Thermodynamic functions of Tm2O3‧2HfO2 solid solution and Shottky anomaly
- Authors: Guskov А.V.1, Gagarin P.G.1, Guskov V.N.1, Khoroshilov А.V.1, Gavrichev K.S.1
-
Affiliations:
- Kurnakov Institute of General and Inorganic Chemistry, Russian Academy of Sciences
- Issue: Vol 515, No 1 (2024)
- Pages: 54-64
- Section: PHYSICAL CHEMISTRY
- URL: https://ogarev-online.ru/2686-9535/article/view/259119
- DOI: https://doi.org/10.31857/S2686953524020064
- EDN: https://elibrary.ru/zrvgla
- ID: 259119
Cite item
Full Text
Abstract
The molar heat capacity of the solid solution Tm2O3‧2HfO2 has been determined for the first time by relaxation, adiabatic and differential scanning calorimetry, the temperature dependences of entropy and enthalpy increment in the temperature region 0–1800 K have been calculated, and the contribution to the heat capacity of the Schottky anomaly at 0–300 K has been evaluated.
Full Text
Диаграмма состояния системы Tm2O3-HfO2 в области высоких температур (>1700°C) впервые описана в работе [1], где установлено существование непрерывного ряда твердых растворов xTm2O3‧(1 – x)HfO2, (x ≈ 0–0.6), на основе диоксида гафния с кубической структурой типа флюорита Fm3m. Показано, что параметр кубической решетки непрерывного ряда твердых растворов в пределах их существования (x = 0.03–0.58) при температуре 2100°C изменяется в пределах 5.111–5.194 Å. Образование твердых растворов происходит вследствие замещения четырехвалентных ионов Hf4+ трехвалентными ионами Tm3+, а разность в зарядах ионов компенсируется возникновением кислородной вакансии. В целом высокотемпературная часть диаграммы состояния Tm2O3-HfO2 аналогична двойным оксидным гафниевым и циркониевым системам редкоземельных элементов иттриевой подгруппы [2]. Экспериментальных данных по фазовым равновесиям в системе Tm2O3-HfO2 при более низких температурах в литературе не найдено, также как и для других “тяжелых” лантаноидов, за исключением системы Yb2O3-HfO2 [3]. Такие исследования затруднительны из-за чрезвычайно низких скоростей установления равновесий в этих системах при температурах ниже 1200–1500°C. Например, при изучении системы Yb2O3-HfO2 в области температур 800–1500°C время отжигов составляло более 5000 ч (~200 сут) [3]. При этом было найдено, что твердые растворы xYb2O3‧(1 – x)HfO2 при температурах ниже ~650°C распадаются на диоксид гафния и так называемую δ-фазу – гафнат иттербия состава Yb4Hf3O12, температура плавления которого равна примерно 1600°C. Аналогичный распад на простые оксиды экспериментально обнаружен для твердых растворов xY2O3‧(1 – x)ZrO2, а также xY2O3‧(1 – x)HfO2 [4], при этом образования Y4Hf3O12 не установлено. Это означает, что существует вероятность распада твердых растворов xTm2O3‧(1 – x)HfO2 на простые оксиды либо на диоксид гафния и δ-фазу. Модельные расчеты для цирконатных систем подтверждают возможность распада твердых растворов на основе оксидов от тербия до лютеция при температурах ниже 1000°C [5]. Однако необходимые для моделирования фазовых равновесий в гафнатных системах и, в частности, в Tm2O3-HfO2, термодинамические данные отсутствуют.
Серединой непрерывного ряда твердых растворов xTm2O3 ‧ (1 – x)HfO2, (x ≈ 0–0.6) следует считать состав Tm2O3‧2HfO2 с соотношением металлов Tm : Hf = 1 : 1. Стехиометрическое соотношение металлов способствует упорядочению структуры, что подтверждается образованием пирохлоров Ln2Hf2O7 в случае легких лантаноидов (Ln = La–Tb) при соблюдении необходимого для кристаллизации пирохлоров условия RE3+/Hf4+ > 1.45–1.46 (где RE – редкоземельные элементы) [6, 7]. Для тяжелых лантаноидов (от Dy до Lu) это отношение не соблюдается из-за уменьшения размера иона RE3+ в результате лантаноидного сжатия, и образуются твердые растворы со структурой флюорита.
Целью настоящей работы является измерение изобарной теплоемкости твердого раствора Tm2O3‧2HfO2 и расчеты энтропии и приращения энтальпии в интервале температур 0–1800 K.
