CURRENT TRENDS IN THE SYNTHESIS OF INORGANIC AND ORGANOELEMENT PHOSPHORUS- AND SULFUR-CONTAINING POLYMERS. A REVIEW
- Authors: Tarasova N.P.1, Krivoborodov E.G.1, Mezhuev Y.O.1,2
-
Affiliations:
- Dmitry Mendeleev University of Chemical Technologies
- A.N. Nesmeyanov Institute of Organoelement compounds of Russian Academy of Sciences
- Issue: Vol 512, No 1 (2023)
- Pages: 5-20
- Section: CHEMISTRY
- URL: https://ogarev-online.ru/2686-9535/article/view/247176
- DOI: https://doi.org/10.31857/S2686953523600022
- EDN: https://elibrary.ru/CHGMYK
- ID: 247176
Cite item
Full Text
Abstract
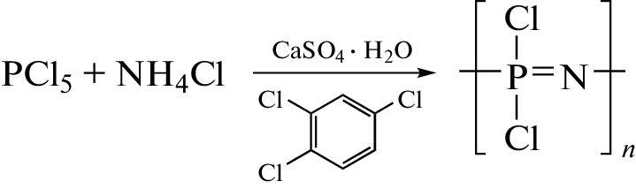
The analysis of the literature data on the set of reactions for the production of macromolecules with a high content of phosphorus and sulfur is carried out, and the main approaches allowing to involve these elements in the composition of polymers and polymer materials, considering the fundamental principles of green chemistry, are considered. The methods leading to the formation of functional polymers under mild conditions with minimal energy consumption from external sources necessary for the synthesis, which can become new growth points of green industrial technologies, are considered. Particular attention is paid to the issues of synthesis of polyphosphazenes and polyphosphoesters for biomedical purposes, as well as the inverse vulcanization reaction with the formation of polymers that are used in sorption wastewater treatment, the creation of current sources and IR optics.
About the authors
N. P. Tarasova
Dmitry Mendeleev University of Chemical Technologies
Email: vv1992@yandex.ru
Russian Federation, 125047, Moscow
E. G. Krivoborodov
Dmitry Mendeleev University of Chemical Technologies
Author for correspondence.
Email: vv1992@yandex.ru
Russian Federation, 125047, Moscow
Y. O. Mezhuev
Dmitry Mendeleev University of Chemical Technologies; A.N. Nesmeyanov Institute of Organoelement compounds of Russian Academy of Sciences
Email: vv1992@yandex.ru
Russian Federation, 125047, Moscow; Russian Federation,
119334, Moscow
References
- Rockström J., Steffen W., Noone K., Persson A., Stuart Chapin F., Lambin E., Lenton T., Scheffer M., Folke C., Schellnhuber H., Nykvist B., de Wit C., Hughes T., Van der Leeuw S., Rodhe H., Sörlin S., Snyder P., Costanza R., Svedin U., Falkenmark M., Karlberg L., Corell R., Fabry V., Hansen J., Walker B., Liverman D., Richardson K., Crutzen P., Foley J. // Nature. 2009. V. 461. P. 472–475. https://doi.org/10.1038/461472a
- Metson G., Brownlie W., Spears B. // npj Urban Sustain. 2022. V. 2. № 1. P. 30. https://doi.org/10.1038/s42949-022-00076-8
- Karunarathna M., Lauer M., Thiounn T., Smith R., Tennyson A. // J. Mater. Chem. A. 2019. V. 7. P. 15683–15690. https://doi.org/10.1039/C9TA03222C
- Tarasova N.P., Zanin A.A., Krivoborodov E.G., Mezhu-ev Ya.O. // RSC Adv. 2021. V. 11. P. 9008–9020. https://doi.org/10.1039/D0RA10507D
- Газпром переработка // Доступно по: https://pererabotka.gazprom.ru/press/news/2019/10/889/. Ссылка активна на 23.08.2023 г.
- Xiao P., Chen W., Wang X. // Adv. Energy Mater. 2015. V. 5. P. 1500985. https://doi.org/10.1002/aenm.201500985
- Chen L., Wang Y.-Z. // Polym. Adv. Technol. 2010. V. 21. P. 1–26. https://doi.org/10.1002/pat.1550
- Ansari S.A., Khan Z., Ansari M.O., Cho M. // RSC Adv. 2016. V. 6. P. 44616–44629. https://doi.org/10.1039/C6RA06145A
- Cisse L., Mrabet T. // Phosphorus Res. Bull. 2004. V. 15. P. 21–25. https://doi.org/10.3363/prb1992.15.0_21
- Tarasova N.P., Smetannikov Yu.V. // Dokl. Chem. 2011. V. 437. № 1. P. 53–56. https://doi.org/10.1134/S0012500811030049
- Sukhov B., Malysheva S., Vakul’skaya T., Tirsky V., Martynovich E., Smetannikov Y., Tarasova N. // Arkivoc. 2003. V. 13. P. 196–204. https://www.arkat-usa.org/get-file/19755
- Тарасова Н.П., Сметанников Ю.В., Артемкина И.М., Лавров И.А., Синайский М.А., Ермаков В.И. // ДАН. 2006. V. 410. № 5. P. 640.
