Pro-Gly уменьшается до 66% [58].
Устойчивость Pro-Gly-Pro-Leu к лейцинаминопептидазе, МФМК, назальной слизи и плазме крови показала другие закономерности. В присутствии лейцинаминопептидазы уже через 2 ч количество исходного пептида уменьшается до 2.1%. В то время как с МФМК его количество составляет 71.2%. Еще выше количество Pro-Gly-Pro-Leu в присутствии назальной слизи и плазмы крови – 97.7% и 87.4%, соответственно [59].
VI.2. Исследование устойчивости производных биогенных аминов в экспериментах in vitro
Пептидные производные дофамина и серотонина более устойчивы, чем DOPA или 5-НТ с незащищенной аминогруппой. Особенно это касается DOPA, который окисляется легче, чем 5-НТ. В этих гибридных соединениях наблюдается взаимное влияние пептидного фрагмента и биогенного амина на их общую устойчивость в инкубационной среде [60]. По-видимому, наличие пролинового остатка и защитных групп на N-концевой аминокислоте ожидаемо увеличивает устойчивость DOPA и 5-НТ, а DOPA или 5-НТ, в свою очередь, защищают пептидный фрагмент от действия пептидаз. Не удивительно, что эти соединения устойчивы к действию как индивидуальных ферментов (лейцинаминопептидазы, карбоксипептидазы Y и В), так и ферментов плазмы крови [21].
Известно, что пролиназы присутствуют, например, в элементах крови, в мозге, они участвуют в процессе переваривания пролинсодержащих пептидов [60–70]. В качестве примера пролиновых пептидаз можно привести аминопептидазу Р (КФ 3.4.11.9) [61–64], пептидазу D (КФ 3.4.13.9, иминопептидаза) [64, 66], дипептидилпептидазу IV (КФ 3.4.14.5, DPP-IV) [64, 67–69], дипептидилпептидазу II (КФ 3.4.14.2, DPP-II) [70], пролиновую эндопептидазу (КФ 3.4.21.26) [64]. Различное содержание пролиновых пептидаз в разных тканях и органах организма приводит к образованию разных количеств дофамина и серотонина в них. В результате можно ожидать избирательное действие гибридных соединений из пептидов и биогенных аминов в разных органах и тканях организма.
Для того, чтобы выяснить, происходит ли образование свободных биогенных аминов при деградации этих гибридных соединений, проводили протеолиз в присутствии РЕР. Установлено, что при соотношении соединение/PEP 10 мкмоль ед–1 содержание соединений с Вос-защитой в течение 4 ч составило 80–85%. В то время как с Z-защитой – в количестве 0–5%. Для более эффективного протеолиза соединений с Вос-защитой нужно увеличить концентрацию PEP в 10 раз. В этом случае за 4 ч содержание Boc-Gly-Pro-DOPA снизилось до 1%, а Boc-Gly-Pro-5-НТ – до 14%. Для оценки устойчивости LA-Gly-Pro-DOPA, где защиту глицинового фрагмента осуществляли жирной кислотой, концентрацию PEP пришлось увеличить еще в 10 раз. И даже при этом через 4 ч содержание LA-Gly-Pro-DOPA было более 60% [21].
Установлено, что под действием РЕР Z-Gly-Pro-DОPА, Вос-Gly-Pro-DОPА и Z-Gly-Pro-5-НТ, Вос-Gly-Pro-5-НТ являются источниками DOPA и 5-НТ [21]. За 4 ч выход DOPA составляет 75–80%, а 5-НТ – 90–92%. По результатам этого исследования можно сделать вывод, что, используя производные DOPA и 5-НТ с разными защитными группами, можно регулировать образование этих биогенных аминов в живом организме.
VI.3. Исследование устойчивости фосфинатного аналога PGP
Для использования в качестве ингибиторов фосфинатных аналогов пептидов их протестировали на цитотоксичность и на устойчивость к действию протеаз по приведенной выше методике с использованием линии человеческой глиобластомы U-87MG и иммортализованных фибробластов BJ-5ta с помощью МТТ-теста [42]. При этом оказалось, что фосфинатный аналог PGP в концентрациях от 0.1 до 100 мкМ на жизнеспособность глиобластомы и фибробластов не влияет. Кроме того установлено, что эти соединения ингибируют активность протеаз [42].
VI.4. Исследование устойчивости пептидов в экспериментах in vivo.
Ход проведения исследований по оценке устойчивости пептидов в экспериментах in vivo можно продемонстрировать при работе с АКТГ(6-9)-PGP и Pro-Gly-Pro-Leu.
Для проведения работ in vivo равномерномеченный Pro-Gly-Pro-Leu интраназально (ИВ) или внутривенно (ВВ) вводили в организм крыс и определяли содержание Pro-Gly-Pro-Leu в крови и в тканях мозга [57, 71–73] (табл. 2).
Таблица 2. Зависимость содержания Pro-Gly-Pro-Leu в крови и мозге крыс от времени при ВВ или ИВ.
Время, мин | ВВ | ИВ | ||
Содержание, пмоль г –1 | ||||
Мозг | Кровь | Мозг | Кровь | |
2 | 3.3 | 608.2 | 1.0 | 7.4 |
5 | 4.9 | 359.3 | 1.1 | 10.9 |
20 | 3.7 | 98.0 | 1.0 | 67.4 |
40 | 2.3 | 73.4 | 0.9 | 1.2 |
60 | 1.2 | 41.6 | 0.5 | 1.1 |
Полученные результаты показали, что при ВВ содержание в крови Pro-Gly-Pro-Leu в течение часа снижается почти в 15 раз. В ткани мозга при этом попадает менее 1% от содержащегося в крови Pro-Gly-Pro-Leu. За час содержание пептида в мозге крыс уменьшается в 4 раза. При ИВ Pro-Gly-Pro-Leu наблюдается другая картина: в крови количество Pro-Gly-Pro-Leu проходит через максимум. В первые 20 мин содержание пептида в крови возрастает в 9 раз, а в мозге оно практически не меняется в течение 40 мин. Такое различие объясняется тем, что при ИВ биологически активные соединения могут попадать в кровь и мозг более сложными путями, чем при ВВ, когда пептид проникает в мозг практически только из кровотока. ИВ основано на способности пептидов всасываться в слизистую оболочку носовой полости и поступать постепенно в мозг и в системный кровоток одновременно. Таким образом, использование ИВ дает возможность введения пептидов напрямую в ЦНС, что может обеспечить высокую биодоступность [74, 75]. Помимо попадания препаратов в ЦНС через слизистую оболочку носовой полости установлены еще два пути их проникновения в ткани мозга – через зону обонятельного нерва и через зону средней ветви тройничного нерва. Т.е. ИВ, в отличии от ВВ, позволяет обойти богатое различными протеазами кровеносное русло. Но при ИВ нельзя избежать деградации Pro-Gly-Pro-Leu под действием ферментов носовой полости и образование тритиевой воды под действием оксидоредуктазы, деаминазы, цитохрома Р450 и др., разрушающих аминокислотные остатки в пептидах [76]. Очевидно, что, если пептид всасывается из слизистой оболочки носовой полости в кровь и мозг постепенно, это объясняет появление максимумов на кинетических кривых и продолжительное постоянство Pro-Gly-Pro-Leu в тканях мозга.
