Оценка токсичности ионных жидкостей как растворителей в реакции C–C-сочетания
- Авторы: Колесников А.Э.1, Егорова К.С.1
-
Учреждения:
- Институт органической химии им. Н.Д. Зелинского Российской академии наук
- Выпуск: Том 514, № 1 (2024)
- Страницы: 41-49
- Раздел: ХИМИЯ
- URL: https://ogarev-online.ru/2686-9535/article/view/256430
- DOI: https://doi.org/10.31857/S2686953524010042
- ID: 256430
Цитировать
Полный текст
Аннотация
В данной работе при помощи биострипов химических реакций в сочетании с их цитотоксическими потенциалами на примере 36 способов синтеза 1,1′-бифенила продемонстрировано решающее значение выбора растворителя для “общей цитотоксичности” процесса.
Ключевые слова
Полный текст
ВВЕДЕНИЕ
Ионные жидкости (ИЖ) – класс негорючих, нелетучих и невзрывоопасных соединений, которые благодаря своим чрезвычайно многообразным свойствам находят применение во многих областях современной химии и биологии [1–10]. Особую популярность ИЖ принесли их уникальные растворяющие свойства [11], а потому изначально предполагалось, что эти вещества будут использоваться как низкотоксичная замена традиционным органическим растворителям [12, 13]. Однако достаточно быстро стало очевидно, что в действительности многие ИЖ проявляют высокую токсичность по отношению к различным биологическим объектам [14, 15].
Тем не менее, ИЖ широко применяются в фундаментальных исследованиях и промышленности, в том числе в качестве растворителей [3]. Некоторое время назад мы разработали подход для быстрой предварительной оценки вклада различных компонентов химических реакций в “общую токсичность” процесса при помощи профилей токсичности (биопрофилей) [16, 17]. Биопрофиль химической реакции наглядно показывает ее “общую токсичность” и учитывает токсичность каждого вещества, участвующего в данной реакции или образующегося в ходе ее протекания. Одно из главных преимуществ данного метода – его универсальность: в качестве показателя токсичности веществ можно использовать их активность по отношению к любому биологическому объекту в соответствии с задачами исследователя. В наших работах мы применяем полумаксимальные цитотоксические концентрации (СС50), поскольку относительная простота методик измерения и оперативность эксперимента позволяют быстро изучить большое количество соединений и, соответственно, провести скрининг большого числа химических реакций. Кроме того, наличие множества клеточных линий различных типов дает возможность дать предварительную оценку влияния химических веществ на различные системы организма.
Недавно концепция биопрофилей претерпела существенное развитие [18]: теперь химические реакции представлены более компактными биострипами с единой шкалой цитотоксичности, что позволяет сравнивать различные способы синтеза одного химического продукта с точки зрения токсичности различных компонентов и, соответственно, дает возможность определить компоненты, вносящие наибольший вклад в общую токсичность процесса. Кроме того, для каждой реакции рассчитываются цитотоксические потенциалы, дающие количественную оценку ее “общей цитотоксичности”.
В нашей предыдущей работе мы провели оценку вклада растворителей на основе ИЖ в “общую цитотоксичность” реакций C–C-сочетания на примере синтеза 1,1′-бифенила [19].
В этой статье мы продолжаем данное исследование и при помощи биострипов проводим более глубокий анализ влияния выбора растворителя на “общую цитотоксичность” химических реакций. Целью работы являлось сравнение вклада растворителей на основе ионных жидкостей и стандартных органических растворителей в “общую цитотоксичность” процесса на примере известной реакции синтеза 1,1′-бифенила из фенилгалогенида и фенилбороновой кислоты.
МАТЕРИАЛЫ И МЕТОДЫ
Для построения биострипов и расчета биофакторов и цитотоксических потенциалов были использованы данные по цитотоксичности компонентов реакций (24-ч CC50, полумаксимальная цитотоксическая концентрация при контакте с веществом в течение 24 ч), полученные ранее [19, 20]. Биострипы были построены по ранее опубликованной методике [18]. Биофакторы и цито- токсические потенциалы реакций рассчитывали в программном пакете Microsoft Excel 2010. Окончательную обработку проводили в программных пакетах Adobe Illustrator CS6 (Adobe Systems Incorporated) и ChemDraw®Professional 15.1 (PerkinElmer Informatics, Inc.).