- Tarasova N.P., Smetannikov Yu.V., Artemkina I.M., Vilesov A.S. // Phosphorus, Sulfur Silicon Relat. Elem. 2008. V. 183. № 2–3. P. 586–593. https://doi.org/10.1080/10426500701765004
- Tarasova N.P., Smetannikov Yu.V., Vilesov A.S., Za-nin A.A. // Pure Appl. Chem. 2009. V. 81. № 11. P. 2115–2122. https://doi.org/10.1351/PAC-CON-08-10-14
- Tarasova N.P., Zanin A.A., Smetannikov Yu.V., Vile-sov A.S. // C. R. Chim. 2010. V. 13. № 8–9. P. 1028–1034. https://doi.org/10.1016/j.crci.2010.05.013
- Tarasova N.P., Smetannikov Yu.V., Zanin A.A. // Dokl. Chem. 2013. V. 449. P. 111–113. https://doi.org/10.1134/S0012500813040010
- Tarasova N.P., Zanin A.A. // Pure Appl. Chem. 2019. V. 91. № 4. P. 671–686. https://doi.org/10.1515/pac-2018-0716
- Teptereva G.A., Pakhomov S.I., Chetvertneva I.A., Karimov E.H., Egorov M.P., Movsumzade E.M., Evstigne-ev E.I., Vasiliev A.V., Sevastyanova M.V., Voloshin A.I., Nifantyev N.E., Nosov V.V., Dokichev V.A., Baba-ev E.R., Rogovina S.Z., Berlin A.A., Fakhreeva A.V., Baulin O.A., Kolchina G.Y., Voronov M.S., Starove-rov D.V., Kozlovsky R.A., Tarasova N.P., Zanin A.A., Krivoborodov E.G., Karimov O.K., Flid V.R., Logino-va M.E., Kozlovsky I.A. // ChemChemTech. 2021. V. 64. P. 4–121. https://doi.org/10.6060/ivkkt.20216409.6465
- Tarannum A., Muvva C., Mehta A., Rao J.R., Fathi-ma N.N. // RSC Adv. 2016. V. 6. P. 4022–4033. https://doi.org/10.1039/C5RA22441A
- Steinrück H.-P., Wasserscheid P. // Catal. Lett. 2015. V. 145. P. 380–397. https://doi.org/10.1007/s10562-014-1435-x
- Welton T. // Coord. Chem. Rev. 2004. V. 248. № 21–24. P. 2459–2477. https://doi.org/10.1016/j.ccr.2004.04.015
- Gaur A., Avula N., Balasubramanian S. // J. Phys. Chem. B. 2020. V. 124. № 40. P. 8844−8856. https://doi.org/10.1021/acs.jpcb.0c04939
- Tarasova N.P., Zanin A.A., Krivoborodov E.G. // Dokl. Phys. Chem. 2022. V. 503. P. 39–44. https://doi.org/10.1134/S0012501622040017
- Jagadeeswara Rao Ch., Venkatesan K.A., Tata B.V.R., Nagarajan K., Srinivasan T.G., Vasudeva Rao P.R. // Radiat. Phys. Chem. 2011. V. 80. № 5. P. 643–649. https://doi.org/10.1016/j.radphyschem.2011.01.012
- Tarábek P., Liu S., Haygarth K., Bartels D.M. // Radiat. Phys. Chem. 2009. V. 78. 168–172. https://doi.org/10.1016/j.radphyschem.2008.11.006
- Yuan L., Peng J., Xu L., Zhai M., Li J., Wei G. // Radiat. Phys. Chem. 2009. V. 78. P. 1133–1136. https://doi.org/10.1016/j.radphyschem.2009.07.003
- Dhiman S.B., Goff G.S., Runde W., LaVerne J.A. // J. Nucl. Mater. 2014. V. 453. № 1–3. P. 182–187. https://doi.org/10.1016/j.jnucmat.2014.06.056
- Shkrob I.A., Marin T., Cheremisinov S.D., Wishart J. // J. Phys. Chem. B. 2011 V. 115. № 37. P. 10927–10942. https://doi.org/10.1021/jp206579j
- Shkrob I.A., Marin T.W., Cheremisinov S.D., Wishart J. // J. Phys. Chem. B. 2011. V. 115. № 14. P. 3872–3888. https://doi.org/10.1021/jp2003062
- Ao Y., Yuan W., Yu T., Peng J., Li J., Zhai M., Zhao L. // Phys. Chem. Chem. Phys. 2015. V. 17 № 5. P. 3457–3462. https://doi.org/10.1039/c4cp04294h
- Guleria A., Singh A.K., Adhikari S., Sarkar S.K. // Dalton Trans. 2014. V. 49. P. 609–625. https://doi.org/10.1039/C3DT51265G