Аналогичные закономерности обнаружены при определении концентрации АКТГ(6-9)-PGP в крови после ИВ и ВВ (табл. 3) [77, 78].
Таблица 3. Концентрация АКТГ(6-9)-PGP в крови крыс при разных способах введения пептида
Время, мин | Содержание, пмоль мл –1 | |
ИВ | ВВ | |
5 | 0.4 | 2.1 |
10 | 0.6 | 1.5 |
30 | 0.7 | 0.9 |
60 | 1.0 | 0.5 |
120 | 1.1 | 0.5 |
180 | 0.6 | 0.2 |
300 | 0.1 | 0.1 |
Так как при ИВ адсорбированный в носовой полости АКТГ(6-9)-PGP переходит в кровеносное русло постепенно, падение содержания АКТГ(6-9)-PGP в крови оказывается более плавным, чем при использовании ВВ.
Возникает вопрос, почему пептиды, которые очень быстро деградируют в живом организме, оказывают продолжительное действие после введения? По-видимому, механизм этого феномена заключается в том, что в носовой полости достаточно рецепторов, через которые реализуется нужное воздействие на ткани мозга для достижения необходимого клеточного ответа. Например, нейроны обонятельного рецептора (ОРН), аксоны которого заканчиваются на митральных клетках обонятельных луковиц, передают сенсорную информацию в ЦНС [79]. Передача этой информации заключается в поглощении сигнальных молекул в ОРН пассивной диффузией с последующим медленным переносом ее вдоль нервных волокон, что может занимать время от нескольких часов до нескольких дней. В результате влияние этого препарата на функционирование жизненно важных систем может тоже быть продолжительным [39].
VI.5. Фармакокинетические параметры АКТГ(6-9)PGP и Pro-Gly-Pro-Leu
При исследовании фармакокинетических параметров при ВВ и ИВ АКТГ(6-9)-PGP и Pro-Gly-Pro-Leu установлено, что распределение Pro-Gly-Pro-Leu и его элиминация из крови и из организма в целом происходит быстрее, чем АКТГ(6-9)PGP (табл. 4) [73, 78, 80].
Таблица 4. Значения фармакокинетических параметров, рассчитанных из данных по ВВ и ИВ, пептидов АКТГ(6-9)PGP и Pro-Gly-Pro-Leu
Фармакокинетический параметр | АКТГ(6-9)PGP | Pro-Gly-Pro-Leu | ||
ВВ | ИВ | ВВ | ИВ | |
D, мкг кг–1 | 72.3 | 73.5 | 200 | 190 |
Cmax, нг мл–1 | 1.90 | 1.0 | 137.5 | 0.6 |
Kabs, мин–1 | 35 × 10–3 | 22 × 10–3 | 0.27 | 89 × 10–3 |
Kel, мин–1 | 12 × 10–3 | 0.01 | 0.14 | 83 × 10–3 |
t1/2,abs, мин–1 | 5.3 | 32.2 | 1.51 | 7.8 |
t1/2,е1, мин–1 | 84.5 | 71.4 | 19.3 | 8.4 |
AUC∞, нг мл–1 мин–1 | 125 | 198 | 2428 | 18.9 |
MRT, мин | 108 | 131 | 21.5 | 12.1 |
V1, мл кг–1 | 25090 | 33830 | 589 | 121310 |
Vss, мл кг–1 | 62690 | 52460 | 1768 | 121310 |
Cl, мл мин–1 кг–1 | 579 | 371 | 82.4 | 10050 |
При ИВ АКТГ(6-9)-PGP и Pro-Gly-Pro-Leu максимальная концентрация АКТГ(6-9)PGP в ткани отличается от соответствующего значения для Pro-Gly-Pro-Leu в 1.7 раза (табл. 4). Расчетное время полной абсорбции АКТГ(6-9)-PGP из носовой полости отличается от Pro-Gly-Pro-Leu более чем в 4 раза. Особенно впечатляет разница в абсолютной биодоступности, для АКТГ(6-9)-PGP она более, чем в 200 раз выше, чем в случае Pro-Gly-Pro-Leu.
При сравнении фармакокинетических свойств Pro-Gly-Pro-Leu и АКТГ(6-9)PGP оказалось, что как процесс распределения Pro-Gly-Pro-Leu, так и его элиминации из крови происходит намного быстрее, чем АКТГ(6-9)PGP. Среднее время пребывания Pro-Gly-Pro-Leu в организме (MRT) также оказалось ниже, чем у АКТГ(6-9)PGP. Таким образом, АКТГ(6-9)-PGP и Pro-Gly-Pro-Leu существенно отличаются по ряду фармакокинетических показателей. В целом, при внутривенном введении АКТГ(6-9)-PGP демонстрирует более длительное пребывание в кровотоке, но в гораздо меньших концентрациях, чем Pro-Gly-Pro-Leu. Это позволяет сделать вывод, что молекула АКТГ(6-9)-PGP, в отличие от молекулы Pro-Gly-Pro-Leu, обладает способностью встраиваться в элементы крови и относительно долго ими удерживаться, предохраняя АКТГ(6-9)-PGP от быстрой деградации протеазами.
Проведенный по методу, описанному в работе [81], расчет показал, что при интраназальном способе введения около 33% и АКТГ(6-9)PGP, и Pro-Gly-Pro-Leu поступают из носовой полости в мозг крыс путем прямого транспорта, а около 67% опосредованно, после всасывания в кровь.