РЕЗУЛЬТАТЫ И ОБСУЖДЕНИЕ
Мы применили новый подход к анализу вклада компонентов реакций в “общую цитотоксичность”, а именно биострипы химических реакций и цитотоксические потенциалы. Были изучены реакционные среды на основе этанола, N-метилпирролидона (NMP), бис(трифторметилсульфонил)имида 1этил-3-метилимидазолия (C2MIm NTf2), тетрафторбората 1-бутил-3-метилимидазолия (C4MIm [BF4), бис(трифторметилсульфонил)имида 1-бутил-3-метилимидазолия (C4MIm NTf2) и бис(трифторметилсульфонил)-имида холиния (Chol NTf2). Вода была исключена из рассмотрения, поскольку для нее невозможно измерить цитотоксичность. Всего проанализировано 36 реакций с использованием данных по цитотоксичности, полученных на двух линиях человеческих клеток: HEK293 (эмбриональные почечные клетки) и A549 (легочная карцинома).
На рис. 1 представлены биострипы для трех путей синтеза 1,1′-бифенила, построенные на основании цитотоксичности веществ по отношению к клеточной линии HEK293. Длина секций биострипов равна “нормализованной цитотоксичности” (NC, normalized cytotoxicity) соответствующих веществ – исходных веществ, катализаторов, реагентов, растворителей, продуктов и побочных продуктов:
(1)
где n – количество вещества в реакции (ммоль), а CC50 – его полумаксимальная цитотоксическая концентрация (ммоль л–1), измеренная для данной клеточной линии. Таким образом, веществам с бо́льшим вкладом в “общую цитотоксичность” реакции соответствуют секции большей длины.
Цвет секций соответствует значениям CC50 данных соединений, измеренным на определенной клеточной линии. Вещество с максимальной цитотоксичностью обозначено красным цветом, с минимальной – зеленым (см. относительную шкалу цитотоксичности на рис. 1).
Для каждой реакции рассчитывали следующие численные метрики токсичности: биофактор (BF; см. формулу (2)) и цитотоксические потенциалы (CP; см. формулы (3)–(5)). Биофактор отражает изменение “общей цитотоксичности” в ходе реакции, в то время как цитотоксические потенциалы, по сути, показывают, сколько литров культуральной среды можно “отравить” веществами, участвующими в данной реакции. Соответственно, для реакций с меньшей “общей цитотоксичностью” характерны более низкие цитотоксические потенциалы. Исходный цитотоксический потенциал (CPi) характеризует входящие в реакцию соединения (см. формулу (3)), конечный цитотоксический потенциал (CPf) характеризует соединения, остающиеся после реакции, включая продукты и побочные продукты (см. формулу (4)). Относительный конечный цитотоксический потенциал (CPf_rel) характеризует соединения, остающиеся после реакции, за исключением целевого продукта (см. формулу (5)).
(2)
(3)
(4)
(5)
где индексы in и out обозначают соединения, вступающие в реакцию (исходные вещества, катализаторы, растворители и другие реагенты) или остающиеся по ее окончании (продукты, побочные продукты и соединения, которые могут быть регенерированы, такие как катализаторы и растворители) соответственно.
Биострипы 36 способов синтеза 1,1′-бифенила показаны на рис. 2 (данные на клетках HEK293) и рис. 3 (данные на клетках A549). Первая, вторая и третья буквы в названиях реакций обозначают тип исходного вещества 2 (SM2: йодбензол (A), бромбензол (B)), катализатора (CT: PdCl2 (A), PdBr2 (B), PdI2 (C)) и растворителя (S: этанол (A), NMP (B), C2MIm NTf2 (C), C4MIm BF4 (D), C4MIm NTf2 (E), Chol NTf2 (F)) соответственно. Значения CC50, использованные для анализа, взяты из [19].
