“Одноатомный” Pd1Ag6/Al2O3 катализатор гидрирования ацетилена с “корочковым” распределением активного компонента
- Авторы: Машковский И.С.1, Мельников Д.П.1,2, Марков П.В.1, Баева Г.Н.1, Смирнова Н.С.1, Брагина Г.О.1, Стахеев А.Ю.1
-
Учреждения:
- Федеральное государственное бюджетное учреждение науки Институт органической химии им. Н.Д. Зелинского Российской академии наук
- Федеральное государственное автономное образовательное учреждение высшего образования “Российский государственный университет нефти и газа (национальный исследовательский университет) имени И.М. Губкина”
- Выпуск: Том 512, № 1 (2023)
- Страницы: 65-74
- Раздел: ХИМИЯ
- URL: https://ogarev-online.ru/2686-9535/article/view/247183
- DOI: https://doi.org/10.31857/S2686953523600356
- EDN: https://elibrary.ru/JMZVQZ
- ID: 247183
Цитировать
Полный текст
Аннотация
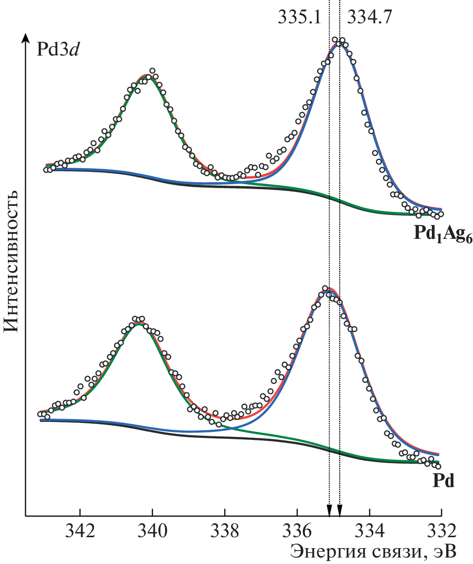
В работе получен “одноатомный сплавной” Pd1Ag6/Al2O3 катализатор селективного гидрирования примесей ацетилена в этилене с “корочковым” распределением активной фазы по гранулам катализатора. Формирование “корочковой” структуры подтверждено методом электронно-зондового микроанализа. Установлено, что металлы преимущественно локализованы на глубине 130–160 мкм от поверхности гранул. Методами просвечивающей электронной микроскопии и рентгеновской фотоэлектронной спектроскопии установлено формирование твердого раствора замещения PdAg с переносом электронной плотности от Ag к Pd. Формирование “одноатомных” палладиевых центров подтверждено методом ИК-спектроскопии адсорбированного СО. В реакции селективного гидрирования ацетилена “одноатомный сплавной” катализатор Pd1Ag6/Al2O3 показал высокую селективность, которая радикально превышает селективность монометаллического палладиевого катализатора.
Об авторах
И. С. Машковский
Федеральное государственное бюджетноеучреждение науки Институт органической химии
им. Н.Д. Зелинского Российской академии наук
Автор, ответственный за переписку.
Email: im@ioc.ac.ru
Россия, 119991, Москва
Д. П. Мельников
Федеральное государственное бюджетноеучреждение науки Институт органической химии
им. Н.Д. Зелинского Российской академии наук; Федеральное государственное автономное образовательное учреждение высшего образования “Российский государственный университет нефти
и газа (национальный исследовательский университет) имени И.М. Губкина”
Email: st@ioc.ac.ru
Россия, 119991, Москва; Россия, 119991, Москва
П. В. Марков
Федеральное государственное бюджетноеучреждение науки Институт органической химии
им. Н.Д. Зелинского Российской академии наук
Email: st@ioc.ac.ru
Россия, 119991, Москва
Г. Н. Баева
Федеральное государственное бюджетноеучреждение науки Институт органической химии
им. Н.Д. Зелинского Российской академии наук
Email: st@ioc.ac.ru
Россия, 119991, Москва
Н. С. Смирнова
Федеральное государственное бюджетноеучреждение науки Институт органической химии
им. Н.Д. Зелинского Российской академии наук
Email: st@ioc.ac.ru
Россия, 119991, Москва
Г. О. Брагина
Федеральное государственное бюджетноеучреждение науки Институт органической химии
им. Н.Д. Зелинского Российской академии наук
Email: st@ioc.ac.ru
Россия, 119991, Москва
А. Ю. Стахеев
Федеральное государственное бюджетноеучреждение науки Институт органической химии
им. Н.Д. Зелинского Российской академии наук
Автор, ответственный за переписку.