VII. Специфическое связывание синтезированных пептидов, взаимодействие с рецепторными системами
Меченные тритием препараты имеют существенные преимущества при исследовании лиганд-рецепторного связывания. Высокая молярная радиоактивность, практическое отсутствие изотопных эффектов при специфическом связывании с рецепторами позволяют добиться высокой чувствительности определения степени связывания, что необходимо для изучения механизма действия биологически активных препаратов [82].
Одним из ключевых этапов молекулярного механизма действия биологически активных препаратов являются специфические взаимодействия этих молекул с функционально значимыми специализированными белками, локализованными на поверхности клеток-мишеней. В основном такими структурами являются G-белки, рецепторы, сопряженные с G-белком (GPCR), ионные каналы, активируемые нейромедиаторами, или другие типы рецепторов, а также различные моно- и гетеромерные белки – рецепторные комплексы, представленные на внешних плазматических мембранах нервных клеток [83].
В основе системы скрининга лежит количественный анализ изменений, вызванных введением пептида, а именно: характер специфических взаимодействий меченных тритием лигандов – различных эффекторных молекул (в том числе аналогов эндогенных нейромедиаторов) с соответствующими им рецепторными комплексами, локализованными на внешней мембране клеток головного мозга [82, 84, 85]. При помощи этой методики можно количественно оценить степень влияния исследуемых пептидов на молекулярно-функциональную активность клеточных рецепторных систем.
Известно, что дерморфин (Tyr-D-Ala-Phe-Gly-Tyr-Pro-Ser-NH2) обладает сильнейшим анальгетическим действием. Встал вопрос, какой фрагмент этой молекулы ответственен за взаимодействие с опиоидной системой организма? Для этого были синтезированы Tyr-Pro-Ser-NH2 и Tyr-D-Pro-Ser-NH2 и исследована способность данных трипептидов связываться с дерморфиновыми рецепторами головного мозга крыс [86–88]. Изучали вытеснение [3H]-дерморфина из мест специфического связывания дерморфина с МФМК немечеными Tyr-Pro-Ser-NH2 и Tyr-D-Pro-Ser-NH2 в зависимости как от изменения концентрации [3H]дерморфина, так и от изменения концентрации немеченных лигандов. При этом оказалось, что характер связывания [3H]дерморфина с МФМК в присутствии Tyr-Pro-Ser-NH2 и Tyr-D-Pro-Ser-NH2, которые рассматривались как фрагменты молекулы дерморфина, изменяется только на одном участке насыщения >5 нМ [88].
Таким образом, получено еще одно свидетельство, что один из механизмов анальгетического действия С-концевых аналогов дерморфина связан с возможностью их взаимодействия с опиоидной системой организма. Значение подобных исследований не ограничивается поиском соединений, которые могут быть использованы для разработки лекарственных средств для решения конкретной задачи, но и приближают биологов и медиков к пониманию общих законов пептидной регуляции [89–92].
К сожалению, использование методики, основанной на специфических взаимодействиях меченных тритием препаратов с соответствующими им рецепторными комплексами, локализованными на внешней мембране клеток головного мозга, как правило, имеет целый ряд методических ограничений, возникающих при попытке использования стандартной, общепринятой в рамках метода техники постановки экспериментов. Фактически, условия проведения серии опытов для каждого радиоактивно меченого лиганда и группы немеченых пептидов требуется подбирать заново, корректировать и приводить к единому стандарту. Основная часть указанных выше затруднений связана с проявлением индивидуальных физико-химических свойств каждого конкретного пептида и является следствием особенностей молекулярного механизма его действия. К последним можно отнести:
- быструю деградацию пептидов под действием протеолитических ферментов, содержащихся в биологических жидкостях или на мембранах клеток мозга;
- большое число неспецифических взаимодействий пептидных лигандов на мембранах клеток мозга;
- стремление некоторых пептидов к образованию нестабильных комплексов со свободными (не закрепленными на мембране) белками;
- специфическую локализацию мест лиганд-рецепторных взаимодействий молекул нейропептидов (связанную с конкретным отделом мозга);
- возможное существование на мембранах клеток мозга сразу нескольких мест специфических взаимодействий, характеризующихся довольно высокими константами диссоциации лиганд-рецепторного комплекса;
- существование конкуренции за места связывания нативного пептида со стороны коротких фрагментов, образованных в ходе протеолиза исходной молекулы.
Кроме того, существует целый ряд других фактов, отражающих сложную организацию механизма действия пептидных регуляторов. Например, поиск мест специфического связывания некоторых меченных тритием пептидов – семакса, His-Phe-Pro-Gly-Pro, Pro-Gly-Pro – на плазматических мембранах клеток спинного и различных отделов головного мозга крысы позволил сделать выводы о существовании на поверхности нервных клеток мест специфических взаимодействий биологически активных пептидов данной группы, а также некоторых пептидных продуктов деградации изучаемых молекул. Несмотря на существование отличий в локализации мест специфического взаимодействия пептидов этой группы, установлено, что все указанные выше глипролины меланокортинового ряда имеют места специфического связывания на плазматических мембранах клеток гиппокампа. Так, как специфическое связывание на клетках гиппокампа у АКТГ(4-7)-Pro-Gly-Pro (Met-Glu-His-Phe-Pro-Gly-Pro) и АКТГ(6-7)-Pro-Gly-Pro (His-Phe-Pro-Gly-Pro) отличается всего в 1.3 раза, эти пептиды способны за них взаимно конкурировать [56].
В целом необходимо отметить ряд функционально важных особенностей молекулярного механизма действия глипролинов меланокортинового ряда группы. Во-первых, все биологически активные молекулы группы имеют места специфических взаимодействий на поверхности нервных клеток, при этом нельзя полностью исключать существование соответствующих пептидам орфановых рецепторов. Во-вторых, помимо центров связывания с высокой аффинностью, возможно существование центров связывания с более низким сродством, но достаточным для возникновения конкуренции за места связывания со стороны пептидов по отношению к эффекторным молекулам уже известных нейрорецепторов. В-третьих, все исследованные пептиды группы, модифицированные глипролинами, имеют места специфических взаимодействий на мембранах нервных клеток гиппокампа крыс, что позволило скорректировать и, в дальнейшем, стандартизировать методику проведения сравнительных экспериментов на выбранном биологическом объекте.