Рис. 1. Биострипы для реакции синтеза 1,1′-бифенила из фенилгалогенида и фенилбороновой кислоты при варьировании фенилгалогенида (йодбензол (A), бромбензол (B)), катализатора (PdCl2 (A), PdBr2 (B), PdI2 (C)) и растворителей (этанол (A), NMP (B), C2MIm NTf2 (C), C4MIm BF4 (D), C4MIm NTf2 (E), Chol NTf2 (F)). Реакция приведена вверху, относительная шкала цитотоксичности и расшифровка аббревиатур – внизу. Для наглядности показаны только три способа синтеза. Использованы данные по цитотоксичности, полученные на клетках HEK293.
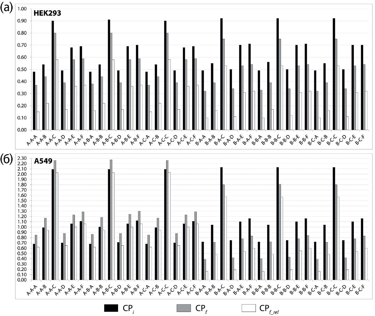
Потенциалы цитотоксичности (CP) позволяют более детально проанализировать вклад каждого компонента в “общую цитотоксичность” реакции. На рис. 4 в виде столбчатых диаграмм показаны исходные (черный цвет), конечные (серый цвет) и относительные конечные (белый цвет) CP для рассматриваемых реакций. Рисунок 4а соответствует данным, полученным на клеточной линии HEK293, а рис. 4б – данным, полученным на клеточной линии A549. Точные значения приведены в табл. 1.
Согласно анализу биострипов и цитотоксических потенциалов, наибольшее влияние на “общую цитотоксичность” процесса оказывает выбор растворителя (третья буква в названиях реакций). Из шести проанализированных растворителей растворители C, E и F (то есть ионные жидкости с бис(трифторметилсульфонил)- имидным анионом) вносят существенный вклад в “общую цитотоксичность” (см. реакции N-N-C, N-N-E и N-N-F на рис. 2 и рис. 3, а также соответствующие цитотоксические потенциалы на рис. 4). Поскольку растворитель рассматривается как компонент реакции, который может быть регенерирован, он учитывается как в начальных, так и в конечных CP. Следует отметить, что CP реакций, в которых в качестве растворителя используется растворитель C (C2MIm NTf2), значительно выше, чем CP других анализируемых систем. Самые низкие CP наблюдаются в случае растворителей A (этанол) и D (C4MIm BF4). Таким образом, эти два растворителя могут считаться предпочтительными с точки зрения их наименьшего вклада в “общую токсичность” реакции. В табл. 1 предпочтительные способы синтеза 1,1′-бифенила выделены зеленым (в соответствии с наиболее низкими значениями всех цитотоксических потенциалов).
Следует помнить, что причина столь существенного вклада растворителей C, E и F в “общую цитотоксичность” рассматриваемых химических реакций заключается не только в относительно высокой цитотоксичности этих веществ, но и в количествах, в которых они используются. Напротив, тип катализатора (вторая буква в названии реакции) не оказывает существенного влияния на “общую цитотоксичность” реакции, хотя эти соединения проявляют наибольшую цитотоксичность для изученных клеточных линий (см. рис. 5).
Рис. 2. Биострипы 36 способов синтеза 1,1′-бифенила (на основании данных по цитотоксичности на клетках HEK293). Первая, вторая и третья буквы в названиях реакций показывают тип исходного вещества 2 (SM2: йодбензол (A), бромбензол (B)), катализатора (CT: PdCl2 (A), PdBr2 (B), PdI2 (C)) и растворителя (S: этанол (A), NMP (B), C2MIm NTf2 (C), C4MIm BF4 (D), C4MIm NTf2 (E), Chol NTf2 (F)) соответственно.
Рис. 3. Биострипы 36 способов синтеза 1,1′-бифенила (на основании данных по цитотоксичности на клетках A549). Первая, вторая и третья буквы в названиях реакций показывают тип исходного вещества 2 (SM2: йодбензол (A), бромбензол (B)), катализатора (CT: PdCl2 (A), PdBr2 (B), PdI2 (C)) и растворителя (S: этанол (A), NMP (B), C2MIm NTf2 (C), C4MIm BF4 (D), C4MIm NTf2 (E), Chol NTf2 (F)) соответственно.
