N,O-, N,N-, N,S- и N,N,S-гетероциклы с экзоциклической аминогруппой в cинтезе 1,5,3,7-диазадифосфациклооктанов
- Авторы: Спиридонова Ю.С.1, Литвинов И.А.1, Мусина Э.И.1, Карасик А.А.1
-
Учреждения:
- Институт органической и физической химии им. А.Е. Арбузова – обособленное структурное подразделение Федерального государственного бюджетного учреждения науки “Федеральный исследовательский центр “Казанский научный центр РАН”
- Выпуск: Том 510, № 1 (2023)
- Страницы: 40-47
- Раздел: ХИМИЯ
- URL: https://ogarev-online.ru/2686-9535/article/view/135976
- DOI: https://doi.org/10.31857/S2686953522600386
- EDN: https://elibrary.ru/YRDUJD
- ID: 135976
Цитировать
Полный текст
Аннотация
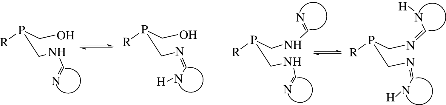
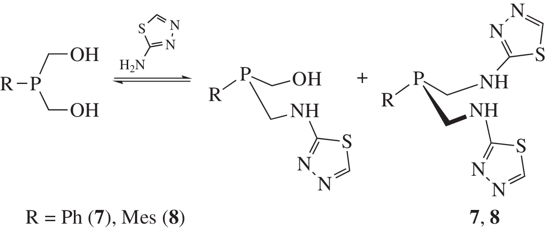
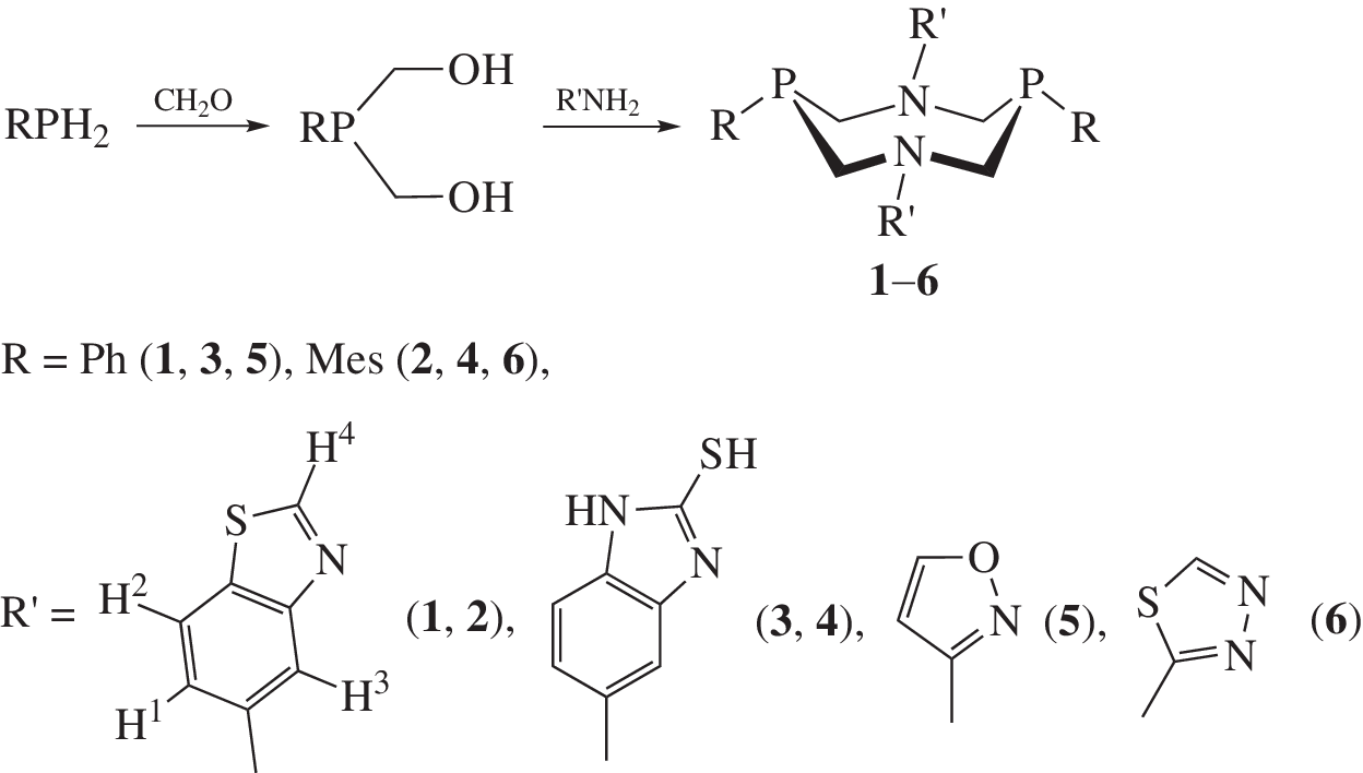
Синтезированы новые 1,5,3,7-диазадифосфациклооктаны с N,O-, N,N-, N,S- и N,N,S-гетероциклическими заместителями при атомах азота. Выявлено влияние природы аминов, содержащих в гетероциклическом заместителе в орто-положении sp2-гибридизованный атом азота, на результат реакции конденсации Манниха в системе “фосфин–параформальдегид–первичный амин”. Низкий выход целевых циклических дифосфинов на основе указанных аминов обусловлен стабилизацией промежуточных ациклических продуктов – аминометил(гидроксиметил)арилфосфинов и бис(аминометил)арилфосфинов, вероятно, за счет амино-иминной таутомерии.