Приведенные данные носят достоверный количественный характер, но не дают качественную оценку мест специфического взаимодействия меченых пептидов, позволяя лишь с некоторой долей вероятности предполагать существование у изучаемого пептида сродства к тому или иному типу известных нейрорецепторов. Для того чтобы сделать качественную оценку этим взаимодействиям, необходимо использовать и другие схемы проведения экспериментов. Для реализации этих новых подходов учитываются данные о физиологических эффектах исследуемых пептидов, об их влиянии на культуры клеток, на изменение активности генов и т.п. (известно, например, о способности семакса оказывать влияние на нейрохимические показатели дофамин- и серотонинергических систем мозга животных, увеличивать скорость оборота серотонина, активировать гены раннего ответа в ядрах ряда нейронов, влиять на уровень циклического аденозинмонофосфата, концентрацию ионов Са2+ в цитоплазме), а также используются результаты экспериментов по вытеснению меченых пептидов немечеными лигандами. В результате оказывается возможным дать как количественную, так и качественную характеристики пептидного взаимодействия с определенными рецепторными структурами.
VIII. Заключение
При конструировании лекарственных средств одним из перспективных направлений этого процесса является поиск материала, содержащего фрагмент, который обладает необходимой биологической активностью. После идентификации этого фрагмента становится возможным получение положительного результата. Удачным примером такого направления является получение таких лекарственных препаратов, как семакс или селанк.
Другими перспективными направлениями могут быть следующие:
- Синтез ингибиторов, необходимых для регулирования процессов, определяющих жизнедеятельность живых клеток. Они являются основным механизмом контроля в биологических системах, влияя на функционирование фермента. Здесь, как правило, используют неприродные пептиды типа олигоаргининовых или фосфинатных пептидов.
- Использование гибридных соединений. Например, пролинсодержащие биологически активные вещества, такие как производные дофамина, серотонина, доксорубицина, которые с одной стороны более устойчивы в живых организмах, с другой – приобретают дополнительные свойства, полезные при лечении патологий.
- Формирование набора меченных тритием аналогов пептидов и/или пептидных производных, содержащих флуоресцентные зонды, для проведения экспериментов in vivo и для определения специфического связывания. Без фармакокинетических исследований нельзя определить параметры, которые важны для использования на практике лекарственных препаратов.
- Необходимо подчеркнуть, что, хотя использование дейтерия для отработки условий введения трития в органические соединения носит вспомогательный характер, но в тоже время он необходим для оценки распределения метки, и эта предварительная работа часто занимает основное время. По-видимому, весьма уместно здесь уделить несколько строчек направлению, связанному с получением дейтерированных препаратов, которые могут использоваться и как лекарственные средства. Особенно это стало актуальным в последнее время, когда FDA (США) одобрило дейтерированные препараты в качестве лекарств, после чего начались клинические испытания большого количества дейтерированных препаратов. Именно получению дейтерированных препаратов посвящено в последнее время много работ [93–99].
Только опираясь на знания, перечисленные выше, можно достаточно подробно разобраться, как взаимодействует кандидат в лекарственные препараты с рецепторными системами клетки, приблизиться к пониманию молекулярной основы формирования клеточного ответа [100, 101]. И только потом станет возможным проведение доклинических процедур, проведение клинических исследований, оформление разрешительной документации на лекарственное средство и внедрение препарата в клиническую практику.
Благодарности
Коллектив авторов благодарит В.В. Безуглова (Государственный научный центр РФ Институт биоорганической химии им. академиков М.М. Шемякина и Ю.А. Овчинникова РАН), О.Ю. Соколова (Научный центр психического здоровья) и В.В. Рагулина (Институт физиологически активных веществ Федерального исследовательского центра проблем химической физики и медицинской химии РАН) и их сотрудникам за данные, которые были включены в обзор.
Финансирование работы
Работа проведена в рамках выполнения государственного задания НИЦ “Курчатовский институт”.
Конфликт интересов
Авторы заявляют об отсутствии конфликта интересов.
Об авторах
В. П. Шевченко
Национальный исследовательский центр “Курчатовский институт” (НИЦ “Курчатовский институт”)
Автор, ответственный за переписку.
Email: nagaev.img@yandex.ru
Россия, 123182, Москва
Т. В. Вьюнова
Национальный исследовательский центр “Курчатовский институт” (НИЦ “Курчатовский институт”)
Email: nagaev.img@yandex.ru
Россия, 123182, Москва
Л. А. Андреева
Национальный исследовательский центр “Курчатовский институт” (НИЦ “Курчатовский институт”)
Email: nagaev.img@yandex.ru
Россия, 123182, Москва
И. Ю. Нагаев
Национальный исследовательский центр “Курчатовский институт” (НИЦ “Курчатовский институт”)
Email: nagaev.img@yandex.ru
Россия, 123182, Москва
К. В. Шевченко
Национальный исследовательский центр “Курчатовский институт” (НИЦ “Курчатовский институт”)
Email: nagaev.img@yandex.ru
Россия, 123182, Москва
Н. Ф. Мясоедов
Национальный исследовательский центр “Курчатовский институт” (НИЦ “Курчатовский институт”)
Email: nagaev.img@yandex.ru
академик
Россия, 123182, МоскваСписок литературы
- Lebedev D.S., Kryukova E.V., Ivanov I.A., Egorova N.S., Timofeev N.D., Spirova E.N., Tufanova E.Yu., Siniavin A.E., Kudryavtsev D.S., Kasheverov I.E., Zouridakis M., Katsarava R., Zavradashvili N., Iagorshvili Ia., Tzartos S.J., Tsetlin V.I. // Mol. Pharmacol. 2019. V. 96. № 5. P. 664–673. http s://doi.org/10.1124/mol.119.117713
- Лаврова А.В., Грецкая Н.М., Акимов М.Г., Безуглов В.В. // Биоорг. химия. 2019. Т. 45. № 5. С. 545–554. http s://doi.org/10.1134/S0132342319040055
- Osmakov D.I., Koshelev S.G., Ivanov I.A., Andreev Y.A., Kozlov S.A. // Biomolecules. 2019. V. 9. № 9. Article 401. http s://doi.org/10.3390/biom9090401
- Liu X., Lynn B.C., Zhang J., Song L., Bom D., Du W., Curran D.P., Burke Th.G. // J. Am. Chem. Soc. 2002. V. 124. № 26. P. 7650–7651. http s://doi.org/10.1021/ja0256212
- Zhang X., Zhang X., Yu P., Han Y., Li Y., Li C. // J. Pharm. Sci. 2013. V. 102. № 1. P. 145–153. http s://doi.org/10.1002/jps.23344
- Huang S., Fang R., Xu J., Qiu Sh., Zhang H., Du J., Cai Sh. // J. Drug Target. 2011. V. 19. № 7. P. 487–496. http s://doi.org/10.3109/1061186X.2010.511225
- Gileva A., Sarychev G., Kondrya U., Mironova M., Sapach A., Selina O., Budanova U., Burov S., Sebyakin Yu., Markvicheva E. // Mater. Sci. Eng. C Mater. Biol. Appl. 2019. V. 100. P. 724–734. http s://doi.org/10.1016/j.msec.2019.02.111
- Глазова Н.Ю., Левицкая Н.Г., Андреева Л.А., Каменский А.А., Мясоедов Н.Ф. // Докл. АН. 1999. Т. 367. № 1. С. 137–140.