Рис. 4. Цитотоксические потенциалы для 36 способов получения 1,1′-бифенила. Точные значения приведены в табл. 1. CPi – исходный цитоткосический потенциал; CPf – конечный цитотоксический потенциал; CPf_rel – относительный конечный цитотоксический потенциал.
Отдельного обсуждения заслуживает выбор исходного вещества SM2 (первая буква в названии реакции). Так, в случае данных, полученных на клеточной линии A549, при использовании йодбензола, как исходного вещества, в качестве побочного продукта образуется KI, токсичность которого для клеток A549 намного выше токсичности KBr, образующегося при использовании бромбензола. По этой причине CPf и CPf_rel для реакций с йодбензолом (первая буква в названии реакции – A) выше, чем для реакций с бромбензолом (первая буква в названии реакции – B) (рис. 4б). Это находит отражение и в соответствующих биострипах (ср. реакции с названиями A-N-N и B-N-N на рис. 3). В случае клеточной линии HEK293 KI также проявляет более высокую цитотоксичность, чем KBr, однако эта разница не столь выражена (см. рис. 2 и рис. 4а).
Таблица 1. Биофакторы (BF) и цитотоксические потенциалы (CP) для 36 способов получения 1,1′-бифенилаа
Реакция | Исходное соединение ٢ PhX (SM2) | Катализатор PdX2 (CT) | Растворитель (S) | Побочный продукт KX (BP1) | HEK293T | А٥٤٩ | ||||||
BF | CPi | CPf | CPf_rel | BF | CPi | CPf | CPf_rel | |||||
A-A-A | I | Cl | EtOH | I | 0.78 | 0.48 | 0.37 | 0.15 | 1.26 | 0.68 | 0.85 | 0.62 |
A-A-B | I | Cl | NMP | I | 0.81 | 0.54 | 0.44 | 0.22 | 1.18 | 0.99 | 1.17 | 0.94 |
A-A-C | I | Cl | C2MIm NTf2 | I | 0.89 | 0.9 | 0.8 | 0.58 | 1.09 | 2.09 | 2.26 | 2.03 |
A-A-D | I | Cl | C4MIm BF4 | I | 0.79 | 0.49 | 0.39 | 0.17 | 1.25 | 0.7 | 0.88 | 0.65 |
A-A-E | I | Cl | C4MIm NTf2 | I | 0.85 | 0.68 | 0.58 | 0.36 | 1.17 | 1.06 | 1.23 | 1 |
A-A-F | I | Cl | Chol NTf2 | I | 0.85 | 0.69 | 0.59 | 0.37 | 1.16 | 1.11 | 1.29 | 1.06 |
A-B-A | I | Br | EtOH | I | 0.79 | 0.48 | 0.38 | 0.16 | 1.26 | 0.68 | 0.86 | 0.62 |
A-B-B | I | Br | NMP | I | 0.81 | 0.54 | 0.44 | 0.22 | 1.18 | 1 | 1.18 | 0.94 |
A-B-C | I | Br | C2MIm NTf2 | I | 0.89 | 0.91 | 0.8 | 0.58 | 1.09 | 2.09 | 2.27 | 2.03 |
A-B-D | I | Br | C4MIm BF4 | I | 0.79 | 0.49 | 0.39 | 0.17 | 1.25 | 0.71 | 0.88 | 0.65 |
A-B-E | I | Br | C4MIm NTf2 | I | 0.85 | 0.69 | 0.58 | 0.36 | 1.17 | 1.06 | 1.24 | 1 |