- Mincher B.J., Wishart J.F. // Solvent Extr. Ion Exch. 2014. V. 32. № 6. P. 563–583. https://doi.org/10.1080/07366299.2014.925687
- Ao Y., Peng J., Yuan L., Cui Z., Li C., Li J., Zhai M. // Dalton Trans. 2013. V. 42. № 12. P. 4299–4305. https://doi.org/10.1039/C2DT32418K
- Le Rouzo G., Lamouroux C., Dauvois V., Dannoux A., Legand S., Durand D., Moisy P., Moutiers G. // Dalton Trans. 2009. V. 38. № 31. P. 6175–6184. https://doi.org/10.1039/B903005K
- Tarasova N.P., Smetannikov Y.V., Polyiansky D.E. Synthesis of Polymeric Forms of Phosphorus. In: Green Industrial Applications of Ionic Liquids. Rogers R.D., Seddon K.R., Volkov S. (Eds.). Kluwer Academic Publishers, Boston, 2003. https://doi.org/10.1007/978-94-010-0127-4_32
- Trofimov B.A., Malysheva S.F., Gusarova N.K., Belogorlova N.A., Kuimov V.A., Sukhov B.G., Tarasova N.P., Smetannikov Y.V., Vilesov A.S., Sinegovskaya L.M., Arsent’ev K.Y., Likhoshvai E.V. // Dokl. Chem. 2009. V. 427. P. 153–155. https://doi.org/10.1134/S0012500809070027
- Yakhvarov D.G., Gorbachuk E.V., Kagirov R.M., Sinyashin O.G. // Russ. Chem. Bull. 2012. V. 61. P. 1300–1312. https://doi.org/10.1007/s11172-012-0176-5
- Hart M., White E., Chen J., McGilvery C., Pickard C., Michaelides A., Sella A., Shaffer M., Salzmann C. // Angew. Chem. Int. Ed. 2017. V. 56. P. 8144–8148. https://doi.org/10.1002/anie.201703585
- Tarasova N., Zanin A., Sobolev P., Ivanov A. // Phosphorus, Sulfur Silicon Relat. Elem. 2022. V. 197. № 5–6. P. 608–609. https://doi.org/10.1080/10426507.2021.2011885
- Deng M., Kumbar S.G., Wan Y., Toti U.S., Allcock H.R., Laurencin C.T. // Soft Matter. 2010. V. 6. № 14. P. 3119–3132. https://doi.org/10.1039/B926402G
- Andrianov A., Langer R. // J. Controlled Release. 2021. V. 329. P. 299–315. https://doi.org/10.1016/j.jconrel.2020.12.001
- Chernysheva A.I., Esin A.S., Soldatov M.A., Bredov N.S., Kireev V.V., Oberemok V.V., Sirotin I.S., Gorlov M.V. // IOP Conf. Ser.: Mater. Sci. Eng. 2021. V. 1117. P. 012027. https://doi.org/10.1088/1757-899X/1117/1/012027
- Allcock H.R. // Soft Matter. 2012. V. 8. № 29. P. 7521–7532. https://doi.org/10.1039/C2SM26011E
- Chen F., Teniola O.R., Ogueri K.S., Laurencin C.T. // Regen. Eng. Transl. Med. 2022. https://doi.org/10.1007/s40883-022-00278-7
- Strasser P., Teasdale I. // Molecules. 2020. V. 25. P. 1716. https://doi.org/10.3390/molecules25071716
- Rothemund S., Teasdale I. // Chem. Soc. Rev. 2016. V. 45. P. 5200–5215. https://doi.org/10.1039/C6CS00340K
- Ngo D.C., Rutt J.S., Allcock H.R. // J. Am. Chem. Soc. 1991. V. 113. № 13. P. 5075–5076. https://doi.org/10.1021/ja00013a061
- Allcock H.R., Gardner J.E., Smeltz K.M. // Macromo-lecules. 1975. V. 8. № 1. P. 36–42. https://doi.org/10.1021/ma60043a008
- Carriedo G., Garcia Alonso F.J., Gomez-Elipe P., Ignacio Fidalgo J., Garcia Alvarez J., Presa-Soto A. // Chem. Eur. J. 2003. V. 9. № 16. P. 3833–3836. https://doi.org/10.1002/chem.200304750
- Gleria M., Jaeger R. Polyphosphazenes: A Review. In: New Aspects in Phosphorus Chemistry V. Topics in Current Chemistry. Majoral J.P. (Ed.). V. 250. Springer Berlin, Heidelberg, 2005. P. 165–251. https://doi.org/10.1007/b100985