- Ашмарин И.П., Алфеева Л.Ю., Андреева Л.А., Гривенников И.А., Дубынин В.А., Каменский А.А., Козловская М.М., Левицкая Н.Г., Мясоедов Н.Ф., Незавибатько В.Н., Середенин С.Б. Семейство пептидов, обладающих нейротропными свойствами. Патент РФ № 2206573. 2003.
- Алфеева Л.Ю., Андреева Л.А., Воронина Т.А., Гузеватых Л.С., Емельянова Т.Г., Мясоедов Н.Ф., Середенин С.Б. Семейство пептидов, обладающее анальгетической активностью. Патент РФ № 2286169. 2006.
- Андреева Л.А., Мясоедов Н.Ф., Зозуля А.А., Кост Н.В., Мешавкин В.К., Воронина Т.А., Гарибова Т.Л., Середенин С.Б. Средство, обладающее антипсихотической активностью. Патент РФ № 2411248. 2011.
- Андреева Л.А., Мезенцева М.В., Шаповал И.М., Щербенко В.Э., Ершов Ф.И., Мясоедов Н.Ф. Средство против вирусов: энцефаломиокардита, гриппа А, простого герпеса 2. Патент РФ № 2411249. 2011.
- Kolomin T., Shadrina M., Slominsky P., Limborska S., Myasoedov N.F. // Neurosci. Med. 2013. V. 4. № 4. P. 223–252. http s://doi.org/10.4236/nm.2013.44035
- Вьюнова Т.В., Андреева Л.А., Шевченко К.В., Шевченко В.П., Мясоедов Н.Ф. // Нейрохимия. 2016. Т. 33. № 3. С. 230–237. http s://doi.org/10.7868/S1027813316030134
- Пономарева-Степная М.А., Бахарев В.Д., Незавибатько В.Н., Андреева Л.А., Алфеева Л.Ю., Потаман В.Н. // Хим.-фарм. журн. 1986. Т. 20. № 6. С. 667–670.
- Пономарева-Степная М.А., Незавибатько В.Н., Антонова Л.В., Андреева Л.А., Алфеева Л.Ю., Потаман В.Н., Каменский А.А., Ашмарин И.П. // Хим.-фарм. журн. 1984. Т. 18. № 7. С. 790–795.
- Ашмарин И.П., Незавибатько В.Н., Мясоедов Н.Ф., Каменский А.А., Гривенников И.А., Пономарева-Степная М.Я., Андреева Л.А., Каплан А.Я., Кошелев В.Б., Рясина Т.В. // Журнал высшей нервной деятельности им. И.П. Павлова. 1997. Т. 47. № 2. С. 420–430.
- Семенова А.И. // Практическая онкология. 2009. Т. 10. № 3. С. 168–176.
- Minotti G., Menna P., Salvatorelli E., Cairo G., Gianni L. // Pharmacol. Rev. 2004. V. 56. № 2. P. 185–229. http s://doi.org/10.1124/pr.56.2.6
- Octavia Y., Tocchetti C.G., Gabrielson K.L., Janssens S., Crijns H.J., Moens A.L. // J. Mol. Cell. Cardiol. 2012. V. 52. № 6. P. 1213–1225. http s://doi.org/10.1016/j.yjmcc.2012.03.006
- Шевченко К.В., Андреева Л.А., Нагаев И.Ю., Шевченко В.П., Мясоедов Н.Ф. // Биомед. химия. 2019. Т. 65. № 6. С. 498–506. http s://doi.org/10.18097/PBMC20196506498
- Bisogno T., Melck D., Bobrov M.Yu., Gretskaya N.M., Bezuglov V.V., De Petrocellis L., Di Marzo V. // Biochem. J. 2000. V. 351. № 3. P. 817–824. http s://doi.org/10.1042/bj3510817
- Бобров М.Ю., Генрихс Е.Е., Барсков И.В., Лыжин А.А., Фрумкина Л.Е., Андрианова Е.Л., Оборина М.В., Хаспеков Л.Г. Нейропротекторный эффект модуляторов эндогенной каннабиноидной системы при экспериментальной церебральной ишемии. Материалы Международной конференции “Рецепторы и внутриклеточная сигнализация” (24–26 мая 2011 г., Пущино, Россия). 2011. Т. 1. С. 94–98.
- Радченко Е.В., Карпов П.В., Соснин С.Б., Дябина А.С., Соснина Е.А., Палюлин В.А., Зефиров Н.С. Cистема прогнозирования фармакокинетических свойств и токсичности лекарственных веществ. Материалы XX Менделеевского съезда по общей и прикладной химии (26–30 сентября 2016 г., Екатеринбург, Россия). 2016. С. 432.
- Дябина А.С., Радченко Е.В., Палюлин В.А., Зефиров Н.С. // Докл. АН. 2016. Т. 470. № 6. С. 720–723. http s://doi.org/10.7868/S0869565216300253
- Шевченко В.П., Андреева Л.А., Нагаев И.Ю., Шевченко К.В., Мясоедов Н.Ф. // Радиохимия. 2020. Т. 62. № 3. С. 247–252. http s://doi.org/10.31857/S0033831120030090
- Di L., Kerns E.H., Fan K., McConnell O.J., Carter G.T. // Eur. J. Med. Chem. 2003. V. 38. № 3. P. 223–232. http s://doi.org/10.1016/s0223-5234(03)00012-6
- Шевченко В.П., Андреева Л.А., Нагаев И.Ю., Шевченко К.В., Мясоедов Н.Ф. // Докл. АН. 2019. Т. 488. № 6. С. 682–684. http s://doi.org/10.31857/S0869-56524886682-684
- Lee G., Dallas S., Hong M., Bendayan R. // Pharmacol. Rev. 2001. V. 53. № 4. P. 569–596.