Образец твердого раствора Tm2O3‧2HfO2 для проведения термодинамических исследований получен методом “обратного” осаждения гидроксидов тулия и гафния со ступенчатым прокаливанием и окончательным отжигом при температуре 1600°C на воздухе в течение 4 ч. По данным элементного анализа был получен образец твердого раствора состава 50.24 ± 0.05 мол. % в расчете на 2HfO2. Такое отклонение от стехиометрии не может оказать заметного влияния на величину теплоемкости и расчетные значения термодинамических функций [8]. Дифракционные рентгеновские исследования, показали (рис. 1), что образец является однофазным с параметром кубической ячейки дефектного флюорита а = 5.170(7) Å, и это соответствует литературным данным [1, 9]. Оценка размеров кристаллитов по Шереру с использованием полуширины дифракционного рефлекса на полувысоте, а также электронно-микроскопические исследования (рис. 2) позволяют заключить, что полученный образец не является наноразмерным, и не требуется внесения поправок на размерный фактор в измеряемые и расчетные термодинамические величины. Энергодисперсионными исследованиями установлено отсутствие посторонних элементов, а картирование по составляющим элементам показало равномерность их распределения по поверхности образца.
Рис. 1. Дифрактограмма образца твердого раствора Tm2O3‧2HfO2, структурный тип Fm3m, а = 5.170(7) Å, CuKα-излучение, λ = 1.5418 Å.
Рис. 2. Морфология поверхности образца твердого раствора Tm2O3‧2HfO2 (флюорит).
Измерения молярной теплоемкости выполнены тремя методами калориметрии: релаксационной в интервале 2.39–24.97 K (30 точек), адиабатической в области 4.62–350.2 K (138 точек) и дифференциальной сканирующей в интервале 315–1805 K (150 точек) (рис. 3, табл. 1). На врезках рис. 3 приведены области, в которых показана стыковка данных по теплоемкости, полученных разными методами, и видно их взаимное соответствие. Температурная зависимость теплоемкости не содержит признаков структурных превращений во всем интервале измерений.
Рис. 3. Экспериментальная теплоемкость твердого раствора Tm2O3‧2HfO2 по результатам релаксационной (1), адиабатической (2) и дифференциальной сканирующей (3) калориметрии; на врезках – области низких температур (0–27 K) и стыковки данных адиабатической и дифференциальной сканирующей калориметрии (320–360 K).
Таблица 1. Экспериментальная теплоемкость твердого раствора Tm2O3‧2HfO2; р = 101.3 кПа
T, K | Cp, Дж моль–1 K–1 | T, K | Cp, Дж моль–1 K–1 | T, K | Cp, Дж моль–1 K–1 |
Релаксационная калориметрия | |||||
2.393 | 0.763 | 6.031 | 2.414 | 15.249 | 5.949 |
2.624 | 0.860 | 6.626 | 2.659 | 16.726 | 6.724 |
2.881 | 0.968 | 7.262 | 2.909 | 18.338 | 7.703 |
3.157 | 1.091 | 7.965 | 3.162 | 20.103 | 8.937 |
3.464 | 1.253 | 8.739 | 3.442 | 22.072 | 10.673 |
3.799 | 1.407 | 9.584 | 3.726 | 24.219 | 12.813 |