A-B-F | I | Br | Chol NTf2 | I | 0.85 | 0.7 | 0.59 | 0.37 | 1.16 | 1.12 | 1.3 | 1.06 |
A-C-A | I | I | EtOH | I | 0.78 | 0.48 | 0.37 | 0.15 | 1.26 | 0.68 | 0.85 | 0.62 |
A-C-B | I | I | NMP | I | 0.81 | 0.54 | 0.44 | 0.22 | 1.18 | 0.99 | 1.17 | 0.94 |
A-C-C | I | I | C2MIm NTf2 | I | 0.89 | 0.9 | 0.8 | 0.58 | 1.09 | 2.09 | 2.26 | 2.03 |
A-C-D | I | I | C4MIm BF4 | I | 0.79 | 0.49 | 0.39 | 0.17 | 1.25 | 0.7 | 0.88 | 0.65 |
A-C-E | I | I | C4MIm NTf2 | I | 0.85 | 0.68 | 0.58 | 0.36 | 1.17 | 1.06 | 1.23 | 1 |
A-C-F | I | I | Chol NTf2 | I | 0.85 | 0.69 | 0.59 | 0.37 | 1.16 | 1.11 | 1.29 | 1.06 |
B-A-A | Br | Cl | EtOH | Br | 0.66 | 0.49 | 0.32 | 0.1 | 0.55 | 0.72 | 0.39 | 0.16 |
B-A-B | Br | Cl | NMP | Br | 0.7 | 0.55 | 0.39 | 0.16 | 0.69 | 1.04 | 0.71 | 0.48 |
B-A-C | Br | Cl | C2MIm NTf2 | Br | 0.82 | 0.92 | 0.75 | 0.53 | 0.85 | 2.13 | 1.8 | 1.57 |
B-A-D | Br | Cl | C4MIm BF4 | Br | 0.67 | 0.5 | 0.34 | 0.11 | 0.57 | 0.75 | 0.42 | 0.19 |
B-A-E | Br | Cl | C4MIm NTf2 | Br | 0.76 | 0.7 | 0.53 | 0.31 | 0.71 | 1.1 | 0.78 | 0.54 |
B-A-F | Br | Cl | Chol NTf2 | Br | 0.76 | 0.71 | 0.54 | 0.32 | 0.72 | 1.16 | 0.83 | 0.6 |
B-B-A | Br | Br | EtOH | Br | 0.66 | 0.49 | 0.33 | 0.1 | 0.55 | 0.72 | 0.4 | 0.16 |
B-B-B | Br | Br | NMP | Br | 0.7 | 0.56 | 0.39 | 0.17 | 0.69 | 1.04 | 0.72 | 0.48 |
B-B-C | Br | Br | C2MIm NTf2 | Br | 0.82 | 0.92 | 0.75 | 0.53 | 0.85 | 2.13 | 1.81 | 1.57 |
B-B-D | Br | Br | C4MIm BF4 | Br | 0.67 | 0.5 | 0.34 | 0.12 | 0.57 | 0.75 | 0.43 | 0.19 |
B-B-E | Br | Br | C4MIm NTf2 | Br | 0.76 | 0.7 | 0.53 | 0.31 | 0.71 | 1.1 | 0.78 | 0.55 |
B-B-F | Br | Br | Chol NTf2 | Br | 0.77 | 0.71 | 0.54 | 0.32 | 0.72 | 1.16 | 0.84 | 0.6 |
B-C-A | Br | I | EtOH | Br | 0.66 | 0.49 | 0.32 | 0.1 | 0.55 | 0.72 | 0.39 | 0.16 |
B-C-B | Br | I | NMP | Br | 0.7 | 0.55 | 0.39 | 0.16 | 0.69 | 1.04 | 0.71 | 0.48 |
B-C-C | Br | I | C2MIm NTf2 | Br | 0.82 | 0.92 | 0.75 | 0.53 | 0.85 | 2.13 | 1.8 | 1.57 |
B-C-D | Br | I | C4MIm BF4 | Br | 0.67 | 0.5 | 0.34 | 0.11 | 0.57 | 0.75 | 0.42 | 0.19 |
B-C-E | Br | I | C4MIm NTf2 | Br | 0.76 | 0.7 | 0.53 | 0.31 | 0.71 | 1.1 | 0.78 | 0.54 |
B-C-F | Br | I | Chol NTf2 | Br | 0.76 | 0.7 | 0.54 | 0.32 | 0.72 | 1.16 | 0.83 | 0.6 |
а Предпочтительные способы синтеза 1,1′-бифенила выделены зеленым (в соответствии с наиболее низкими значениями всех цитотоксических потенциалов).