- Collinsova M., Jiracek J. // Curr. Med. Chem. 2000. V. 7. № 6. P. 629–647. http s://doi.org/10.2174/0929867003374831
- Дмитриев М.Э., Винюков А.В., Рагулин В.В., Мясоедов Н.Ф. // Журн. общ. хим. 2015. Т. 85. № 9. С. 1576–1579
- Peyman A., Budt K.-H., Spanig J., Stowasser B., Ruppert D. // Tetrahedron Lett. 1992. V. 33. № 32. P. 4549–4552. http s://doi.org/10.1016/S0040-4039(00)61309-6
- Peyman A., Wagner K., Budt K.-H., Spanig J., Ruppert D., Meichsner C., Paessens A. // Bioorg. Med. Chem. Lett. 1994. V. 4. № 10. P. 1191–1194. http s://doi.org/10.1016/S0960-894X(01)80327-9
- Dive V., Georgiadis D., Matziari M., Makaritis A., Beau F., Cuniasse P., Yiotakis A. // Cell. Mol. Life Sci. 2004. V. 61. № 16. P. 2010–2019. http s://doi.org/10.1007/s00018-004-4050-y
- Гринштейн Дж., Виниц М. Химия аминокислот и пептидов. М.: Мир, 1965. 826 с.
- Гершкович А.А., Кибирев В.К. Химический синтез пептидов. Киев: Наукова Думка, 1992. 360 с.
- Шевченко В.П., Андреева Л.А., Шевченко К.В., Нагаев И.Ю., Мясоедов Н.Ф. // Радиохимия. 2020. Т. 62. № 4. С. 344–347. http s://doi.org/10.31857/S0033831120040085
- Шевченко В.П., Андреева Л.А., Нагаев И.Ю., Мясоедов Н.Ф. // Докл. АН. 2019. Т. 485. № 2. С. 182–185. http s://doi.org/10.31857/S0869-56524852182-185
- Шевченко К.В., Нагаев И.Ю., Андреева Л.А., Шевченко В.П., Мясоедов Н.Ф. // Хим.-фарм. журн. 2019. Т. 53. № 2. С. 3–15. http s://doi.org/10.30906/0023-1134-2019-53-2-3-15
- Kadota Т., Yamaai Т., Saito Y., Akita Y., Kawashima S., Moroi K., Inagaki N., Kadota K. // J. Histochem. Cytochem. 1996. V. 44. № 9. P. 989–996. http s://doi.org/10.1177/44.9.8773564
- Yiotakis A., Vassiliou S., Jiracek J., Dive V. // J. Org. Chem. 1996. V. 61. № 19. P. 6601–6605. http s://doi.org/10.1021/jo9603439
- Шевченко К.В., Дмитриев М.Э., Винюков А.В., Шевченко В.П., Калашникова И.П., Нагаев И.Ю., Рагулин В.В., Мясоедов Н.Ф. // Докл. Российской академии наук. Химия, науки о материалах. 2021. Т. 498. С. 30–33. http s://doi.org/10.31857/S2686953521010106
- Шевченко В.П., Нагаев И.Ю., Мясоедов Н.Ф. Меченные тритием липофильные соединения. М.: Наука, 2003. 246 с.
- Шевченко В.П., Радилов А.С., Нагаев И.Ю., Шевченко К.В., Рембовский В.Р., Мясоедов Н.Ф. // Радиохимия. 2015. Т. 57. № 5. С. 463–465.
- Шевченко В.П., Нагаев И.Ю., Шевченко К.В., Мясоедов Н.Ф. // Радиохимия. 2013. Т. 55. № 3. С. 284–288.
- Шевченко В.П., Нагаев И.Ю., Шевченко К.В., Мясоедов Н.Ф. // Докл. АН. 2016. Т. 466. № 6. С. 683–687. http s://doi.org/10.7868/S086956521606013X
- Шевченко В.П., Нагаев И.Ю., Петунов С.Г., Шевченко К.В., Радилов А.С., Мясоедов Н.Ф. // Докл. АН. 2015. Т. 464. № 5. С. 562–567. http s://doi.org/10.7868/S0869565215290149
- Mosmann T. // J. Immunol. Methods. 1983. V. 65. № 1–2. P. 55–63. http s://doi.org/10.1016/0022-1759(83)90303-4
- Chen J., Rusnak M., Luedtke R.R., Sidhu A. // J. Biol. Chem. 2004. V. 279. № 38. P. 39317–39330. http s://doi.org/10.1074/jbc.M403891200
- Siddiqui M.A., Kashyap M.P., Khanna V.K., Yadav S., Al-Khedhairy A.A., Musarrat J., Pant A.B. // Toxicol. Ind. Health. 2010. V. 26. № 8. P. 533–542. http s://doi.org/10.1177/0748233710377776
- Marinova Z., Walitza S., Grunblatt E. // Prog. Neuropsychopharmacol. Biol. Psychiatry. 2013. V. 44. P. 64–72. http s://doi.org/10.1016/j.pnpbp.2013.01.017
- Soll C., Riener M.-O., Oberkofler C.E., Hellerbrand C., Wild P.J., DeOliveira M.L., Clavien P.-A. // Clin. Cancer Res. 2012. V. 18. № 21. P. 5902–5910. http s://doi.org/10.1158/1078-0432.CCR-11-1813.
- Нагаев И.Ю., Шевченко В.П., Дмитриев М.Э., Головаш С.Р., Бородачев А.В., Андреева Л.А., Рагулин В.В., Мясоедов Н.Ф. Повышение устойчивости дофамина и серотонина получением производных по аминогруппе и синтез меченных изотопами водорода аналогов. Материалы 6-й Российской конференции по медицинской химии Медхим 2024 (1–4 июля 2024 г., Нижний Новгород, Россия). 2024. С. 350.