Email: st@ioc.ac.ru
Россия, 119991, Москва
Список литературы
- Gao Y., Neal L., Ding D., Wu W., Baroi C., Gaffney A.M., Li F. // ACS Catal. 2019. V. 9. P. 8592–8621. https://doi.org/10.1021/acscatal.9b02922
- Shen F., Wang X., Huang L., Ye Z., Qian F. // Ind. Eng. Chem. Res. 2019. V. 58. P. 1686–1700. https://doi.org/10.1021/acs.iecr.8b05247
- Sundaram K.M., Shreehan M.M., Olszewski E.F. Ethylene. In: Kirk-Othmer Encyclopedia of Chemical Technology. V. 9. John Wiley & Sons, 2000. P. 431. https://doi.org/10.1002/0471238961.0520082519211404.a01.pub3
- Zimmermann H., Walzl R. Ethylene. In: Ullmann’s Encyclopedia of Industrial Chemistry. V. 13. Wiley-VCH Verlag GmbH&Co. KGaA, 2000. P. 465. https://doi.org/10.1002/14356007.a10_045.pub3
- Akah A., Williams J., Ghrami M. // Catal. Surv. Asia. 2019. V. 23. P. 265–276. https://doi.org/10.1007/s10563-019-09280-6
- Gholami Z., Gholami F., Tišler Z., Tomas M., Vakili M. // Energies. 2021. V. 14. P. 1089. https://doi.org/10.3390/en14041089
- Zakria M.H., Mohd Nawawi M.G., Abdul Rahman M.R., Saudi M.A. // Polyolefins J. 2021. V. 8. P. 105–113. https://doi.org/10.22063/poj.2021.2795.1169
- Borodziński A., Bond G.C. // Catal. Rev. 2008. V. 50. P. 379–469. https://doi.org/10.1080/01614940802142102
- Arnold H., Döbert F., Gaube J. Organic Reactions: Hydrogenation Reactions: Selective Hydrogenation of Hydrocarbons. In: Handbook of Heterogeneous Cata-lysis. Ertl G., Knözinger H., Schüth F., Weitkamp J. (Eds.). Wiley-VCH Verlag GmbH & Co. KGaA, 2008. P. 3266−3284. https://doi.org/10.1002/9783527610044.hetcat0166
- Глыздова Д.В., Смирнова Н.С., Шляпин Д.А., Цырульников П.Г. // Рос. хим. ж. 2018. Т. 62. С. 89–109. https://doi.org/10.1134/S1070363220060298
- McCue A.J., Anderson J.A. // Front. Chem. Sci. Eng. 2015. V. 9. P. 142–153. https://doi.org/10.1007/s11705-015-1516-4
- Shittu T.D., Ayodele O.B. // Front. Chem. Sci. Eng. 2022. V. 16. P. 1031–1059. https://doi.org/10.1007/s11705-021-2113-3
- Ravanchi M.T., Sahebdelfar S., Komeili S. // Rev. Chem. Eng. 2018. V. 34. P. 215–237. https://doi.org/10.1515/revce-2016-0036
- Concepción P., García S., Hernández-Garrido J.C., Calvino J.J., Corma A. // Catal. Today. 2016. V. 259. P. 213–221. https://doi.org/10.1016/j.cattod.2015.07.022
- Николаев С.А., Кротова И.Н. // Нефтехимия. 2013. Т. 53. С. 442–448. https://doi.org/10.7868/S0028242113050079
- Choudhary T.V., Sivadinarayana C., Datye A.K., Kumar D., Goodman D.W. // Catal. Lett. 2003. V. 86. P. 1–8. https://doi.org/10.1023/A:1022694505504
- Zhang R., Zhang J., Zhao B., He L., Wang A., Wang B. // J. Phys. Chem. C. 2017. V. 121. P. 27936–27949. https://doi.org/10.1021/acs.jpcc.7b08125
- McCue A.J., Shepherd A.M., Anderson J.A. // Catal. Sci. Tech. 2015. V. 5. P. 2880–2890. https://doi.org/10.1039/C5CY00253B
- Cao X., Mirjalili A., Wheeler J., Xie W., Jang B.W.-L. // Front. Chem. Sci. Eng. 2015. V. 9. P. 442–449. https://doi.org/10.1007/s11705-015-1547-x
- Friedrich M., Villaseca S.A., Szentmiklósi L., Teschner D., Armbrüster M. // Materials. 2013. V. 6. P. 2958–2977. https://doi.org/10.3390/ma6072958