Последние рассуждения наводят на мысль о важности выбора клеточной линии, на которой получены данные для построения биострипов реакций. На рис. 5 приведено сравнение зна- чений CC50 всех компонентов изученных реакций, полученных на клеточных линиях HEK293 и A549. Хотя клетки A549 более чувствительны к токсическому воздействию, чем HEK293, в целом для исследованных веществ характерны схожие последовательности, если не точные значения цитотоксичности на этих клеточных линиях. Так, наибольшую цитотоксичность проявляют используемые в качестве катализаторов соединения палладия (PdCl2, PdBr2, PdI2), а наименьшую цитотоксичность – растворители этанол и C4MIm BF4. Исходные вещества (фенилбороновая кислота, йодбензол и бромбензол) и целевой продукт также демонстрируют достаточно высокую цитотоксичность, в то время как цитотоксичность побочных продуктов (за исключением KI) существенно ниже.
Таким образом, выбор клеточной линии, на которой проводились исследования цитотоксичности компонентов реакций, оказывал влияние на конечный вид биострипов, но заметно меньшее, чем выбор используемого в реакциях растворителя. Эти данные подтверждают наблюдения, сделанные на основании других клеточных линий [18].
Рис. 5. Сравнение значений 24-ч СС50 компонентов изученных реакций для клеточных линий HEK293 и A549. Цвет ячеек тепловой карты соответствует значениям СС50 для данной клеточной линии (см. легенду в нижней части рисунка; цвета соответствуют распределению значений СС50 по перцентилям).
ВЫВОДЫ
Результаты анализа биострипов и цитотоксических потенциалов 36 способов синтеза 1,1′-бифенила подтверждают значительный вклад растворителя в “общую цитотоксичность” процесса. В частности, популярные в современной органической химии ионные жидкости с бис(трифторметилсульфонил)имидным анионом вносили намного больший вклад в “общую цитотоксичность”, чем традиционный этанол или тетрафторборат 1-бутил-3-метилимидазолия. Таким образом, выбор растворителя как используемого в наибольших количествах компонента должен определяться не только его подходящими физико-химическими характеристиками, но и его безопасностью для человека и окружающей среды, особенно в химических процессах, которые планируются в промышленных масштабах. Согласно формуле (1), относительная цитотоксичность веществ прямо пропорциональна их количествам в реакции. Однако она также обратно пропорциональна их полумаксимальным цитотоксическим концентрациям, а потому значение имеет именно отношение количества вещества в реакции к его цитотоксичности. Биострипы позволяют обнаружить растворители с оптимальным соотношением этих параметров, которые будут вносить наименьший возможный вклад в общую цитотоксичность процесса. Предложенный нами подход (биострипы в сочетании с цитотоксическими потенциалами) позволяет проводить быструю предварительную оценку вклада компонентов химических реакций в их общую токсичность.
ИСТОЧНИК ФИНАНСИРОВАНИЯ
Исследование выполнено при финансовой поддержке Российского Научного Фонда (грант 21-13-00049).
СОБЛЮДЕНИЕ СТАНДАРТОВ РАБОТЫ С ЖИВОТНЫМИ
В настоящей работе не проводились исследования, в которых в качестве объектов использовались животные.
КОНФЛИКТ ИНТЕРЕСОВ
Авторы данной работы заявляют об отсутствии конфликта интересов.
Об авторах
А. Э. Колесников
Институт органической химии им. Н.Д. Зелинского Российской академии наук
Email: egorova-ks@ioc.ac.ru
Россия, 119991 Москва
К. С. Егорова
Институт органической химии им. Н.Д. Зелинского Российской академии наук
Автор, ответственный за переписку.