4.168 | 1.594 | 10.515 | 4.057 | 26.465 | 14.099 |
4.572 | 1.778 | 11.587 | 4.389 | 29.005 | 17.524 |
5.033 | 1.969 | 12.705 | 4.802 | 31.856 | 21.474 |
5.499 | 2.193 | 13.929 | 5.314 | 35.001 | 24.968 |
Адиабатическая калориметрия | |||||
4.62 | 1.84 | 55.22 | 52.17 | 155.2 | 157.0 |
4.70 | 1.90 | 56.87 | 54.29 | 155.6 | 157.3 |
4.81 | 1.94 | 58.53 | 56.40 | 159.1 | 160.1 |
4.93 | 1.98 | 60.19 | 58.56 | 166.1 | 165.6 |
5.11 | 2.11 | 61.85 | 60.68 | 169.7 | 168.3 |
5.37 | 2.24 | 63.51 | 62.79 | 173.2 | 170.9 |
5.64 | 2.38 | 65.18 | 64.87 | 176.7 | 173.4 |
5.91 | 2.50 | 66.84 | 66.93 | 180.2 | 175.8 |
6.30 | 2.66 | 68.50 | 68.91 | 183.7 | 178.2 |
6.84 | 2.92 | 70.17 | 70.89 | 187.2 | 180.6 |
7.54 | 3.22 | 72.03 | 73.07 | 190.7 | 182.9 |
8.38 | 3.54 | 74.09 | 75.55 | 194.2 | 185.1 |
9.24 | 3.85 | 76.15 | 78.11 | 197.7 | 187.3 |
10.11 | 4.152 | 78.22 | 80.70 | 201.2 | 189.4 |
10.98 | 4.468 | 80.29 | 83.17 | 205.1 | 191.7 |
11.84 | 4.783 | 80.90 | 83.60 | 209.5 | 194.2 |
12.76 | 5.175 | 81.66 | 84.46 | 213.8 | 196.6 |
13.63 | 5.466 | 82.36 | 85.39 | 218.2 | 198.9 |
14.49 | 5.820 | 83.51 | 86.54 | 222.4 | 201.0 |
15.35 | 6.185 | 83.88 | 86.95 | 226.7 | 203.1 |
16.21 | 6.596 | 84.44 | 87.41 | 231.1 | 205.2 |
17.06 | 7.050 | 85.76 | 89.04 | 235.4 | 207.3 |
17.91 | 7.533 | 86.12 | 89.44 | 239.7 | 209.3 |
18.75 | 8.082 | 86.52 | 89.84 | 244.0 | 211.4 |
19.60 | 8.688 | 88.02 | 91.53 | 248.2 | 213.4 |
20.93 | 9.666 | 88.34 | 91.88 | 252.4 | 215.3 |
22.54 | 11.03 | 90.28 | 94.00 | 256.6 | 217.0 |
24.16 | 12.55 | 92.57 | 96.49 | 260.7 | 218.7 |
25.77 | 14.13 | 94.87 | 98.97 | 264.8 | 220.3 |
27.38 | 15.83 | 97.17 | 101.4 | 268.8 | 221.9 |
29.00 | 17.65 | 99.47 | 103.9 | 272.9 | 223.5 |
30.61 | 19.59 | 102.4 | 107.0 | 276.9 | 225.0 |
32.23 | 21.6 | 105.9 | 110.7 | 280.8 | 226.4 |
33.86 | 23.62 | 109.4 | 114.3 | 284.7 | 227.8 |
35.49 | 25.59 | 112.9 | 117.9 | 288.6 | 229.2 |
37.11 | 27.90 | 116.4 | 121.4 | 293.0 | 230.5 |
38.74 | 30.11 | 119.9 | 124.9 | 296.0 | 231.7 |
40.38 | 32.26 | 123.4 | 128.3 | 299.7 | 232.9 |
42.02 | 34.41 | 127.1 | 131.9 | 303.7 | 234.2 |
43.66 | 36.61 | 130.6 | 135.2 | 309.9 | 236.1 |
45.30 | 38.88 | 134.1 | 138.5 | 316.9 | 238.3 |
46.95 | 41.16 | 137.6 | 141.7 | 323.9 | 240.3 |
48.60 | 43.46 | 141.1 | 144.9 | 330.6 | 242.2 |
50.26 | 45.65 | 144.6 | 148.0 | 337.3 | 244.0 |
51.91 | 47.84 | 148.2 | 151.1 | 343.8 | 245.7 |
53.56 | 50.03 | 151.7 | 154.1 | 350.2 | 247.4 |
Дифференциальная сканирующая калориметрия | |||||
315 | 237.6 | 815 | 283.4 | 1315 | 295.2 |
325 | 240.7 | 825 | 283.7 | 1325 | 295.6 |
335 | 243.8 | 835 | 284.2 | 1335 | 295.8 |
345 | 246.0 | 845 | 284.6 | 1345 | 296.1 |
355 | 249.0 | 855 | 284.4 | 1355 | 296.1 |
365 | 250.9 | 865 | 285.5 | 1365 | 296.5 |
375 | 252.3 | 875 | 285.3 | 1375 | 296.7 |
385 | 253.5 | 885 | 285.1 | 1385 | 296.9 |