- Allen C.W., Hneihen A.S. // Phosphorus, Sulfur Silicon Relat. Elem. 1999. V. 144. № 1. P. 213–216. https://doi.org/10.1080/10426509908546220
- Wang B. // Macromolecules. 2005. V. 38. № 2. P. 643–645. https://doi.org/10.1021/ma0489772
- Suárez Suárez S., Presa Soto D., Carriedo G., Presa Soto A., Staubitz A. // Organometallics. 2012. V. 31. № 7. P. 2571–2581. https://doi.org/10.1021/om201012g
- Andrianov A.K., Chen J., LeGolvan M.P. // Macromo-lecules. 2004. V. 37. № 2. P. 414–420. https://doi.org/10.1021/ma0355655
- Wisian-Neilson P., Neilson R.H. Synthesis and Modification of Poly(alkyl/arylphosphazenes). In: Polyphosphazenes in Biomedicine, Engineering, and Pioneering Synthesis. Andrianov A.K., Allcock S.H. (Eds.). V. 1298. American Chemical Society: Washington, DC, USA, 2018. P. 167–181. https://doi.org/10.1021/bk-2018-1298.ch008
- Chistyakov E.M., Tupikov A.S., Buzin M.I., Borisov R.S., Kireev V.V. // Mater. Chem. Phys. 2019. V. 223. P. 353–359. https://doi.org/10.1016/j.matchemphys.2018.11.008
- Chistyakov E.M., Filatov S.N., Kireev V.V., Prudskov B.M., Chetverikova A.I., Chuev V.P., Borisov R.S. // Polym. Sci. Ser. B. 2013. V. 55. P. 355–359. https://doi.org/10.1134/S156009041306002X
- Chistyakov E.M., Panfilova D.V., Kireev V.V., Volkov V.V., Bobrov M.F. // J. Mol. Struct. 2017. V. 1148. P. 1–6. https://doi.org/10.1016/j.molstruc.2017.07.005
- Terekhov I.V., Filatov S.N., Chistyakov E.M., Borisov R.S., Kireev V.V. // Russ. J. Appl. Chem. 2013. V. 86. P. 1600–1604. https://doi.org/10.1134/S1070427213100200
- Bobrov M.F., Buzin M.I., Primakov P.V., Chistyakov E.M. // J. Mol. Struct. 2020. V. 1208. P. 127896. https://doi.org/10.1016/j.molstruc.2020.127896
- Chistyakov E., Yudaev P., Nelyubina Y. // Nanomaterials. 2022. V. 12. № 13. P. 2268. https://doi.org/10.3390/nano12132268
- Xu H., Zhang X., Liu D., Yan C., Chen X., Hui D., Zhu Y. // Compos. B. Eng. 2016. V. 93. P. 244–251. https://doi.org/10.1016/j.compositesb.2016.03.033
- Strakhov I.S., Rodnaya A.I., Mezhuev Ya.O., Korshak Yu.V., Vagramyan T.A. // Russ. J. Appl. Chem. 2014. V. 87. № 12. P. 1918–1922. https://doi.org/10.1134/S1070427214120209
- Tian H., Tang Z., Zhuang X., Chen X., Jing X. // Prog. Polym. Sci. 2012. V. 37. № 2. P. 237–280. https://doi.org/10.1016/j.progpolymsci.2011.06.004
- Yilmaz Z.E., Jérôme C. // Macromol. Biosci. 2016. V. 16. P. 1745–1761. https://doi.org/10.1002/mabi.201600269
- Zhang F., Zhang S., Pollack S.F., Li R., Gonzalez A.M., Fan J., Zou J., Leininger S.E., Pavia-Sanders A., Johnson R., Nelson L.D., Raymond J.E., Elsabahy M., Hughes D.M.P., Lenox M.W., Gustafson T.P., Wo-oley K.L. // J. Am. Chem. Soc. 2015. V. 137. № 5. P. 2056–2066. https://doi.org/10.1021/ja512616s
- Percec S., Natansohn A., Dima M. // Angew. Makromol. Chem. 1979. V. 80. № 1. P. 143–148. https://doi.org/10.1002/apmc.1979.050800111
- Pelosi C., Tinè M.R., Wurm F.R. // Eur. Polym. J. 2020. V. 141. P. 110079. https://doi.org/10.1016/j.eurpolymj.2020.110079
- Iwasaki Y., Yamaguchi E. // Macromolecules. 2010. V. 43. №. 6. P. 2664–2666. https://doi.org/10.1021/ma100242s
