INFLUENCE OF INTRAMOLECULAR DONOR-ACCEPTOR INTERACTIONS ON RADIOLYSIS OF ORGANIC COMPOUNDS: EFFECTS IN ACETYLACETONE
- Authors: Vlasov S.I.1, Ponomarev A.V.1, Ershov B.G.1
-
Affiliations:
- A.N. Frumkin Institute of Physical Chemistry and Electrochemistry, Russian Academy of Sciences
- Issue: Vol 510, No 1 (2023)
- Pages: 69-73
- Section: PHYSICAL CHEMISTRY
- URL: https://ogarev-online.ru/2686-9535/article/view/135979
- DOI: https://doi.org/10.31857/S2686953523600174
- EDN: https://elibrary.ru/YRXCAM
- ID: 135979
Cite item
Full Text
Abstract
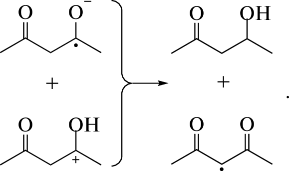
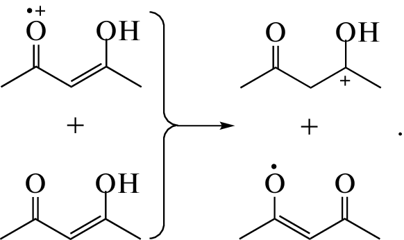
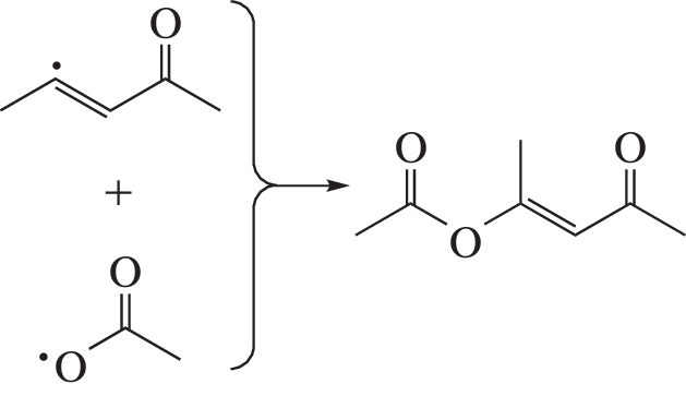
Using acetylacetone as an example, it was shown that the intramolecular hydrogen bond significantly affects the radiolytic transformations of organic compounds, suppressing the transfer of a proton from the primary radical cation to the molecule, and also contributing to the cleavage of the C–OH bond in the enol form. Due to these effects, the main heavy product of radiolysis at 295 K is 4-oxopent-2-en-2-yl acetate. Under boiling conditions (413 K), hydrogen bonds are eliminated, leading to the predominant formation of 4-hydroxy-2-pentanone, which is not detected at 295 K.
About the authors
S. I. Vlasov
A.N. Frumkin Institute of Physical Chemistry and Electrochemistry, Russian Academy of Sciences
Email: ponomarev@ipc.rssi.ru
Russian,
119071, Moscow
A. V. Ponomarev
A.N. Frumkin Institute of Physical Chemistry and Electrochemistry, Russian Academy of Sciences
Author for correspondence.
Email: ponomarev@ipc.rssi.ru
Russian,
119071, Moscow
B. G. Ershov
A.N. Frumkin Institute of Physical Chemistry and Electrochemistry, Russian Academy of Sciences
Email: ponomarev@ipc.rssi.ru
Russian,
119071, Moscow
References
- Belova N.V., Oberhammer H., Trang N.H., Girichev G. V. // J. Org. Chem. 2014. V. 79. P. 5412–5419. https://doi.org/10.1021/jo402814c
- Antonov I., Voronova K., Chen M.-W., Sztáray B., Hemberger P., Bodi A., Osborn D.L., Sheps L. // J. Phys. Chem. A. 2019. V. 123. P. 5472–5490. https://doi.org/10.1021/acs.jpca.9b04640
- Imatdinova D.N., Vlasov S.I., Ponomarev A.V. // Mendeleev Commun. 2021. V 31. P. 558–560. https://doi.org/10.1016/j.mencom.2021.07.041
- Howard D.L., Kjaergaard H.G., Huang J., Meuwly M. // J. Phys. Chem. A. 2015. V. 119. P. 7980–7990. https://doi.org/10.1021/acs.jpca.5b01863
- Curran H.J. // Int. J. Chem. Kinet. 2006. V. 38. P. 250–275. https://doi.org/10.1002/kin.20153
- Ponomarev A.V., Kholodkova E.M. // Mendeleev Commun. 2018. V. 28. P. 375–377. https://doi.org/10.1016/j.mencom.2018.07.011
- Wang H., Bozzelli J.W. // ChemPhysChem. 2016. V. 17. P. 1983–1992. https://doi.org/10.1002/cphc.201600152
- Yoon M.-C., Choi Y.S., Kim S.K. // J. Chem. Phys. 1999. V. 110. P. 11850–11855. https://doi.org/10.1063/1.479126
- Messaadia L., El Dib G., Ferhati A., Chakir A. // Chem. Phys. Lett. 2015. V. 626. P. 73–79. https://doi.org/10.1016/j.cplett.2015.02.032
- Ji Y., Qin D., Zheng J., Shi Q., Wang J., Lin Q., Chen J., Gao Y., Li G., An T. // Sci. Total Environ. 2020. 720. 137610. https://doi.org/10.1016/j.scitotenv.2020.137610
- Ponomarev A.V., Ershov B.G. // Environ. Sci. Technol. 2020. V. 54. P. 5331–5344. https://doi.org/10.1021/acs.est.0c00545
Supplementary files













