Synthesis of polyfunctional O-containing 1,3-dioxepines connected with an acetal fragment by low-temperature ozonolysis
- Authors: Belyaeva E.R.1, Borisova Y.G.1, Raskildina G.Z.1, Sultanova R.M.1, Zlotsky S.S.1
-
Affiliations:
- Ufa State Petroleum Technological University (USPTU)
- Issue: Vol 514, No 1 (2024)
- Pages: 27-31
- Section: CHEMISTRY
- URL: https://ogarev-online.ru/2686-9535/article/view/256428
- DOI: https://doi.org/10.31857/S2686953524010027
- ID: 256428
Cite item
Full Text
Abstract
The synthesis of 3,5-dioxo-1,7-heptandials, 3,5-dioxo-1,7-heptanediols and 1,3-dioxo-1,7-heptanedicarboxylic acid derivatives by low-temperature ozonolysis of 1,3-dioxepines was carried out for the first time. It is shown that, depending on the conditions of destruction of the intermediate peroxide products of ozonolysis, the corresponding individual dialdehydes, diols, and diesters can be synthesized with high selectivity.
Keywords
Full Text
Озонолиз карбоциклических непредельных соединений широко используется в синтезе различных С6–С10 синтонов с концевыми НОCH2-, CHO-, COOH-группами, которые применяют в современной индустрии при производстве феромонов, простагландинов и других биологически активных препаратов [1]. Озонолиз циклических диенов приводит к формированию различных полифункциональных синтонов – непредельных диальдегидов, диолов, кислот и др. – с высоким выходом. Отметим, что при озонолизе циклооктена в эфирных растворителях образуется 7-формилгептановая кислота с выходом более 80% [2]. Ранее было показано, что образование кислот и сложных эфиров при озонолизе циклоалкенов [3, 4] доказывает общий характер действия озона на эндоциклические двойные связи.
Известно, что аналоги циклоалкенов – 1,3-диоксепины – обладают биологической активностью [5, 6]. Ранее мы успешно использовали низкотемпературный озонолиз аллиловых эфиров и непредельных ацеталей для получения полифункциональных структур [7, 8].
В данной работе поставлена цель использовать озонирование 1,3-диоксепинов для получения линейных бифункциональных соединений, содержащих ацетальную функцию.
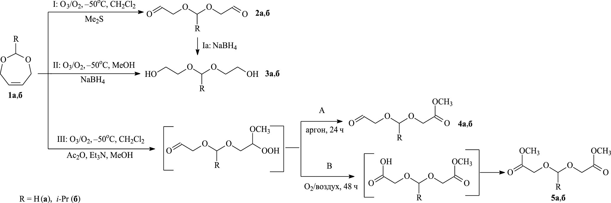
Нами впервые изучено низкотемпературное озонолитическое расщепление 4,7-дигидро- 1,3-диоксепина 1а и 2-изопропил-4,7-дигидро- 1,3-диоксепина 1б (схема 1).
Промежуточные пероксидные продукты были восстановлены диметилсульфидом, что привело с хорошими выходами к образованию диальдегидов 2а,б (схема 1, I). Последние действием NaBH4 были количественно восстановлены до диолов 3а,б (схема 1, Iа). Также к формированию диолов 3а,б, минуя стадию альдегидов, привела обработка первичных пероксидных продуктов боргидридом натрия (схема1, II).
Озонолиз 1,3-диоксепинов 1а,б и последующая обработка промежуточных пероксидов системой Ac2O : Et3N в атмосфере аргона в течение 24 ч (схема 1, III, метод А) привели к образованию эфироальдегидов 4а,б. В результате аналогичных превращений промежуточных пероксидов в атмосфере кислорода воздуха в течение 48 ч (схема 1, III, метод Б) были получены диэфиры 5а,б. По нашему мнению, данное превращение происходит по следующему маршруту: эфироальдегиды 4а,б являются продуктами дегидратации промежуточного образующегося α-метоксигидропероксида в присутствии Ac2O и Et3N в среде аргона. Соединения 4а,б при длительном перемешивании (24 ч) при комнатной температуре под действием кислорода воздуха количественно переходили в диэфиры 5а,б через стадию образования эфирокислоты и последующего метилирования карбоксильной группы под действием метанола в присутствии Ac2O и Et3N.
Отметим, что во всех случаях выход целевых продуктов составил более 80%, что указывает на отсутствие расщепления ацетального фрагмента. Весь окислитель О3 расходовался в реакциях с участием двойных связей.