- Позднякова А.Н., Черемных Е.Г., Соколов О.Ю., Кост Н.В., Шевченко К.В., Шевченко В.П., Нагаев И.Ю., Андреева Л.А., Мясоедов Н.Ф. // Доклады Российской Академии Наук. Науки о жизни. 2021. Т. 497. С. 199–203. http s://doi.org/10.31857/S2686738921020220
- Шевченко К.В., Вьюнова Т.В., Нагаев И.Ю., Андреева Л.А., Мясоедов Н.Ф. // Биоорг. химия. 2013. Т. 39. № 3. С. 320–325. http s://doi.org/10.7868/S0132342313030159
- Вьюнова Т.В., Шевченко К.В., Андреева Л.А., Шевченко В.П., Радилов А.С., Дулов С.А., Петунов С.Г., Мясоедов Н.Ф. // Хим.-фарм. журн. 2017. Т. 51. № 5. С. 9–12.
- Шевченко К.В., Вьюнова Т.В., Андреева Л.А., Нагаев И.Ю., Шевченко В.П., Мясоедов Н.Ф. // Хим.-фарм. журн. 2015. Т. 49. № 2. С. 12–17.
- Шевченко К.В., Дулов С.А., Андреева Л.А., Нагаев И.Ю., Шевченко В.П., Радилов А.С., Мясоедов Н.Ф. // Биоорг. химия. 2016. Т. 42. № 2. С. 171–181. http s://doi.org/10.7868/S0132342316020123
- Шевченко К.В., Андреева Л.А., Нагаев И.Ю., Шевченко В.П., Мясоедов Н.Ф. Роль протеолиза пептидов в формировании клеточного ответа. Материалы 6-ой Международной конференции “Биологические основы индивидуальной чувствительности к психотропным средствам” (9–13 ноября 2015 г., Мытищи, Россия). 2015. С. 64.
- Walker J.R., Altman R.K., Warren J.W., Altman E. // J. Pept. Res. 2003. V. 62. № 5. P. 214–226. http s://doi.org/10.1034/j.1399-3011.2003.00085.x
- Hooper N.M., Htyszko J., Turner A.J. // Biochem. J. 1990. V. 267. № 2. P. 509–515. http s://doi.org/10.1042/bj2670509
- Fleminger G., Yaron A. // Biochim. Biophys. Acta. 1984. V. 789. № 3. P. 245–256. http s://doi.org/10.1016/0167-4838(84)90180-8
- Lin L.N., Brandts J.F. // Biochemistry. 1979. V. 18. № 23. P. 5037–5042. http s://doi.org/10.1021/bi00590a002
- Yaron A., Naider F. // Crit. Rev. Biochem. Mol. Biol. 1993. V. 28. № 1. P. 31–81. http s://doi.org/10.3109/10409239309082572
- Lin L.N., Brandts J.F. // Biochemistry. 1979. V. 18. № 1. P. 43–47. http s://doi.org/10.1021/bi00568a007
- King G.F., Kuchel P.W. // Biochem. J. 1984. V. 220. № 2. P. 553–560. http s://doi.org/10.1042/bj2200553
- Kenny A.J., Booth A.G., George S.G., Ingram J., Kershaw D., Wood E.J., Young A.R. // Biochem. J. 1976. V. 157. № 1. P. 169–182. http s://doi.org/10.1042/bj1570169
- Heins J., Welker P., Schonlein C., Born J., Hartrodt B., Neubert K., Tsuru D., Barth A. // Biochim. Biophys. Acta. 1988. V. 954. № 2. P. 161–169. http s://doi.org/10.1016/0167-4838(88)90067-2
- Morita A., Chung Y.C., Freeman H.J., Erickson R.H., Sleisinger M.H., Kim Y.S. // J. Clin. Invest. 1983. V. 72. № 2. P. 610-616. http s://doi.org/10.1172/JCI111009
- Mentlein R., Struckhoff G. // J. Neurochem. 1989. V. 52. № 4. P. 1284–1293. http s://doi.org/10.1111/j.1471-4159.1989.tb01877.x
- Шевченко К.В., Вьюнова Т.В., Андреева Л.А., Шевченко В.П., Мясоедов Н.Ф. Фармакокинетика и метаболизм Pro-Gly-Pro-Leu в различных отделах мозга крыс при интраназальном и внутривенном введении. Материалы VI Российского симпозиума “Белки и пептиды” (11–15 июня 2013 г., Уфа, Россия). 2013. С. 173.
- Шевченко К.В., Вьюнова Т.В., Андреева Л.А., Нагаев И.Ю., Шевченко В.П., Мясоедов Н.Ф. // Бюл. эксп. биол. и мед. 2014. Т. 158. № 7. С. 43–48.
- Шевченко К.В., Вьюнова Т.В., Андреева Л.А., Нагаев И.Ю., Шевченко В.П., Мясоедов Н.Ф. // Докл. АН. 2014. Т. 456. № 5. С. 613–617. http s://doi.org/10.7868/S0869565214170290
- Furubayashi Т., Kamaguchi A., Kawaharada K., Masaoka Y., Kataoka M., Yamashita S., Higashi Y., Sakane Т. // Biol. Pharm. Bull. 2007. V. 30. № 5. P. 1007–1010. http s://doi.org/10.1248/bpb.30.1007
- Hashizume R., Ozawa Т., Gryaznov S.M., Bollen A.W., Lamborn K.R., Frey W.H., Deen D.F. // Neuro-Оncology. 2008. V. 10. № 2. P. 112–120. http s://doi.org/10.1215/15228517-2007-052
- Привалова А.М., Гуляева Н.В., Букреева Т.В. // Нейрохимия. 2012. Т. 29. № 2. С. 93–105.
- Шевченко К.В., Нагаев И.Ю., Бабаков В.Н., Андреева Л.А., Шевченко В.П., Радилов А.С., Мясоедов Н.Ф. // Докл. АН. 2015. Т. 464. № 3. С. 373–376. http s://doi.org/10.7868/S0869565215270262
- Шевченко К.В., Андреева Л.А., Нагаев И.Ю., Шевченко В.П., Мясоедов Н.Ф. Протеолиз His-Phe-Arg-Trp-Pro-Gly-Pro [АКТГ(6-9)-PGP] in vitro, in vivo и степень проникновения пептида в кровь и мозг крыс при интраназальном и внутривенном введении. Материалы II Научной конференции “Физиологическая активность регуляторных пептидов”, посвященной 90-летию со дня рождения академика РАМН И.П. Ашмарина (18 сентября 2015 г., Москва, Россия). 2015. С. 45.