- Yolsal U., Horton T.A.R., Wang M., Shaver M.P. // Prog. Polym. Sci. 2020. V. 111. P. 101313. https://doi.org/10.1016/j.progpolymsci.2020.101313
- Henke H., Brüggemann O., Teasdale I. // Macromol. Rapid Commun. 2017. V. 38. P. 1600644. https://doi.org/10.1002/marc.201600644
- Becker G., Wurm F.R. // Chem. Soc. Rev. 2018. V. 47. № 20. P. 7739–7782. https://doi.org/10.1039/C8CS00531A
- Nifant’ev I.E., Ivchenko P.V. // Int. J. Mol. Sci. 2022. V. 23. P. 14857. https://doi.org/10.3390/ijms232314857
- Dirauf M., Muljajew I., Weber C., Schubert U.S. // Prog. Polym. Sci. 2022. V. 129. P. 101547. https://doi.org/10.1016/j.progpolymsci.2022.101547
- Rheinberger T., Ankone M., Grijpma D., Wurm F.R. // Eur. Polym. J. 2022. V. 180. P. 111607. https://doi.org/10.1016/j.eurpolymj.2022.111607
- Clément B., Grignard B., Koole L., Jérôme C., Lecomte P. // Macromolecules. 2012. V. 45. № 11. P. 4476–4486. https://doi.org/10.1021/ma3004339
- Zhang S., Li A., Zou Z.J., Lin L.Y., Wooley K.L. // ACS Macro Letters. 2012. V. 1. № 2. P. 328–333. https://doi.org/10.1021/mz200226m
- Huang X., Huang X.J., Yu A.D., Wang C., Dai Z.W., Xu Z.K. // Macromol. Chem. Phys. 2011. V. 212. P. 272–277. https://doi.org/10.1002/macp.201000439
- Chen C., Xu H., Qian Y.C., Huang X.J. // RSC Adv. 2015. V. 5. № 21. P. 15909–15915. https://doi.org/10.1039/C4RA14012E
- Strzelecka K., Piotrowska U., Sobczak M., Oledzka E. // Int. J. Mol. Sci. 2023. V. 24. P. 1053. https://doi.org/10.3390/ijms24021053
- Balzade Z., Sharif F., Ghaffarian Anbaran S.R. // Macromolecules. 2022. V. 55. № 16. P. 6938−6972. https://doi.org/10.1021/acs.macromol.2c00594
- Du X., Sun Y., Zhang M., He J., Ni P. // ACS Appl. Mater. Interfaces. 2017. V. 9. № 16. P. 13939–13949. https://doi.org/10.1021/acsami.7b02281
- Vanslambrouck S., Riva R., Ucakar B., Préat V., Gagliardi M., Molin D.G.M., Lecomte P., Jérôme C. // Molecules. 2021. V. 26. P. 1750. https://doi.org/10.3390/molecules26061750
- Xiong C., Cao S., Wang Y., Wang X., Long S., Zhang G., Yang J. // J. Coat. Technol. Res. 2019. V. 16. P. 643–650. https://doi.org/10.1007/s11998-018-00172-4
- Cetina-Mancilla E., Reyes-García G., Rodríguez-Molina M, Zolotukhin M.G., Vivaldo-Lima E., González-Díaz M.O., Ramos-Ortiz G. // Eur. Polym. J. 2023. V. 184. P. 111800. https://doi.org/10.1016/j.eurpolymj.2022.111800
- Firdaus M., Montero de Espinosa L., Meier M.A.R. // Macromolecules. 2011. V. 44. № 18. P. 7253–7262. https://doi.org/10.1021/ma201544e
- Guo Y., Li Q., Lv L., Zhou P., Wang J., Wu Z., Wang G. // Polymer. 2020. V. 186. P. 122049. https://doi.org/10.1016/j.polymer.2019.122049
- Watanabe S., Oyaizu K. // ACS Appl. Polym. Mater. 2021. V. 3. № 9. P. 4495–4503. https://doi.org/10.1021/acsapm.1c00536
- Besse J., Chasen S., Claborn T., Collins A., Darpel A., Fatta A., Ghanim R., Kanaan G., Lukyanchuk A., Nelson T., Ray J., Smith A., Spagnola J., Veazey S., Womack L., Wells M., Panth N., Parkin S., Watson M. // J. Polym. Sci. 2022. V. 60. № 12. P. 1918–1923. https://doi.org/10.1002/pol.20220115