- Glyzdova D.V., Smirnova N.S., Leont’eva N.N., Gerasimov E.Yu., Prosvirin I.P., Vershinin V.I., Shlyapin D.A., Tsyrul’nikov P.G. // Kinet. Catal. 2017. V. 58. P. 140–146. https://doi.org/10.1134/S0023158417020057
- Glyzdova D.V., Afonasenko T.N., Khramov E.V., Trenikhin M.V., Prosvirin I.P., Shlyapin D.A. // ChemCatChem. 2022. V. 14. e202200893. https://doi.org/10.1002/cctc.202200893
- Машковский И.С., Ткаченко О.П., Баева Г.Н., Стахеев А.Ю. // Кинетика и катализ. 2009. Т. 50. P. 798–805. https://doi.org/10.1134/S0023158409050206
- Meunier F., Maffre M., Schuurman Y., Colussi S., Trovarelli A. // Catal. Commun. 2018. V. 105. P. 52–55. https://doi.org/10.1016/j.catcom.2017.11.012
- Mashkovsky I.S., Markov P.V., Bragina G.O., Baeva G.N., Rassolov A.V., Bukhtiyarov A.V., Prosvirin I.P., Bukhtiyarov V.I., Stakheev A.Yu. // Mendeleev Commun. 2018. V. 28. P. 152–154. https://doi.org/10.1016/j.mencom.2018.03.014
- Praserthdam P., Ngamsom B., Bogdanchikova N., Phatanasri S., Pramotthana M. // Appl. Catal. A: General. 2002. V. 230. P. 41–51. https://doi.org/10.1016/S0926-860X(01)00993-0
- Takht Ravanchi M., Sahebdelfar S., Rahimi Fard M., Moosavi H. // Iran. J. Chem. Eng. 2021. V. 18. P. 19–30. https://doi.org/10.22034/ijche.2021.269052.1382
- Delgado J.A., Benkirane O., de Lachaux S., Claver C., Ferré J., Curulla-Ferré D., Godard C. // ChemNanoMat. 2022. V. 8. e202200058. https://doi.org/10.1002/cnma.202200058
- Kley K.S., De Bellis J., Schüth F. // Catal. Sci. Technol. 2023. V. 13. P. 119–131. https://doi.org/10.1039/D2CY01424F
- Pei G.X., Liu X.Y., Wang A., Lee A.F., Isaacs M.A., Li L., Pan X., Yang X., Wang X., Tai Z., Wilson K., Zhang T. // ACS Catal. 2015. V. 5. P. 3717–3725. https://doi.org/10.1021/acscatal.5b00700
- Chai S., Gao D., Xia J., Yang Y., Wang X. // ChemCatChem. 2023. V. 15. e202300217. https://doi.org/10.1002/cctc.202300217
- Pachulski A., Schödel R., Claus P. // Appl. Catal. A: General. 2012. V. 445–446. P. 107–120. https://doi.org/10.1016/j.apcata.2012.08.018
- Gotz D., Kuhn M., Claus P. // Chem. Eng. Res. Des. 2015. V. 94. P. 594–604. https://doi.org/10.1016/j.cherd.2014.10.005
- Zhang Q., Li J., Liu X., Zhu Q. // Appl. Catal. A. 2000. V. 197. P. 221–228. https://doi.org/10.1016/S0926-860X(99)00463-9
- Huang D.C., Chang K.H., Pong W.F., Tseng P.K., Hung K.J., Huang W.F. // Catal. Lett. 1998. V. 53. P. 155–159. https://doi.org/10.1023/a:1019022326090
- Zhang Y., Diao W., Williams C.T., Monnier J.R. // Appl. Catal. A. 2014. V. 469. P. 419–426. https://doi.org/10.1016/j.apcata.2013.10.024
- Kuhn M., Lucas M., Claus P. // Ind. Eng. Chem. Res. 2015. V. 54. P. 6683–6691. https://doi.org/10.1021/acs.iecr.5b01682
- Glyzdova D.V., Afonasenko T.N., Khramov E.V., Leont’eva N.N., Prosvirin I.P., Bukhtiyarov A.V., Shlya-pin D.A. // Appl. Catal. A. 2020. V. 600. P. 117627. https://doi.org/10.1016/j.apcata.2020.117627
- Lee J.H., Kim S.K., Ahn I.Y., Kim W.-J., Moon S.H. // Catal. Commun. 2011. V. 12. P. 1251–1254. https://doi.org/10.1016/j.catcom.2011.04.015