Для качественного определения полученных соединений 2а,б–5а,б использовались методы газо-жидкостной хроматографии (ГЖХ) и тонкослойной хроматографии (ТСХ). Выделение синтезированных веществ происходило с помощью колоночной хроматографии. Структура молекул 2а,б–5а,б доказана методами 1H, 13C ЯМР-спектроскопии и данными масс-спектрометрии.
В спектрах 1H и 13С ЯМР соединений 2а,б присутствуют сигналы, характерные для альдегидных групп в области 9.71 и 200.07 м. д. для соединения 2а и при 9.54 и 200.97 м. д. для соединения 2б. Для соединений 3а,б характерны сигналы, свидетельствующие о наличии гидроксильных групп при 4.49 и 69.02 м. д. для диола 3а и при 3.71 и 67.73 м. д. для диола 3б. Сигналы при 200.46 м. д. для эфира 4а и при 201.59 м. д. для эфира 4б доказывают образование альдегидных производных. Формирование продуктов 5а,б подтверждается наличием сигналов сложно- эфирных групп при 170.53 м. д. для структуры 5а и при 170.39 м. д. для структуры 5б. В масс-спектрах положительных ионов всех полученных соединений 2а,б–5а,б присутствует пик соответствующего иона [M + H]+, интенсивность которого составляет 100%.
Таким образом, полученные результаты доказывают, что низкотемпературный озонолиз 1,3-диоксепинов можно рассматривать как удобный метод синтеза соответствующих диальдегидов, диолов и диэфиров.
Схема 1. Низкотемпературное озонолитическое расщепление 1,3-диоксепинов 1а,б с использованием диметилсульфида (I), боргидрида натрия (II) или в присутствии Ac2O и Et3N (III).
ЭКСПЕРИМЕНТАЛЬНАЯ ЧАСТЬ
Спектры 1Н и 13С ЯМР регистрировали на спектрометрах BrukerAM-300 (США) с рабочими частотами 300.13 и 75.47 МГц соответственно, внутренний стандарт – Me4Si. ИК-спектры записаны на приборе IRPrestige-21 Shimadzu (Япония) в тонком слое. Исследования методом ГЖХ проводили на приборе Chrom-5 (Чехия) (длина колонки 1.2 м, неподвижная фаза – силикон SE-30 (5%) на носителе ChromatonN-AW-DMCS (0.16–0.20 мм; Чехия), рабочая температура 50–300°С), газ-носитель – гелий. Контроль за результатом ТСХ – на пластинах марки Sorbfil (Россия) с собционным слоем из SiO2. Для колоночной хроматографии применяли SiO2 (70–230 меш) марки Lancaster (Великобритания), элюент: гексан–метил-трет-бутиловый эфир, 20 : 1 → 1 : 1. Производительность озонатора – 40 ммоль О3 /ч.
Исходные 1,3-диоксепины 1а,б получены по методике, представленной в статье [9].
Озонирование 1,3-диоксепинов 1а,б
I: Через раствор 1.00 г 1,3-диоксепинов 1а,б (10.0 ммоль 1а или 7.03 ммоль 1б) в 70 мл CH2Cl2 при –50○С в течение 15 мин барботировали озоно- кислородную смесь (10 ммоль О3). Затем реакционную смесь продували аргоном, при 0°С добавляли 1.59 г (1.90 мл, 50.00 ммоль) для 1а или 2.18 г (2.60 мл, 35.00 ммоль) для 1б диметилсульфида, перемешивали при комнатной температуре до исчезновения пероксидов (контроль – йод-крахмальная проба), добавляли 50 мл CH2Cl2, промывали насыщенным раствором NaCl (3 × 20 мл), сушили над Na2SO4 и упаривали.
2,2’-[Метиленбис(окси)]диацетальдегид 2а. Выход 87% (1.14 г, 8.63 ммоль). Rf 0.35 (гексан–метил-трет-бутиловый эфир, 1 : 1). ИК (KBr, ν, см1): 1726 (C=O(H)), 1108 (С–О–С). 1Н ЯМР (δ, м. д.): 9.71 (с, 2H, 2CH1,1’O), 5.17 (с, 2H, C3H2), 4.32 (c, 4H, 2C2,2’H2). 13C ЯМР (δ, м. д.): 94.70 (C3H2), 74.69 (2C2,2’H2), 200.07 (2C1,1’=O(H)). Масс-спектр, m/z (Iотн., %): [M + H]+ 133 (100), С5Н8O4.