395 | 254.6 | 895 | 284.9 | 1395 | 297.1 |
405 | 256.5 | 905 | 285.1 | 1405 | 296.7 |
415 | 257.8 | 915 | 285.5 | 1415 | 296.1 |
425 | 258.9 | 925 | 285.8 | 1425 | 296.4 |
435 | 260.0 | 935 | 285.8 | 1435 | 296.4 |
445 | 261.8 | 945 | 286.1 | 1445 | 297.1 |
455 | 262.8 | 955 | 286.2 | 1455 | 297.0 |
465 | 264.1 | 965 | 286.8 | 1465 | 298.0 |
475 | 265.4 | 975 | 286.8 | 1475 | 298.0 |
485 | 266.2 | 985 | 287.1 | 1485 | 297.8 |
495 | 267.1 | 995 | 287.0 | 1495 | 298.8 |
505 | 268.2 | 1005 | 287.8 | 1505 | 299.0 |
515 | 269.2 | 1015 | 288.3 | 1515 | 299.0 |
525 | 269.7 | 1025 | 287.9 | 1525 | 298.8 |
535 | 270.8 | 1035 | 287.6 | 1535 | 298.3 |
545 | 271.6 | 1045 | 288.0 | 1545 | 298.2 |
555 | 272.2 | 1055 | 288.1 | 1555 | 298.2 |
565 | 272.5 | 1065 | 288.2 | 1565 | 298.4 |
575 | 272.9 | 1075 | 287.9 | 1575 | 299.4 |
585 | 274.0 | 1085 | 289.0 | 1585 | 299.1 |
595 | 274.1 | 1095 | 289.4 | 1595 | 299.2 |
605 | 274.6 | 1105 | 290.2 | 1605 | 300.8 |
615 | 275.0 | 1115 | 290.4 | 1615 | 300.3 |
625 | 276.0 | 1125 | 290.6 | 1625 | 300.5 |
635 | 276.3 | 1135 | 291.2 | 1635 | 300.4 |
645 | 277.4 | 1145 | 291.1 | 1645 | 300.6 |
655 | 278.2 | 1155 | 290.7 | 1655 | 302.2 |
665 | 278.9 | 1165 | 290.8 | 1665 | 301.8 |
675 | 279.4 | 1175 | 291.1 | 1675 | 302.1 |
685 | 279.4 | 1185 | 290.6 | 1685 | 302.1 |
695 | 279.6 | 1195 | 290.7 | 1695 | 302.3 |
705 | 279.8 | 1205 | 292.4 | 1705 | 301.6 |
715 | 280.0 | 1215 | 292.0 | 1715 | 301.2 |
725 | 280.1 | 1225 | 292.8 | 1725 | 301.6 |
735 | 280.4 | 1235 | 293.0 | 1735 | 302.0 |
745 | 281.0 | 1245 | 292.0 | 1745 | 302.0 |
755 | 281.9 | 1255 | 292.3 | 1755 | 302.7 |
765 | 282.0 | 1265 | 292.6 | 1765 | 303.6 |
775 | 282.5 | 1275 | 293.7 | 1775 | 304.0 |
785 | 282.3 | 1285 | 293.7 | 1785 | 304.0 |
795 | 283.4 | 1295 | 294.1 | 1795 | 304.0 |
805 | 283.8 | 1305 | 295.0 | 1805 | 303.9 |
Экспериментальные данные экстраполировали к 0 K и сглаживали полиномом 6 степени в области 0–35 K. Для аппроксимации теплоемкости в интервале температур 20–1800 K применили программу CpFit [10, 11]. Сглаженные значения теплоемкости Cp и термодинамические функции твердого раствора Tm2O3‧2HfO2 приведены в табл. 2. Параметры использованных для расчетов моделей приведены в табл. 3.
Таблица 2. Теплоемкость, энтропия и приращение энтальпии твердого раствора Tm2O3‧2HfO2 (флюорит)
T, K | Cp, Дж моль–1 K–1 | S(T), Дж моль–1 K–1 | H(T) – H(0 K), Дж моль–1 |
1 | 0.2889 а | 0.2601 а | 0.1351 а |
2 | 0.6670 а | 0.5725 а | 0.6074 а |
3 | 1.096 | 0.9229 | 1.486 |
4 | 1.547 | 1.300 | 2.806 |
5 | 1.999 | 1.693 | 4.579 |
6 | 2.439 | 2.097 | 6.800 |
7 | 2.861 | 2.505 | 9.451 |
8 | 3.263 | 2.913 | 12.51 |
9 | 3.646 | 3.320 | 15.97 |
10 | 4.016 | 3.723 | 19.80 |
12 | 4.748 | 4.520 | 28.56 |
14 | 5.533 | 5.310 | 38.83 |
16 | 6.449 | 6.106 | 50.78 |