- Ahn I.Y., Lee J.H., Kim S.K., Moon S.H. // Appl. Catal. A. 2009. V. 360. P. 38–42. https://doi.org/10.1016/j.apcata.2009.02.044
- Pachulski A., Schödel R., Claus P. // Appl. Catal. A. 2011. V. 400. P. 14–24. https://doi.org/10.1016/j.apcata.2011.03.019
- Hannagan R.T., Giannakakis G., Flytzani-Stephanopoulos M., Sykes E.C.H. // Chem. Rev. 2020. V. 120. P. 12044–12088. https://doi.org/10.1021/acs.chemrev.0c00078
- Giannakakis G., Flytzani-Stephanopoulos M., Sy-kes E.C.H. // Acc. Chem. Res. 2019. V. 52. P. 237–247. https://doi.org/10.1021/acs.accounts.8b00490
- Машковский И.С., Марков П.В., Рассолов А.В., Патиль Е.Д., Стахеев А.Ю. // Успехи химии. 2023. Т. 92. № 8. RCR5087. https://doi.org/10.59761/RCR5087
- Рассолов А.В., Брагина Г.О., Баева Г.Н., Машковский И.С., Стахеев А.Ю. // Кинетика и катализ. 2020. Т. 61. С. 837–847. https://doi.org/10.31857/S0453881120060131
- Rassolov A.V., Mashkovsky I.S., Bragina G.O., Baeva G.N., Markov P.V., Smirnova N.S., Wärnå J., Stakheev A.Yu., Murzin D.Yu. // Mol. Catal. 2021. V. 506. P. 111550. https://doi.org/10.1016/j.mcat.2021.111550
- Schimpf S., Gaube J., Claus P. Selective Hydrogenation of Multiple Unsaturated Compounds. In: Basic Principles in Applied Catalysis. Springer Series in Chemical Physics. Baerns M. (Ed.). V. 75. Springer, Berlin, Heidelberg, 2004. P. 85–123. https://doi.org/10.1007/978-3-662-05981-4_3
- Takht Ravanchi M., Sahebdelfar S. // Appl. Catal. A. 2016. V. 525. P. 197–203. https://doi.org/10.1016/j.apcata.2016.07.014
- Wuchter N., Schäfer P., Schüler C., Gaube J., Miehe G., Fuess H. // Chem. Eng. Technol. 2006. V. 29. P. 1487–1495. https://doi.org/10.1002/ceat.200600237
- Osswald J., Kovnir K., Armbrüster M., Giedigkeit R., Jentoft R.E., Wild U., Grin Yu., Schlögl R. // J. Catal. 2008. V. 258. P. 219–227. https://doi.org/10.1016/j.jcat.2008.06.014
- Bukhtiyarov A.V., Panafidin M.A., Prosvirin I.P., Mashkovsky I.S., Markov P.V., Rassolov A.V., Smirnova N.S., Baeva G.N., Rameshan C., Rameshan R., Zubavichus Ya.V., Bukhtiyarov V.I., Stakheev A.Yu. // Appl. Surf. Sci. 2022. V. 604. P. 154497. https://doi.org/10.1016/j.apsusc.2022.154497
- Kim S.K., Kim C., Lee J.H., Kim J., Lee H., Moon S.H. // J. Catal. 2013. V. 306. P. 146–154. https://doi.org/10.1016/j.jcat.2013.06.018
- Lear T., Marshall R., Lopez-Sanchez J.A., Jackson S.D., Klapotke T.M., Baumer M., Rupprechter G., Freund H.J., Lennon D. // J. Chem. Phys. 2005. V. 123. P. 174706. https://doi.org/10.1063/1.2101487
- Cabilla G.C., Bonivardi A.L., Baltanás M.A. // Catal. Lett. 1998. V. 55. P. 147–156. https://doi.org/10.1023/A:1019095231484
- Vannice M.A., Wang S.Y. // J. Phys. Chem. 1981. V. 85. P. 2543–2546. https://doi.org/10.1021/j150617a026
- Рассолов А.В., Брагина Г.О., Баева Г.Н., Смирнова Н.С., Казаков А.В., Машковский И.С., Бухтияров А.В., Зубавичус Я.В., Стахеев А.Ю. // Кинетика и катализ. 2020. Т. 61. С. 676–686. https://doi.org/10.31857/S045388112005010X
- Aich P., Wei H., Basan B., Kropf A.J., Schweitzer N.M., Marshall C.L., Miller J.T., Meyer R. // J. Phys. Chem. C. 2015. V. 119. P. 18140–18148. https://doi.org/10.1021/acs.jpcc.5b01357
Дополнительные файлы