- Zhang T., Fu X., Leng H., Liu S., Long S., Yang J., Zhang G., Wang X., Yang J. // Langmuir. 2022. V. 38. № 36. P. 10975–10985. https://doi.org/10.1021/acs.langmuir.2c01381
- Abbasi A., Nasef M.M., Yahya W.Z.N. // Green Mater. 2020. V. 8. № 4. P. 172–180. https://doi.org/10.1680/jgrma.19.00053
- Ghumman A.S.M., Shamsuddin R., Nasef M.M., Krivo-borodov E.G., Ahmad S., Zanin A.A., Mezhuev Ya.O., Abbasi A. // Polymers. 2021. V. 13. P. 4040. https://doi.org/10.3390/polym13224040
- Boyd D.A. // Angew. Chem. Int. Ed. 2016. V. 55. № 50. P. 15486–15502. https://doi.org/10.1002/anie.201604615
- Griebel J.J., Glass R.S., Char K., Pyun J. // Progr. Polym. Sci. 2016. V. 58. P. 90–125. https://doi.org/10.1016/j.progpolymsci.2016.04.003
- Vidal F., Jäkle F. // Angew. Chem. Int. Ed. 2019. V. 58. № 18. P. 5846–5870. https://doi.org/10.1002/anie.201810611
- Nguyen T. // Adv. Synth. Catal. 2017. V. 359. № 7. P. 1066–1130. https://doi.org/10.1002/adsc.201601329
- Zhang Y., Glass R.S., Char K., Pyun J. // Polym. Chem. 2019. V. 10. № 30. P. 4078–4105. https://doi.org/10.1039/C9PY00636B
- Kang K.S., Iyer K.A., Pyun J. // Chem. Eur. J. 2022. V. 28. № 35. e202200115. https://doi.org/10.1002/chem.202200115
- Smith J.A., Wu X., Berry N.G., Hasell T. // J. Polym. Sci. Part A: Polym. Chem. 2018. V. 56. P. 1777–1781. https://doi.org/10.1002/pola.29067
- Diez S., Hoefling A., Theato P., Pauer W. // Polymers. 2017. V. 9. P. 59. https://doi.org/10.3390/polym9020059
- Wu X., Smith J.A., Petcher S., Zhang B., Parker D.J., Griffin J.M., Hasell T. // Nat. Commun. 2019. V. 10. P. 647. https://doi.org/10.1038/s41467-019-08430-8
- Chalker J.M., Mann M., Worthington M.J.H., Esdai-le L.J. // Org. Mater. 2021. V. 3. № 2. P. 362–373. https://doi.org/10.1055/a-1502-2611
- Parker D.J., Jones H.A., Petcher S., Cervini L., Griffin J.M., Akhtar R., Hasell T. // Mater. Chem. A. 2017. V. 5. № 23. P. 11682–11692. https://doi.org/10.1039/C6TA09862B
- Thielke M.W., Bultema L.A., Brauer D.D., Richter B., Fischer M., Theato P. // Polymers. 2016. V. 8. № 7. P. 266. https://doi.org/10.3390/polym8070266
- Lee J., Lee S., Kim J., Hanif Z., Han S., Hong S., Yoon M. // Bull. Korean Chem. Soc. 2018. V. 39. № 1. P. 84–89. https://doi.org/10.1002/bkcs.11350
- Limjuco L.A., Nisola G.M., Parohinog K.J., Valdehue-sa K.N.G., Lee S., Kim H., Chung W. // Chem. Eng. J. 2019. V. 378. P. 122216. https://doi.org/10.1016/j.cej.2019.122216
- Griebel J., Nguyen N., Namnabat S., Anderson L., Glass R., Norwood R., Mackay M., Char K., Pyun J. // ACS Macro Lett. 2015. V. 4. № 9. P. 862–866. https://doi.org/10.1021/acsmacrolett.5b00502
- Kuwabara J., Oi K., Watanabe M.M., Fukuda T., Kanbara T. // ACS Appl. Polym. Mater. 2020. V. 2. № 11. P. 5173–5178. https://doi.org/10.1021/acsapm.0c00924
- Boyd D., Nguyen V., McClain C., Kung F., Baker C., Myers J., Hunt M., Kim W., Sanghera J. // ACS Macro Letters. 2019. V. 8. № 2. P. 113–116. https://doi.org/10.1021/acsmacrolett.8b00923
- Kleine T.S., Glass R.S., Lichtenberger D.L., Mackay M.E., Char K., Norwood R.A., Pyun J. // ACS Macro Letters. 2020. V. 9. № 2. P. 245–259. https://pubs.acs.org/doi/abs/10.1021/acsmacrolett.9b00948
