Изучение противоопухолевой активности in vitro йод-δ-лактонов 5Z,9Z-диеновых кислот
- Авторы: Макарова Э.Х.1, Ишбулатов И.В.1, Макаров А.А.1, Джемилева Л.У.2, Джемилев У.М.2, Дьяконов В.А.2
-
Учреждения:
- Институт нефтехимии и катализа УФИЦ РАН
- Институт органической химии им. Зелинского Российской академии наук
- Выпуск: Том 513, № 1 (2023)
- Страницы: 54-61
- Раздел: ХИМИЯ
- URL: https://ogarev-online.ru/2686-9535/article/view/252493
- DOI: https://doi.org/10.31857/S2686953523600277
- EDN: https://elibrary.ru/UWUBSS
- ID: 252493
Цитировать
Полный текст
Аннотация
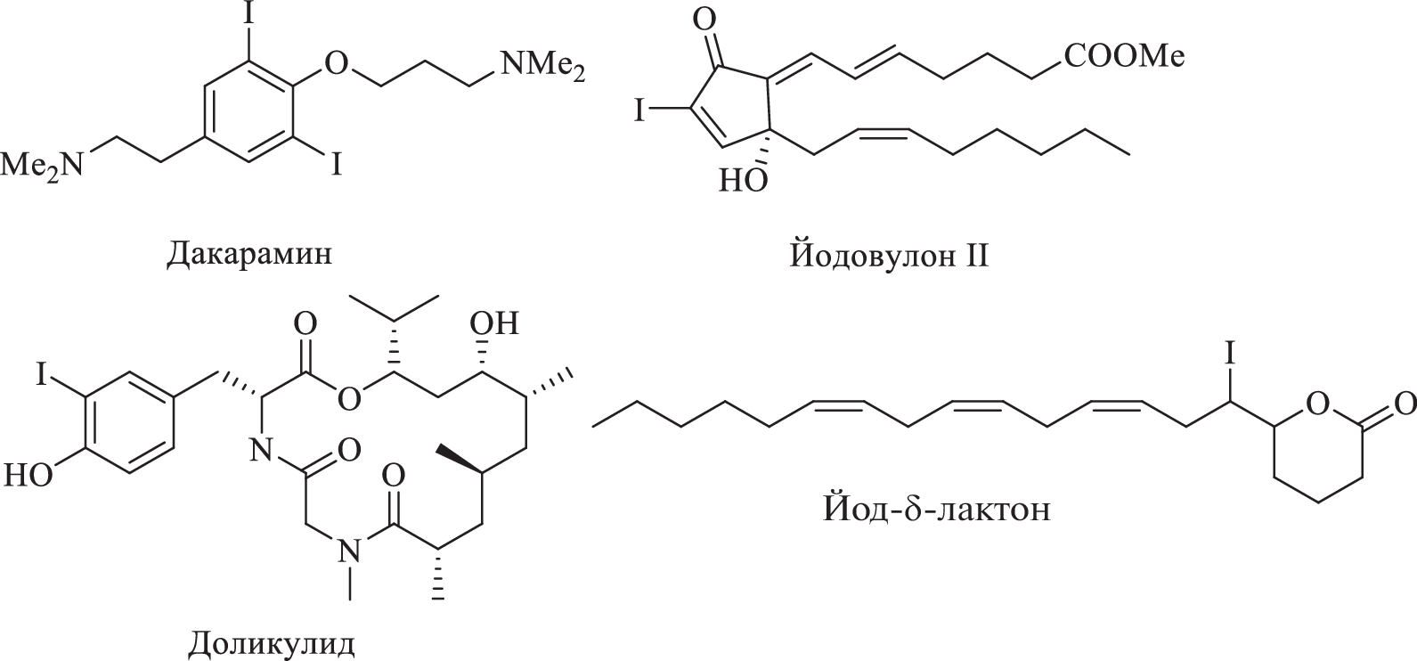
Синтезирован ранее неописанный фенил-замещенный йод-δ-лактон 11-фенилундека-5Z,9Z-диеновой кислоты с применением на ключевой стадии реакции Ti-катализируемого межмолекулярного кросс-цикломагнирования ароматического 1,2-диена с О-содержащим алленом с выходом 94%. Изучена цитотоксическая активность in vitro полученных алкил- и фенил-замещенных йод-δ-лактонов 5Z,9Z-диеновой кислот по отношению к клеточным линиям Jurkat, K562, U937, HL60, HEK293, а также исследовано влияние на клеточный цикл и способность индуцировать апоптоз с помощью проточной цитофлуориметрии.