Email: egorova-ks@ioc.ac.ru
Россия, 119991 Москва
Список литературы
- Welton T. // Chem. Rev. 1999. V. 99. № 8. P. 2071–2084. https://doi .org/10.1021/cr980032t
- Pârvulescu V.I., Hardacre C. // Chem. Rev. 2007. V. 107. № 6. P. 2615–2665. https://doi .org/10.1021/cr050948h
- Hallett J.P., Welton T. // Chem. Rev. 2011. V. 111. № 5. P. 3508–3576. https://doi .org/10.1021/cr1003248
- Fedorov M.V., Kornyshev A.A. // Chem. Rev. 2014. V. 114. № 5. P. 2978–3036. https://doi .org/10.1021/cr400374x
- MacFarlane D.R., Forsyth M., Howlett P.C., Kar M., Passerini S., Pringle J.M., Ohno H., Watanabe M., Yan F., Zheng W., Zhang S., Zhang J. // Nat. Rev. Mater. 2016. V. 1. № 2. P. 15005. https://doi .org/10.1038/natrevmats.2015.5
- Azov V A., Egorova K.S., Seitkalieva M.M., Kashin A.S., Ananikov V.P. // Chem. Soc. Rev. 2018. V. 47. № 4. P. 1250–1284. https://doi .org/10.1039/c7cs00547d
- Itoh T. // Chem. Rev. 2017. V. 117. № 15. P. 10567–10607. https://doi .org/10.1021/acs.chemrev.7b00158
- Ventura S.P.M., e Silva F.A., Quental M.V., Mondal D., Freire M.G., Coutinho J.A.P. // Chem. Rev. 2017. V. 117. № 10. P. 6984–7052. https://doi .org/10.1021/acs.chemrev.6b00550
- Egorova K.S., Gordeev E.G., Ananikov V.P. // Chem. Rev. 2017. V. 117. № 10. P. 7132–7189. https://doi .org/10.1021/acs.chemrev.6b00562
- Egorova K.S., Posvyatenko A.V., Larin S.S., Ananikov V.P. // Nucleic Acids Res. 2021. V. 49. № 3. P. 1201–1234. https://doi .org/10.1093/nar/gkaa1280
- Hayes R., Warr G.G., Atkin R. // Chem. Rev. 2015. V. 115. № 13. P. 6357–6426. https://doi .org/10.1021/cr500411q
- Dupont J., Consorti C.S., Spencer J. // J. Braz. Chem. Soc. 2000. V. 11. № 4. P. 337–344. https://doi .org/10.1590/s0103-50532000000400002
- Wasserscheid P., Keim W. // Angew. Chem., Int. Ed. 2000. V. 39. № 21. P. 3772–3789. https://doi .org/10.1002/1521-3773(20001103) 39:21<3772::aid-anie3772>3.0.co;2-5
- Egorova K.S., Ananikov V.P. // ChemSusChem 2014. V. 7. № 2. P. 336–360. https://doi .org/10.1002/cssc.201300459
- Heckenbach M.E., Romero F.N., Green M.D., Halden R.U. // Chemosphere. 2016. V. 150. P. 266–274. https://doi .org/10.1016/j.chemosphere.2016.02.029
- Egorova K.S., Galushko A.S., Ananikov V.P. // Angew. Chem., Int. Ed. 2020. V. 59. № 50. P. 22296–22305. https://doi.org/10.1002/anie.202003082
- Egorova K.S., Galushko A.S., Dzhemileva L.U., D’yakonov V.A., Ananikov V.P. // Green Chem. 2021. V. 23. № 17. P. 6373–6391. https://doi .org/10.1039/d1gc00207d
- Egorova K.S., Posvyatenko A.V., Galushko A.S., Ananikov V.P. // Chemosphere. 2023. V. 313. № P. 137378. https://doi .org/10.1016/j.chemosphere.2022.137378
- Egorova K.S., Galushko A.S., Dzhemileva L.U., D’yakonov V.A., Ananikov V.P. // Dokl. Chem. 2022. V. 504. № 2. P. 106–117. https://doi .org/10.1134/s0012500822600080
- Dzhemileva L.U., D’Yakonov V.A., Seitkalieva M.M., Kulikovskaya N.S., Egorova K.S., Ananikov V.P. // Green Chem. 2021. V. 23. № 17. P. 6414–6430. https://doi.org/10.1039/d1gc01520f
Дополнительные файлы