- Clerico D.M., To W.C., Lanza D.C. Anatomy of the human nasal passages. In: Handbook of olfaction and gustation. 2nd edn. Doty R.L. (Ed.), New York: Marcel Dekker. Inc., 2003. P. 1–16.
- Нагаев И.Ю., Шевченко В.П., Шевченко К.В., Андреева Л.А., Шрам С.И., Мясоедов Н.Ф. Фармакокинетические характеристики пептида Pro-Gly-Pro-Leu. Материалы V съезда фармакологов России “Научные основы поиска и создания новых лекарств” (14–18 мая 2018 г., Ярославль, Россия). 2018. С. 167.
- Charlton S.T., Whetstone J., Fayinka S.T., Read K.D., Illum L., Davis S.S. // Pharm. Res. 2008. V. 25. № 7. P. 1531–1543. http s://doi.org/10.1007/s11095-008-9550-2
- Смирнов А.Н., Покровская Е.В., Шевченко В.П., Левина И.С., Камерницкий А.В. // Проблемы эндокринологии. 1998. Т. 44. № 1. С. 37–40. http s://doi.org/10.14341/probl199844137-40
- Мясоедов Н.Ф., Гривенников И.А. Проблемы и перспективы молекулярной генетики. М.: Наука, 2004. 330 с.
- Bergelson L.D., Bukrinskaya A.G., Prokazova N.V., Shaposhnikova G.I., Kocharov S.L., Shevchenko V.P., Kornilaeva G.V., Fomina-Ageeva E.V. // Eur. J. Biochem. 1982. V. 128. № 2–3. P. 467–474. http s://doi.org/10.1111/j.1432-1033.1982.tb06988.x
- Проказова Н.В., Михайленко И.А., Преображенский С.Н., Иванов В.О., Шевченко В.П., Репин В.С., Бергельсон Л.Д. // Биологические мембраны. 1986. Т. 3. № 5. С. 463–471.
- Громовых П.С., Андреева Л.А., Алфеева Л.Ю., Шевченко В.П., Нагаев И.Ю., Шевченко К.В., Мясоедов Н.Ф., Гузеватых Л.С., Воронина Т.А. // Радиохимия. 2007. Т. 49. № 1. С. 93–96.
- Громовых П.С., Гузеватых Л.С., Шевченко К.В., Андреева Л.А., Алфеева Л.Ю., Шевченко В.П., Нагаев И.Ю., Воронина Т.А., Мясоедов Н.Ф. // Биоорг. химия. 2007. Т. 33. № 6. С. 581–587.
- Громовых П.С., Соколов О.Ю., Кост Н.В., Зозуля А.А., Гузеватых Л.С., Андреева Л.А., Алфеева Л.Ю., Шевченко К.В., Шевченко В.П., Нагаев И.Ю., Мясоедов Н.Ф. // Докл. АН. 2008. Т. 419. № 2. С. 276–278.
- Вьюнова Т.В., Андреева Л.А., Шевченко К.В., Шевченко В.П., Бобров М.Ю., Безуглов В.В., Мясоедов Н.Ф. // Докл. АН. 2008. Т. 419. № 1. С. 136–137.
- Вьюнова Т.В., Шевченко К.В., Шевченко В.П., Бобров М.Ю., Безуглов В.В., Мясоедов Н.Ф. // Нейрохимия. 2006. Т. 23. № 1. С. 57–62.
- Вьюнова Т.В., Шевченко К.В., Шевченко В.П., Бобров М.Ю., Безуглов В.В., Мясоедов Н.Ф. // Докл. АН. 2006. Т. 410. № 1. С. 134–135.
- Вьюнова Т.В., Шевченко К.В., Шевченко В.П., Безуглов В.В., Мясоедов Н.Ф. Модифицированные фрагменты эндогенных нейропептидов – перспективные кандидаты на роль лекарственных препаратов широкого спектра действия. Материалы V Международного междисциплинарного конгресса “Нейронаука для медицины и психологии” (3–13 июня 2009 г., Судак, Россия). 2009. С. 71.
- Шевченко В.П., Нагаев И.Ю., Мясоедов Н.Ф., Стволинский С.Л. // Радиохимия. 2022. Т. 64. № 6. С. 568–572. http s://doi.org/10.31857/S0033831122060107
- Шевченко В.П., Нагаев И.Ю., Лопачев А.В., Мясоедов Н.Ф. // Хим.-фарм. журн. 2022. Т. 56. № 11. С. 48–52. http s://doi.org/10.30906/0023-1134-2022-56-11-48-52
- Шевченко В.П., Нагаев И.Ю., Федорова Т.Н., Мясоедов Н.Ф. // Доклады Российской академии наук. Науки о жизни. 2023. Т. 508. № 1. С. 23–29. http s://doi.org/10.31857/S2686738922700020
- Шевченко В.П., Нагаев И.Ю., Куликова О.И., Мясоедов Н.Ф. // Доклады Российской академии наук. Химия, науки о материалах. 2023. Т. 511. № 1. С. 42–46. http s://doi.org/10.31857/S2686953523600058
- Syroeshkin A., Pleteneva T., Uspenskaya E., Zlatskiy I., Antipova N., Grebennikova T., Levitskaya O. // Chem. Eng. J. 2019. V. 377. Article 119827. http s://doi.org/10.1016/j.cej.2018.08.213
- Pirali T., Serafini M., Cargnin S., Genazzani A.A. // J. Med. Chem. 2019. V. 62. № 11. P. 5276–5297. http s://doi.org/10.1021/acs.jmedchem.8b01808
- Atzrodt J., Derdau V., Kerr W.J., Reid M. // Angew. Chem. Int. Ed. 2018. V. 57. № 7. P. 1758–1784. http s://doi.org/10.1002/anie.201704146
- Ляпина Л.А., Григорьева М.Е., Оберган Т.Ю., Шубина Т.А., Мясоедов Н.Ф., Андреева Л.А. Синхронизм действия регуляторных пептидов на метаболизм жиров, углеводов и систему гемостаза. М.: Ким Л.А., 2021. 110 с.
- Мясоедов Н.Ф., Ляпина Л.А., Григорьева М.Б., Оберган Т.Ю., Шубина Т.А., Андреева Л.А. Комплексная роль глипролиновых пептидов в регуляции метаболизма жиров, углеводов и системы гемостаза. М.: Ким Л.А., 2021. 102 с.
Дополнительные файлы