- Cherumukkil S., Agrawal S., Jasra R.V. // ChemistrySelect. 2023. V. 8. № 10. e202204428. https://doi.org/10.1002/slct.202204428
- Griebel J.J., Namnabat S., Kim E.T., Himmelhuber R., Moronta D.H., Chung W.J., Simmonds A.G., Kim K., Van der Laan J., Nguyen N.A., Dereniak E.L., Ma-ckay M.E., Char K., Glass R.S., Norwood R.A., Pyun J. // Adv. Mater. 2014. V. 26. № 19. P. 3014–3018. https://doi.org/10.1002/adma.201305607
- Kleine T.S., Nguyen N.A., Anderson L.E., Namnabat S., LaVilla E.A., Showghi S.A., Dirlam P.T., Arrington C.B., Manchester M.S., Schwiegerling J., Glass R.S., Char K., Norwood R.A., Mackay M.E., Pyun J. // ACS Macro Letters. 2016. V. 5. P. 1152–1156. https://doi.org/10.1021/acsmacrolett.6b00602
- Gomez I., Mantione D., Leonet O., Blazquez J.A., Mecerreyes D. // ChemElectroChem. 2018. V. 5. № 2. P. 260–265. https://doi.org/10.1002/celc.201700882
- Dong P., Han K.S., Lee J.I., Zhang X., Cha Y., Song M.K. // ACS Appl. Mater. Interfaces. 2018. V. 10. № 35. P. 29565–29573. https://doi.org/10.1021/acsami.8b09062
- Choudhury S. // Curr. Opin. Electrochem. 2020. V. 21. P. 303–310. https://doi.org/10.1016/j.coelec.2020.03.013.112
- Zhang Q., Huang Q., Hao S.M., Deng S., He Q., Lin Z., Yang Y. // Adv. Sci. 2022. V. 9. № 2. P. 2103798. https://doi.org/10.1002/advs.202103798
- Lopez C.V., Maladeniya C.P., Smith R.C. // Electrochem. 2020. V. 1. P. 226–259. https://doi.org/10.3390/electrochem1030016
- Hu Y., Chen W., Lei T., Jiao Y., Huang J., Hu A., Gong C., Yan C., Wang X., Xiong J. // Adv. Energy Mater. 2020. V. 10. P. 2000082. https://doi.org/10.1002/aenm.202000082
- Chen J.M., Duan H., Kong Y., Tian B., Ning G.H., Li D. // Energy Fuels. 2022. V. 36. № 11. P. 5998–6004. https://doi.org/10.1021/acs.energyfuels.2c01035
- Simmonds A.G., Griebel J.J., Park J., Kim K.R., Chung W.J., Oleshko V.P., Kim J., Kim E.T., Glass R.S., Soles C.L., Sung Y., Char K., Pyun J. // ACS Macro Letters. 2014. V. 3. P. 229–232. https://doi.org/10.1021/mz400649w
- Zhao F., Li Y., Feng W. // Small Methods. 2018. V. 2. P. 1800156. https://doi.org/10.1002/smtd.201800156
- Gomez I., Mecerreyes D., Blazquez J.A., Leonet O., Youcef H.B., Li C., Gómez-Cámer J.L., Bondarchuk O., Rodriguez-Martinez L. // J. Power Sources. 2016. V. 329. P. 72–78. https://doi.org/10.1016/j.jpowsour.2016.08.046
- Sun Z., Xiao M., Wang S., Han D., Song S., Chen G., Meng Y. // J. Mater. Chem. A. 2014. V. 2. P. 9280–9286. https://doi.org/10.1039/C4TA00779D
- Zhang Y., Griebel J.J., Dirlam P.T., Nguyen N.A., Glass R.S., Mackay M.E., Char K., Pyun J. // J. Polym. Sci. Part A: Polym. Chem. 2016. V. 55. № 1. P. 107–116. https://doi.org/10.1002/pola.28266
- Gomez I., Leonet O., Blazquez J.A., Mecerreyes D. // ChemSusChem. 2016. V. 9. № 24. P. 3419–3425. https://doi.org/10.1002/cssc.201601474
- Huang C., Xiao J., Shao Y., Zheng J., Bennett W.D., Lu D., Saraf L.V., Engelhard M., Ji L., Zhang J., Li X., Graff G.L., Liu J. // Nat. Commun. 2014. V. 5. P. 3015. https://doi.org/10.1038/ncomms4015
- Tantis I., Bakandritsos A., Zaoralová D., Medveď M., Jakubec P., Havláková J., Zbořil R., Otyepka M. // Adv. Funct. Mater. 2021. V. 31. P. 2101326. https://doi.org/10.1002/adfm.202101326