18 | 7.561 | 6.928 | 64.75 |
20 | 8.913 | 7.792 | 81.19 |
25 | 13.38 | 10.23 | 136.3 |
30 | 19.05 | 13.16 | 216.8 |
35 | 25.49 | 16.57 | 328.1 |
40 | 32.04 | 20.40 | 471.9 |
45 | 38.58 | 24.56 | 648.5 |
50 | 45.08 | 28.96 | 857.6 |
55 | 51.56 | 33.56 | 1099 |
60 | 57.98 | 38.32 | 1373 |
65 | 64.32 | 43.21 | 1679 |
70 | 70.55 | 48.21 | 2016 |
75 | 76.64 | 53.28 | 2384 |
80 | 82.59 | 58.42 | 2782 |
85 | 88.38 | 63.60 | 3210 |
90 | 94.02 | 68.81 | 3666 |
95 | 99.51 | 74.04 | 4150 |
100 | 104.9 | 79.28 | 4661 |
110 | 115.2 | 89.77 | 5762 |
120 | 125.1 | 100.2 | 6963 |
130 | 134.5 | 110.6 | 8262 |
140 | 143.6 | 120.9 | 9653 |
150 | 152.2 | 131.1 | 11130 |
160 | 160.3 | 141.2 | 12690 |
170 | 168.0 | 151.1 | 14340 |
180 | 175.3 | 161.0 | 16050 |
190 | 182.2 | 170.6 | 17840 |
200 | 188.6 | 180.1 | 19700 |
210 | 194.6 | 189.5 | 21610 |
220 | 200.2 | 198.7 | 23590 |
230 | 205.4 | 207.7 | 25610 |
240 | 210.3 | 216.5 | 27690 |
250 | 214.8 | 225.2 | 29820 |
260 | 219.0 | 233.7 | 32000 |
270 | 223.0 | 242.1 | 34200 |
280 | 226.6 | 250.2 | 36450 |
290 | 230.1 | 258.2 | 38730 |
298.15 | 232.7 | 264.7 | 40620 |
300 | 233.3 | 266.1 | 41050 |
310 | 236.2 | 273.8 | 43390 |
320 | 239.0 | 281.3 | 45770 |
330 | 241.6 | 288.7 | 48170 |
340 | 244.0 | 296.0 | 50600 |
350 | 246.3 | 303.1 | 53050 |
400 | 255.7 | 336.6 | 65620 |
450 | 262.6 | 367.2 | 78580 |
500 | 267.8 | 395.1 | 91840 |
550 | 271.8 | 420.8 | 105300 |
600 | 274.9 | 444.6 | 119000 |
650 | 277.5 | 466.7 | 132800 |
700 | 279.6 | 487.4 | 146700 |
750 | 281.3 | 506.7 | 160800 |
800 | 282.9 | 524.9 | 174900 |
850 | 284.2 | 542.1 | 189100 |
900 | 285.5 | 558.4 | 203300 |
950 | 286.6 | 573.8 | 217600 |
1000 | 287.8 | 588.6 | 232000 |
1100 | 289.9 | 616.1 | 260800 |
1200 | 292.0 | 641.4 | 289900 |
1300 | 294.1 | 664.9 | 319200 |
1400 | 296.2 | 686.8 | 348800 |
1500 | 298.2 | 707.3 | 378500 |
1600 | 300.2 | 726.6 | 408400 |
1700 | 302.1 | 744.8 | 438500 |
1800 | 303.9 | 762.1 | 468800 |
а Курсивом приведены расчетные значения.
Таблица 3. Параметры сглаживающих моделей для теплоемкости Tm2O3‧2HfO2
0–35 K, Cp = ΣAiT i | ||||||
i | Ai | |||||
1 | 0.2286 | |||||
2 | 0.06907 | |||||
3 | –0.009308 | |||||
4 | 0.0005281 | |||||
5 | –0.00001259 | |||||
6 | 0.0000001090 | |||||
20–1800 K, CpFit Cp(T) = 3RΣαi[(θi/T)2eθi /T / (eθi /T – 1)2] (R – универсальная газовая постоянная, αi и θi – варьируемые параметры) | ||||||
i | αi | Δ(αi)а | s(αi)б | θi, K | Δ(θi)а, K | s(θi)б, K |
1 | 0.2490 | 0.01767 | 0.008979 | 20.31 | 1.606 | 0.8163 |
2 | 4.000 | 0.1342 | 0.06821 | 338.8 | 15.55 | 7.905 |
3 | 2.516 | 0.1787 | 0.09081 | 140.7 | 4.947 | 2.514 |
4 | 4.969 | 0.2081 | 0.1058 | 748.5 | 12.412 | 6.308 |
5 | 1.713 | 0.1377 | 0.07000 | 7119 | 264.1 | 134.2 |
а Δ(ji) – 95% доверительный интервал. б s(ji) – стандартное отклонение для параметров ji.