2,2’-[(2-Метилпропан-1,1-диил)бис(окси)]- диацетальдегид 2б. Выход 89% (1.10 г, 6.32 ммоль). Rf 0.33 (гексан–метил-трет-бутиловый эфир, 2 : 1). ИК (KBr, ν, см–1): 1725 (C=O(H)), 1102 (С–О–С). 1Н ЯМР (δ, м. д.): 0.81 (с, 6H, 2C5,5’H3), 2.01–2.10 (м, 1H, C4H), 4.09–4.15 (м, 4H, 2C2,2’H2), 4.17–4.21 (м, 1H, C3H), 9.54 (с, 2H, 2CH1,1’O). 13C ЯМР (δ, м. д.): 16.94 (C5,5’H), 32.39 (C4H), 110.33 (C3H), 74.45 (2C2,2’H2), 200.97 (2C1.1’=O(H)). Масс- спектр, m/z (Iотн., %): [M + H]+ 175 (100), С8Н14O4.
Ia: Полученные по методике I диальдегиды 2а,б в количестве 1.00 г (7.51 ммоль 2а или 5.75 ммоль 2б) растворяли в 20 мл MeOH, добавляли эквимолярные количества NaBH4, перемешивали в течение 12 ч, добавляли каплю AcOH и дополнительно перемешивали 30 мин. При пониженном давлении удаляли MeOH, остаток разбавляли H2O, водный слой экстрагировали CH2Cl2 (3 × 60 мл), сушили над Na2SO4 и упаривали. Выход диола 3а 65 % (0.63 г, 4.60 ммоль). Выход диола 3б 57% (0.58 г, 3.25 ммоль).
II: Через раствор 1.00 г (10.0 ммоль 1а или 7.03 ммоль 1б) 1,3-диоксепинов 1а,б в 70 мл MeOH при –50°С в течение 15 мин барботировали озоно-кислородную смесь (10 ммоль О3). Реакционную смесь продували аргоном, при 0°С добавляли 0.56 г (15.00 ммоль) для 1а и 0.40 г (10.55 ммоль) для 1б NaBH4, перемешивали при комнатной температуре до исчезновения пероксидов (контроль – йод-крахмальная проба, 24 ч), добавляли 1–2 капли AcOH, перемешивали 30 мин, при пониженном давлении удаляли MeOH, разбавляли H2O, водный слой экстрагировали CH2Cl2 (3 × 60 мл), сушили над Na2SO4 и упаривали.
2,2’-[Метиленбис(окси)]диэтанол 3а. Выход 89% (1.2 г, 8.82 ммоль). Rf 0.15 (гексан–метил- трет-бутиловый эфир, 2 : 1). ИК (KBr, ν, см–1): 1122 (C–O), 3435. 1Н ЯМР (δ, м. д.): 3.45–3.51 (дд, 8H, 4С1,1’,2,2’Н2, J 5.6 Гц), 4.49 (уш.с, 2Н, 2OH), 4.81 c (2Н, 1С3Н2). 13C ЯМР (δ, м. д.): 60.52 (2C1,1’H2), 69.02 (2C2,2’H2), 95.10 (C3H2). Масс-спектр, m/z (Iотн., %): [M + H]+ 137 (100), С5Н12O4.
2,2’-[(2-Метилпропилиден)бис(окси)]диэтанол 3б. Выход 91 % (1.14 г, 6.40 ммоль). Rf 0.17 (гексан–метил-трет-бутиловый эфир, 2:1). ИК (KBr, ν, см1): 1121 (C–O), 3432. 1Н ЯМР (δ, м. д.): 0.79 (с, 6H, 2C5,5’H3), 1.47–1.59 (м, H, 1C4H), 3.61–3.69 (м, 4H, 2C2,2’H2), 3.71 (уш.с, 2Н, 2OH), 3.73–3.81 (м, 4H, 2С1,1’Н2), 3.83–3.86 (м, 2Н, С3Н2). 13C ЯМР (δ, м. д.): 16.69 (2C5,5’H3), 30.82 (C4H), 60.64 (2C1,1’H2), 67.73 (2C2,2’H2), 108.43 (C3H2). Масс-спектр, m/z (Iотн., %): [M + H]+ 179 (100), С8Н18O4.