- Jo S.-C., Hong J.-W., Choi I.-H., Kim M.-J., Kim B.G., Lee Y.-J., Choi H.Y., Kim D., Kim T.-Y., Baeg K.-J., Park J.-W. // Nano-Micro Small. 2022. V. 18. P. 2200326. https://doi.org/10.1002/smll.202200326
- Talapaneni S.N., Hwang T.H., Je S.H., Buyukcakir O., Choi J.W., Coskun A. // Angew. Chem. Int. Ed. 2016. V. 55. № 9. P. 3106–3111. https://doi.org/10.1002/anie.201511553
- Shukla S., Ghosh A., Roy P.K., Mitra S., Lochab B. // Polymer. 2016. V. 99. P. 349–357. https://doi.org/10.1016/j.polymer.2016.07.037
- Kim H., Lee J., Ahn H., Kim O., Park M.J. // Nat. Commun. 2015. V. 6. P. 7278. https://doi.org/10.1038/ncomms8278
- Yusupova A.A., Shamov A.G., Ahmetova R.T., Pervu-shin V.A., Khatsrinov A.I. // Int. J. Quantum Chem. 2011. V. 111. № 11. P. 2575–2578. https://doi.org/10.1002/qua.22754
- Yusupova A.A., Khatsrinov A.I., Ahmetova R.T. // Inorg. Materials. 2018. V. 54. P. 809–814. https://doi.org/10.1134/S0020168518080174
- Baraeva L.R., Yusupova A.A., Ahmetova R.T., Khatsrinov A.I., Mezhevich Z.V. // Russ. J. Phys. Chem. A. 2019. V. 93. P. 1106–1010. https://doi.org/10.1134/S0036024419060049
- Yusupova A.A., Khatsrinov A.I., Shafigullin L.N. // Solid State Phenomena. 2020. V. 299. P. 181–187. https://doi.org/10.4028/www.scientific.net/SSP.299.181
- Mao J., Wang Y., Zhu J., Yu J., Hu Z. // Appl. Surf. Sci. 2018. V. 447. P. 235–243. https://doi.org/10.1016/j.apsusc.2018.03.188
- Sakaguchi Y., Tamura K. // MRS Online Proceedings Library. 2006. V. 918. P. 135–141. https://doi.org/10.1557/PROC-0918-H03-02
- Tarasova N.P., Zanin A.A., Sobolev P.S., Krivoboro-dov E.G. // Dokl. Chem. 2017. V. 473. P. 78–79. https://doi.org/10.1134/S0012500817040073
- Tarasova N.P., Krivoborodov E.G., Mezhuev Ya.O. // Russ. Chem. Bull. 2023. V. 72. № 2. P. 415–424. https://doi.org/10.1007/s11172-023-3809-9
- Tarasova N.P., Mezhuev Y.O., Zanin A.A., Krivoboro-dov E.G. // Dokl. Chem. 2019. V. 484. P. 8–11. https://doi.org/10.1134/S0012500819010051
- Tarasova N., Krivoborodov E., Zanin A., Mezhuev Y. // Pure Appl. Chem. 2021. V. 93. № 1. P. 29–37. https://doi.org/10.1515/pac-2019-0804
- Tarasova N., Krivoborodov E., Egorova A., Zanin A., Glukhov L., Toropygin I., Mezhuev Ya. // Pure Appl. Chem. 2020. V. 92. P. 1297–1304. https://doi.org/10.1515/pac-2019-1211
- Tarasova N., Krivoborodov E., Zanin A., Toropygin I., Pascal E., Dyatlov V., Mezhuev Ya. // Macromol. Res. 2021. V. 29. P. 847–850. https://doi.org/10.1007/s13233-021-9104-6
- Tarasova N., Zanin A., Krivoborodov E., Motyakin M., Levina I., Dyatlov V., Toropygin I., Dyakonov V., Mezhuev Y. // Green Chem. Lett. Rev. 2021. V. 14. P. 435–441. https://doi.org/10.1080/17518253.2021.1926550
- Tarasova N., Zanin A., Krivoborodov E., Toropygin I., Pascal E., Mezhuev Ya. // Polymers. 2021. V. 13. P. 1806. https://doi.org/10.3390/polym13111806
- Tarasova N., Krivoborodov E., Zanin A., Pascal E., Toropygin I., Artyukhov A., Muradyan S., Mezhuev Ya. // Gels. 2022. V. 8. P. 136. https://doi.org/10.3390/gels8020136
Supplementary files















