Наиболее интересные результаты получены в области гелиевых температур (2–37 K) (рис. 4). Теплоемкость Tm2O3‧2HfO2 представлена по результатам измерений релаксационной (кривая 1) и адиабатической (кривая 2) калориметрии, для сравнения там же приведены теплоемкости твердых растворов парамагнитного Dy2O3‧2HfO2 (кривая 3) [12] и диамагнитного Lu2O3‧2HfO2 (кривая 4) [13]. Измеренная теплоемкость Tm2O3‧2HfO2 в интервале температур 5–37 K превышает теплоемкость Dy2O3‧2HfO2 (кривая 3). Вместе с тем, ниже 5 K в поведении теплоемкости Tm2O3‧2HfO2 отсутствуют признаки существования нисходящей ветви магнитного перехода, наблюдаемого у остальных соединений и твердых растворов двойных оксидов гафния (циркония) и лантаноидов до температур 15–20 K. Исключение составляют диамагнитные соединения лантана и лютеция, а также европия, чей угловой момент электронов, как известно [14], равен нулю. Возможно, что для Tm2O3‧2HfO2 наблюдается аналогия с соединениями европия. К сожалению, в настоящее время отсутствуют экспериментальные данные о существовании аномалии у Tm2O3‧2HfO2 в области 0–2.5 K, поэтому выполненные экстраполяция теплоемкости к 0 K и расчеты термодинамических функций проведены в предположении отсутствия магнитных превращений в интервале 0–2.5 K. Наличие магнитного превращения в этой температурной области окажет незначительное влияние на приращение энтальпии, которое уже при температуре 298 K будет сравнимо с экспериментальными погрешностями. Между тем, значение энтропии в результате магнитного превращения при образовании спинового льда или антиферромагнитного упорядочения спинов составит довольно заметную величину от Smag = 2R[ln2 – 0.5ln(3/2)] = 8.2 Дж моль–1 K–1 до Smag = 2Rln2 = 11.52 Дж моль–1K–1 [15], которая окажет значительное влияние на расчеты свободной энергии Гиббса при моделировании равновесий. Другой особенностью поведения теплоемкости твердого раствора является то, что экспериментальная теплоемкость Tm2O3‧2HfO2 выше температуры 5K превышает не только теплоемкость Lu2O3‧2HfO2 (рис. 4, кривая 3), но и Dy2O3‧2HfO2 (рис. 4 кривая 4), хотя лантаноидное сжатие, приводящее к уменьшению объема элементарной ячейки, должно приводить к соотношению Cp(Dy2O3‧2HfO2) > Cp(Tm2O3‧2HfO2) > Cp(Lu2O3‧ ‧ 2HfO2) [16]. Наблюдаемая инверсия для первых двух членов неравенства, а именно Cp(Tm2O3‧2HfO2) > Cp(Dy2O3‧2HfO2) > Cp(Lu2O3‧ ‧2HfO2), свидетельствует об аномальном вкладе в теплоемкость так называемой “аномалии Шоттки” [17]. Аномальное повышение теплоемкости возникает за счет заселения 4f-электронами энергетических уровней, расщепленных под действием кристаллического поля (эффект Штарка). Заселение более высоких энергетических уровней происходит постепенно, по мере возрастания температуры. В отличие от магнитных превращений, наблюдаемых у соединений лантаноидов в достаточно узком интервале низких температур (0–15 K), аномалия Шоттки проявляется во всей температурной области существования этих соединений.
Рис. 4. Молярная теплоемкость твердого раствора Tm2O3‧2HfO2 в области температур 0–37 K по результатам релаксационной (1) и адиабатической (2) калориметрии; теплоемкости твердых растворов Lu2O3‧2HfO2 (3) [13] и Dy2O3‧2HfO2 (4) [12].
Величина вклада аномалии Шоттки может быть рассчитана из спектроскопических данных [17]:
Cv /R = Σi gi(Ei /kT)2e(–Ei /kT)/Q – {Σi gi(Ei /kT)e(–Ei /kT)/Q}2, (1)
где Ei – энергии штарковских уровней с кратностью вырождения gi; T – абсолютная температура, k – константа Больцмана, Q = ∑gie(–Ei /kT) – статистическая сумма.
При отсутствии таких данных для полуколичественной оценки теплоемкости аномалии Шоттки можно принять, что решеточная теплоемкость Tm2O3‧2HfO2 мало отличается от теплоемкости Lu2O3‧2HfO2. Согласно модели Веструма [16] решеточная теплоемкость Tm2O3‧2HfO2 по величине должна располагаться между кривыми 3 и 4 (рис. 4). Расчетная разность молярных теплоемкостей:
ΔСp= Сp(Tm2O3‧2HfO2) –Сp(Lu2O3‧2HfO2) (2)
для области температур 0–300 K приведена на рис. 5. Определять вид аномалии при температурах выше 300 K не имеет смысла из-за высокой погрешности метода ДСК, применяемого для измерений теплоемкости в интервале 300–1800 K.
Рис. 5. Разность теплоемкостей твердых растворов Tm2O3‧2HfO2 (данная работа) и Lu2O3‧2HfO2 [13].
Из рис. 5 видно, что аномальная теплоемкость Шоттки достигает максимума ~17 Дж моль–1 K–1 при температуре 200 K. Следует отметить, что такой вид кривой аномальной теплоемкости согласуется со спектральными данными для иона Tm+3 в фосфатах лантаноидов, в штарковском уровне 3H6 которых присутствует целый набор частот от низких (порядка 30 см–1, приводящие к максимуму теплоемкости около 20 K), так и более высоких (до 300 см–1, максимум теплоемкости для которых расположен около 180 K) [18].