III: Через раствор 1.00 г (10.0 ммоль 1а или 7.03 ммоль 1б) 1,3-диоксепинов 1а,б в 70 мл MeOH при –50°С в течение 15 мин барботировали озоно-кислородную смесь (10 ммоль О3). Реакционную смесь продували аргоном в течение 20 мин и доводили до комнатной температуры, удаляли растворитель при пониженном давлении при комнатной температуре, остаток разбавляли 50 мл CH2Cl2, охлаждали до 0°С, добавляли 8.16 г (7.55 мл, 80.00 ммоль) для 1а или 5.74 г (5.31 мл, 56.24 ммоль) для 1б Ac2O и 2.00 г (2.79 мл, 20.00 ммоль) для 1а или 1.43 г (1.96 мл, 14.10 ммоль) для 1б Et3N, перемешивали при комнатной температуре до исчезновения пероксидов (контроль – йод-крахмальная проба, 24 ч). Затем реакционную смесь делили пополам и далее, в зависимости от метода обработки (А или Б), получали соединения 4а,б или 5а,б соответственно.
Метод А. Реакционную смесь (см. III) перемешивали в течение 24 ч при комнатной температуре в атмосфере аргона, затем добавляли 4 мл MeOH, перемешивали 30 мин, экстрагировали Et2O (3 × 25 мл), промывали 5%-м раствором NaHCO3 (3 × 10 мл), сушили над Na2SO4 и упаривали.
Метил[(2-оксоэтокси)метокси]ацетат 4а. Выход 83% (0.68 г, 4.20 ммоль). Rf 0.23 (гексан–метил-трет-бутиловый эфир, 2 : 1). ИК (KBr, ν, см–1): 1726, 1734. 1Н ЯМР (δ, м. д.): 3.68 (с, 3H, C2H3), 4.11 (с, 2H, C5H2), 4.17 (с, 2H, C4H2), 4.83 (с, 2H,С6Н2), 9.61 (с, 1Н, СН=О). 13C ЯМР (δ, м. д.): 53.55 (C2H2), 64.75 (C5H2), 73.97 (C4H2), 95.06 (C6H2), 171.41 (C1=О), 200.469 (C3H=О). Масс-спектр, m/z (Iотн., %): [M + H]+ 163 (100), С6Н10O5.
Диметил 2,2’-[метиленбис(окси)]диацетат 4б. Выход 89% (0.64 г, 3.14 ммоль). Rf 0.35 (гексан–метил-трет-бутиловый эфир, 2 : 1). ИК (KBr, ν, см–1): 1725 (C–O). 1Н ЯМР (δ, м. д.): 3.49 (с, 6H, 2C2,2’H3), 4.09 (с, 4H, 2C3,3’H2), 4.79 (с, 2Н, 1С4Н2). 13C ЯМР (δ, м. д.): 54.69 (2C2,2’H3), 65.95 (2C3,3’H2), 95.84 (C4H2), 170.53 (2C1,1’H=О). Масс-спектр, m/z (Iотн., %): [M + H]+ 193 (100), С7Н12O6.
Метод Б. Реакционную смесь (см. III) перемешивали на воздухе в течение 48 ч при комнатной температуре, затем добавляли 4 мл MeOH, перемешивали 30 мин, экстрагировали Et2O (3 × 25 мл), промывали 5%-м раствором NaHCO3 (3 × 10 мл), сушили над Na2SO4 и упаривали.
Метил[2-метил-1-(2-оксоэтокси)пропокси]- ацетат 5а. Выход 95% (0.92 г, 4.80 ммоль). Rf 0.21 (гексан–метил-трет-бутиловый эфир, 2 : 1). ИК (KBr, ν, см–1): 1729, 1737. 1Н ЯМР (δ, м. д.): 0.79–0.90 (м, 6H, 2C8,8’H3), 2.04–2.15 (м, H, 1C7H), 3.72 (с, 3H, О–C2H3),4.15–4.35 (м, 5H, C6H, 2C4,5H2), 9.71 (с, 1Н, CH3=O). 13C ЯМР (δ, м. д.): 17.71 (2C8,8’H3), 33.61 (C7H), 51.93 (C2H3), 63.35 (C5H2), 74.74 (C4H), 110.97 (C6H), 171.29 (C1H=O), 201.59 (C3H=O). Масс-спектр, m/z (Iотн., %): [M + H]+ 205 (100), С9Н16O5.