Ключевые слова
Об авторах
Э. Х. Макарова
Институт нефтехимии и катализа УФИЦ РАН
Автор, ответственный за переписку.
Email: makarovaelina87@gmail.com
Россия, 450075, Уфа
И. В. Ишбулатов
Институт нефтехимии и катализа УФИЦ РАН
Email: makarovaelina87@gmail.com
Россия, 450075, Уфа
А. А. Макаров
Институт нефтехимии и катализа УФИЦ РАН
Email: makarovaelina87@gmail.com
Россия, 450075, Уфа
Л. У. Джемилева
Институт органической химии им. Зелинского Российской академии наук
Email: makarovaelina87@gmail.com
Россия, 119991, Москва
У. М. Джемилев
Институт органической химии им. Зелинского Российской академии наук
Email: makarovaelina87@gmail.com
Россия, 119991, Москва
В. А. Дьяконов
Институт органической химии им. Зелинского Российской академии наук
Email: makarovaelina87@gmail.com
Россия, 119991, Москва
Список литературы
- Wang L., Zhou X., Fredimoses M., Liao S., Liu Y. // RSC Adv. 2014. V. 4. № 101. P. 57350–57376. https://doi.org/10.1039/c4ra09833a
- Dembitsky V.M. // Nat. Prod. Commun. 2006. V. 1. № 2. P. 139–175. https://doi.org/10.1177/1934578x0600100210
- Kyeremeh K., Acquah K.S., Appiah-Opong R., Deng M., Jaspars H. // J. Chem. Applications. 2014. V. 1. № 1. P. 1–4.
- Aiello A., Fattorusso E., Imperatore C., Menna M., Müller W. // Mar. Drugs. 2010. V. 8. № 2. P. 285–291. https://doi.org/10.3390/md8020285
- Andavan G.S.B., Lemmens-Gruber R. // Mar. Drugs. 2010. V. 8. № 3. P. 810–834. https://doi.org/10.3390/md8030810
- Hiroyuki I., Hiroki S., Hideo,K., Kiyoyuki Y. // Tetrahedron. 1994. V. 50. № 45. P. 12853–12882. https://doi.org/10.1016/s0040-4020(01)81206-0
- Shen Y.-C., Cheng Y.-B., Lin Y.-C., Guh J.-H., Teng C.-M., Ko C.-L. // J. Nat. Prod. 2004. V. 67. № 4. P. 542–546. https://doi.org/10.1021/np030435a
- Williams P.G., Yoshida W.Y., Moore R.E., Paul V.J. // Org. Lett. 2003. V. 5. P. 4167–4170. https://doi.org/10.1021/ol035620u
- Kigoshi H., Kanematsu K., Yokota K., Uemura D. // Tetrahedron. 2000. V. 56. № 46. P. 9063–9070. https://doi.org/10.1016/s0040-4020(00)00759-6
- Hwang B.S., Lee K., Yang C., Jeong E.J., Rho J.-R. // J. Nat. Prod. 2013. V. 76. № 12. P. 2355–2359. https://doi.org/10.1021/np400793r
- Maiese W.M., Lechevalier M.P., Lechevalier H.A., Korshalla J., Kuck N., Fantini A., Wildey M.J., Thomas J., Greenstein M. // J. Antibiot. 1989. V. 42. P. 558–563.