Высокотемпературная теплоемкость твердого раствора Tm2O3‧2HfO2 для удобства расчетов может быть представлена в виде уравнения Майера–Келли:
Cp (Дж моль–1 K–1) =270.8 +
+ 0.0246521T – 3642449.2/T 2, (3)
R2 = 0.9978.
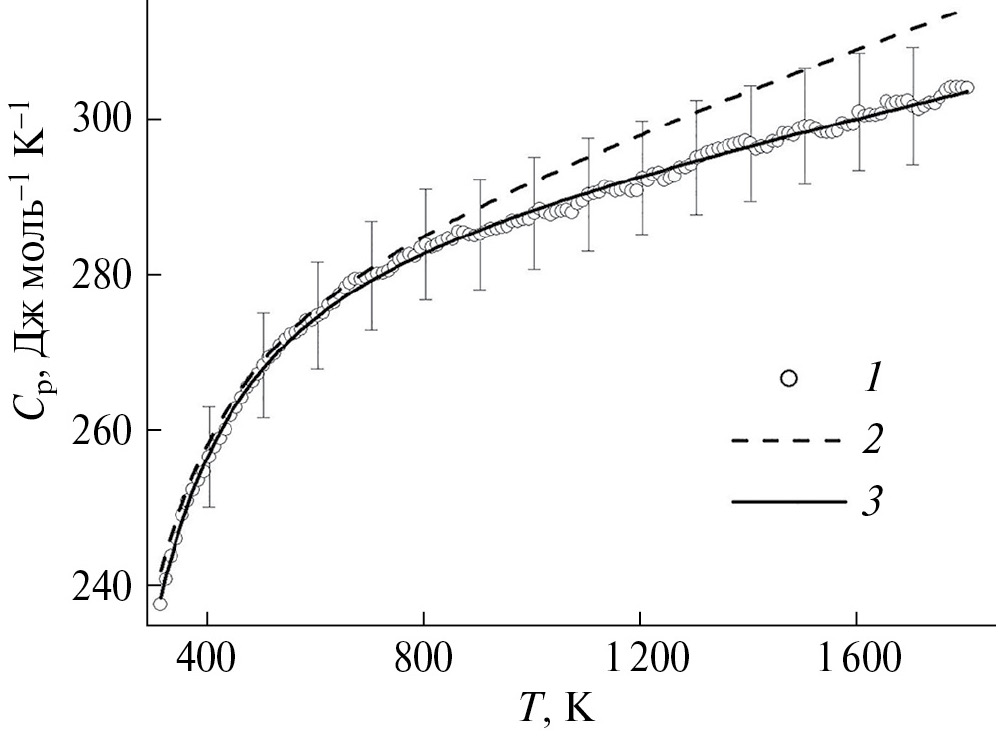
На рис. 6 представлена экспериментальная теплоемкость твердого раствора Tm2O3‧2HfO2 в области температур 300–1800 K в сравнении с расчетной зависимостью, аддитивно полученной из теплоемкостей простых оксидов Tm2O3 [19] и HfO2 [20].
Рис. 6. Высокотемпературная теплоемкость твердого раствора Tm2O3‧2HfO2 (1) и модельный расчет (2) из теплоемкостей простых оксидов Tm2O3 [19] и HfO2 [20], сглаженная теплоемкость (3) (табл. 2).
В изученном температурном диапазоне модельные значения теплоемкости находятся практически в доверительном интервале экспериментальных данных, но расположены выше, и при экстраполяции в область более высоких температур могут внести существенные искажения в расчетные данные.
Представленные данные по теплоемкости и термодинамическим функциям твердого раствора Tm2O3‧2HfO2 получены впервые и могут быть использованы при разработке высокотемпературных материалов на его основе, оценке химической стойкости в условиях контакта с агрессивным окружением и термодинамическом моделировании фазовых равновесий в широком температурном диапазоне.
БЛАГОДАРНОСТЬ
Исследование выполнено с использованием оборудования ЦКП ФМИ ИОНХ РАН.
ФИНАНСИРОВАНИЕ РАБОТЫ
Исследование выполнено при финансовой поддержке Российского научного фонда (проект № 18-13-00025, https://rscf.ru/project/18-13-00025/).
КОНФЛИКТ ИНТЕРЕСОВ
Авторы заявляют, что у них нет конфликта интересов.
About the authors
А. V. Guskov
Kurnakov Institute of General and Inorganic Chemistry, Russian Academy of Sciences
Email: guskov@igic.ras.ru
Russian Federation, 119991, Moscow
P. G. Gagarin
Kurnakov Institute of General and Inorganic Chemistry, Russian Academy of Sciences
Email: guskov@igic.ras.ru
Russian Federation, 119991, Moscow
V. N. Guskov
Kurnakov Institute of General and Inorganic Chemistry, Russian Academy of Sciences
Author for correspondence.