Диметил 2,2’-[(2-метилпропан-1,1-диил)- бис(окси)]диацетат 5б. Выход 93% (0.77 г, 3.30 ммоль). Rf 0.32 (гексан–метил-трет-бутиловый эфир, 2 : 1). ИК (KBr ν, см–1): 1739. 1Н ЯМР (δ, м. д.): 0.79 (с, 6H, 2C6,6’H3), 2.01–2.07 (м, 1H, C5H), 3.70 (с, 6H, 2О–C2,2’H3), 4.01–4.07 (м, 1H, C4H), 4.11 c (4H, 2С3,3’Н2). 13C ЯМР (δ, м. д.): 17.76 (2C6,6’H3), 33.61 (C5H), 51.19 (2О–C2,2’H3), 63.29 (2C3,3’H2), 110.47 (C4H), 170.39 (2C1,1’H=O). Масс-спектр, m/z (Iотн., %): [M + H]+ 235 (100), С10Н18O6.
ИСТОЧНИК ФИНАНСИРОВАНИЯ
Работа выполнена в рамках государственного задания Минобрнауки России в сфере научной деятельности, номер для публикаций FEUR – 2022-0007 “Нефтехимические реагенты, масла и материалы для теплоэнергетики”.
СОБЛЮДЕНИЕ ЭТИЧЕСКИХ СТАНДАРТОВ
В данной работе исследования на человеке или животных не проводились.
КОНФЛИКТ ИНТЕРЕСОВ
Авторы данной работы заявляют об отсутствии конфликта интересов.
About the authors
E. R. Belyaeva
Ufa State Petroleum Technological University (USPTU)
Email: yulianna_borisova@mail.ru
Russian Federation, 450064 Ufa
Yu. G. Borisova
Ufa State Petroleum Technological University (USPTU)
Author for correspondence.
Email: yulianna_borisova@mail.ru
Russian Federation, 450064 Ufa
G. Z. Raskildina
Ufa State Petroleum Technological University (USPTU)
Email: yulianna_borisova@mail.ru
Russian Federation, 450064 Ufa
R. M. Sultanova
Ufa State Petroleum Technological University (USPTU)
Email: yulianna_borisova@mail.ru
Russian Federation, 450064 Ufa
S. S. Zlotsky
Ufa State Petroleum Technological University (USPTU)
Email: yulianna_borisova@mail.ru
Russian Federation, 450064 Ufa
References
- Одиноков В.Н. // Башкирский химический журнал. 1996. Т. 3. № 1–2. С. 60–72.
- Джемилев У.М., Дьяконов А.А., Хуснутдинов Р.И., Щаднева Н.А. // Средние циклы и макроциклы: синтез, свойства, применение. М.: Наука. 2022. 805 с.
- Odinokov V.N., Akhmetova V.R., Khasanov Kh.D., Abduvakhabov A.A., Tolstikov G.A., Panasenko A.A. // Chem. Natur. Compd. 1989. V. 2. P. 276–279.
- Одиноков В.Н., Жемайдук Л.П., Толстиков Г.А. // Журн. орг. химии. 1978. Т. 14. № 1. С. 54–59.
- Раскильдина Г.З., Кузьмина У.Ш., Джумаев Ш.Ш., Борисова Ю.Г., Ишметова Д.В., Вахитова Ю.В., Злотский С.С. // Изв. АН. Сер. хим. 2021. Т. 70. № 3. С. 475–478. https://doi .org/10.1007/s11172-021-3111-9
- Раскильдина Г.З., Кузьмина У.Ш., Борисова Ю.Г., Вахитова Ю.В., Злотский С.С. // Хим.-фарм. журнал. 2020. Т. 54. № 9. С. 27–31. https://doi .org/10.30906/0023-1134-2020-54-9-27-31
- Myasoedova Yu.V., Sakhabutdinova G.N., Belyaeva E.R., Raskildina G.Z., Ishmuratov G.Yu., Zlotsky S.S. // Dokl. Chem. 2022. V. 504. Р. 74–78. https://doi .org/10.1134/S0012500822600109
- Раскильдина Г.З., Легостаева Ю.В., Гарифуллина Л.Р., Султанова Р.М., Ишмуратов Г.Ю., Злотский С.С. // ДАН. 2015. Т. 462. № 3. С. 307–309. https://doi .org/10.7868/S0869565215150165
- Джумаев Ш.Ш., Борисова Ю.Г., Раскильдина Г.З., Злотский С.С. // Химия и технология органических веществ. 2020. № 3 (15). C. 4–11. https://doi .org/10.54468/25876724_2020_3_4
Supplementary files