- Zhao B., Konno S., Wu J.M., Oronsky A.L. // Cancer Lett. 1990. V. 50. № 2. P. 141–147. https://doi.org/10.1016/0304-3835(90)90244-r
- Nicolaou K.C., Hale C.R.H., Nilewski C. // Chem. Rec. 2012 V. 12. № 4. P. 407–441. https://doi.org/10.1002/tcr.201200005
- Ricart A.D. // Clin. Cancer Res. 2011. V. 17. № 20. P. 6417–6427. https://doi.org/10.1158/1078-0432.ccr-11-0486
- Gartner R., Rank P., Ander B. // Hormones. 2010. V. 9. № 1. P. 60–66.
- Boeynaems J.M., Hubbard W.C. // J. Biol. Chem. 1980. V. 255. P. 9001–9004. https://doi.org/10.1016/S0021-9258(19)70513-4
- Thomasz L., Oglio R., Salvarredi L., Perona M., Rossich L., Copelli S., Pisarev M., Juvenal G. // Mol. Cell Endocrinol. 2018. V. 470. P. 115–126. https://doi.org/10.1016/j.mce.2017.10.004
- Nava-Villalba M., Nucez-Anita R.E., Bontempo A., Aceves C. // Mol. Cancer. 2015. V. 14. P. 168. https://doi.org/10.1186/s12943-015-0436-8
- Arroyo-Helguera O., Rojas E., Delgado G., Aceves C. // Endocr. Relat. Cancer. 2008. V. 15. P. 1003–1011. https://doi.org/10.1677/ERC-08-0125
- Aceves C., Mendieta I., Anguiano B., Delgado-Gonza-lez E. // J. Mol. Sci. 2021. V. 22. P. 1228. https://doi.org/10.3390/ijms22031228
- D’yakonov V.A., Makarov A.A., Dzhemileva L.U., Makarova E.Kh., Khusnutdinova E.K., Dzhemilev U.M. // Chem. Commun. 2013. V. 49. P. 8401–8403. https://doi.org/10.1039/C3CC44926B
- D’yakonov V.A., Dzhemileva L.U., Makarov A.A., Mulyukova A.R., Baev D.S., Khusnutdinova E.K., Tolstikova T.G., Dzhemilev U.M. // Bioorg. Med. Chem. Lett. 2015. V. 25. № 11. P. 2405–2408. https://doi.org/10.1016/j.bmcl.2015.04.011
- D’yakonov V.A., Dzhemileva L.U., Makarov A.A., Mu-lyukova A.R., Baev D.S., Khusnutdinova E.K., Tolstiko-va T.G., Dzhemilev U.M. // Curr. Cancer Drug Targets. 2015. V. 15. № 6. P. 504–510. https://doi.org/10.2174/1568009615666150506093155
- D’yakonov V.A., Dzhemileva L.U., Makarov A.A., Mu-lyukova A.R., Baev D.S., Khusnutdinova E.K., Tolstiko-va T.G., Dzhemilev U.M. // Med. Chem. Res. 2016. V. 25. № 1. P. 30–39. https://doi.org/10.1007/s00044-015-1446-1
- D’yakonov V.A., Makarov A.A., Dzhemileva L.U., Makarova E.Kh., Ramazanov I.R., Dzhemilev U.M. // Cancers. 2021. V. 13. № 8. P. 1808. https://doi.org/10.3390/cancers13081808
- Maкarov A.A., Ishbulatov I.V., Makarova E.Kh., D’yakonov V.A., Dzhemilev U.M. // Russ. J. Org. Chem. 2022. V. 58. № 12. P. 1954–1958. https://doi.org/10.1134/S1070428022120259
- Tyagi R., Shimpukade B., Blattermann S., Kostenisb E., Ulven T. // Med. Chem. Commun. 2012. V. 3. P. 195–198. https://doi.org/10.1039/C1MD00231G
- Kuang J., Ma S. // J. Org. Chem. 2009. V. 74. P. 1763. https://doi.org/10.1021/jo802391x
Дополнительные файлы