Email: guskov@igic.ras.ru
Russian Federation, 119991, Moscow
А. V. Khoroshilov
Kurnakov Institute of General and Inorganic Chemistry, Russian Academy of Sciences
Email: guskov@igic.ras.ru
Russian Federation, 119991, Moscow
K. S. Gavrichev
Kurnakov Institute of General and Inorganic Chemistry, Russian Academy of Sciences
Email: guskov@igic.ras.ru
Russian Federation, 119991, Moscow
References
- Шевченко А.В., Лопато Л.М., Кирьякова И.Е. // Изв. АН СССР. Неорган. матер. 1984. Т. 20. С. 1991–1996.
- Andrievskaya E.R. // J. Europ. Ceram. Soc. 2008. V. 28. P. 2363–2388. https://doi.org/10.1016/jeurceramsoc.2008.01.009
- Duran P., Pascual C.J. // Mater. Sci. 1984. V. 19. P. 1178–1184. https://doi.org/10.1007/bf01120027
- Trubelja M.F., Stubican V.S. // J. Am. Ceram. Soc. 1988. V. 71. P. 662–666. https://doi.org/10.1111/j.1151–2916.1988.tb06385.x
- Yokokawa H., Sakai N., Kawada T., Dokiy M.J. // Am. Ceram. Soc. 1990. V. 73. P. 649–658. htps://doi.org/10.1111/j.1151–2916.1990.tb06567.x
- Subramanian M.A., Aravamudan G., Subba Rao G.V. // Prog. Solid State Chem. 1983. V. 15. P. 55–143. htts://doi.org/10.1016/0079–6786(83)90001–8
- Banchard P.E.R., Liu S., Kennedy B.J., Ling C.D., Avdeev M., Aitken J.B., Cowie B.C.C., Tadich A.J. // Phys. Chem. C. 2013. V. 117. P. 2266–2273. https://doi.org/10.1021/jp311329q
- Gagarin P.G., Guskov A.V., Guskov V.N., Tyurin A.V., Khoroshilov A.V., Gavrichev K.S. // Ceram. Int. 2021. V. 47. P. 2892–2896. https://doi.org/10.1016/j.ceramint.2020.09.072
- Портной К.И., Тимофеева Н.И., Салибеков С.Е., Романович И.В. // Изв. АН СССР. Неорган. матер. 1970. Т. 6. С. 91–95.
- Voskov A.L., Kutsenok I.B., Voronin G.F. // Calphad. 2018. V. 61. P. 50–61. https//doi.org/10.1016/j.calphad.2018.02.001
- Voronin G.F., Kutsenok I.B. // J. Chem. Eng. Data. 2013. V. 58. P. 2083–2094. https:/doi.org/10.1021/je400316m
- Гуськов А.В., Гагарин П.Г., Гуськов В.Н., Тюрин А.В., Гавричев К.С. // ЖФХ. 2022. Т. 96. С. 1230–1239. https:/doi.org/31857.S0044445372209014X
- Гуськов А.В., Гагарин П.Г., Гуськов В.Н., Тюрин А.В., Гавричев К.С. // Докл. РАН. Химия, науки о материалах. 2021. Т. 498. С. 83–87. https://doi.org/31857.S2686953521050083
- Tari A. The specific heat of matter at low temperatures. London, Imperial College Press, 2003. 211 p. https://oi.org/10.1142/9781860949395_0006
- Zhou H.D., Wiebe C.R., Janik J.A., Balicas L., Yo Y.J., Qiu Y., Copley J.R.D., Gardner J.S. // Phys. Rev. Lett. 2008. V. 101. 227204. https://doi.org/10.1103/PhysRevLett.101.227204
- Westrum E.F. Jr. // J. Therm. Anal. 1985. V. 30. P. 1209–1215. https://doi.org/10.1007/BF01914288
- Chirico R.D., Westrum E.F. Jr. // J. Chem. Thermodyn. 1980. V. 12. P. 71–85. https://di.org/10.1016/0021–9614(80)90118–4
- Ji Y., Beridze G., Bosbach D., Kowalski P.M. // J. Nucl. Mater. 2017. V. 494. P. 172–181. http://dx.doi.org/10.1016/j.jnucmat.2017.07.026
- Konings R.J.M., Beneš O., Kovács A., Manara D., Sedmidubský D., Gorokhov L., Iorish V.S., Yungman V., Shenyavskaya E., Osina E.J. // Phys. Chem. Refer. Data. 2014. V. 43. 013101. https://doi.org/10.1063/1.4825256
- Pankratz L.B. Thermodynamic properties of elements and oxides. Washington, D.C., U.S. Dept. of the Interior, Bureau of Mines, 1982. V. 672. 509 p.
Supplementary files