Ключевые слова
Об авторах
Ю. С. Спиридонова
Институт органической и физической химииим. А.Е. Арбузова – обособленное структурное подразделение Федерального государственного бюджетного учреждения науки “Федеральный исследовательский центр “Казанский научный
центр РАН”
Email: elli@iopc.ru
Россия, 420111, Казань
И. А. Литвинов
Институт органической и физической химииим. А.Е. Арбузова – обособленное структурное подразделение Федерального государственного бюджетного учреждения науки “Федеральный исследовательский центр “Казанский научный
центр РАН”
Email: elli@iopc.ru
Россия, 420111, Казань
Э. И. Мусина
Институт органической и физической химииим. А.Е. Арбузова – обособленное структурное подразделение Федерального государственного бюджетного учреждения науки “Федеральный исследовательский центр “Казанский научный
центр РАН”
Автор, ответственный за переписку.
Email: elli@iopc.ru
Россия, 420111, Казань
А. А. Карасик
Институт органической и физической химииим. А.Е. Арбузова – обособленное структурное подразделение Федерального государственного бюджетного учреждения науки “Федеральный исследовательский центр “Казанский научный
центр РАН”
Email: elli@iopc.ru
Россия, 420111, Казань
Список литературы
- Lehn J.-M. // Chem. Soc. Rev. 2007. V. 36. P. 151–160. https://doi.org/10.1039/B616752G
- Lehn J.-M. // Top. Curr. Chem. 2012. V. 322. P. 1–32. https://doi.org/10.1007/128_2011_256
- Rowan S.J., Cantrill S.J., Cousins G.R.L., Sanders J.K.M., Stoddart J.F. // Angew. Chem. Int. Ed. 2002. V. 41. P. 898–952. https://doi.org/10.1002/1521-3773(20020315)41:6<898::AID-ANIE898>3.0.CO;2-E
- Jin Y., Yu C., Denman R.J., Zhang W. // Chem. Soc. Rev. 2013. V. 42. № 16. P. 6634–6654. https://doi.org/10.1039/C3CS60044K
- Schaufelberger F., Timmer B.J.J., Ramström O. Principles of dynamic covalent chemistry. in: dynamic covalent chemistry: Principles, reactions, and applications. Zhang W., Jin Y. (Eds.). John Wiley & Sons Ltd., 2017. p. 1–30. https://doi.org/10.1002/9781119075738.ch1
- Blicke F.F. // Org. React. 2011. V. 1. № 10. P. 303–341. https://doi.org/10.1002/0471264180.or001.10
- Karasik A.A., Balueva A.S., Sinyashin O.G. // C. R. Chim. 2010. V. 13. № 8–9. P. 1151–1167. https://doi.org/10.1016/j.crci.2010.04.006
- Karasik A.A., Sinyashin O.G. Phosphorus based macrocyclic ligands: Synthesis and applications. In: Phosphorus compounds. Catalysis by metal complexes. V. 37. Peruzzini M., Gonsalvi L. (Eds.). Dordrecht: Springer. 2011. P. 375–444. https://doi.org/10.1007/978-90-481-3817-3_12
- Musina E.I., Fesenko T.I., Strelnik I.D., Polyancev F.M., Latypov Sh.K., Lönnecke P., Hey-Hawkins E., Karasik A.A., Sinyashin O.G. // Dalton Trans. 2015. V. 44. № 30. P. 13565–13572. https://doi.org/10.1039/C5DT01910A
- Musina E.I., Naumov R.N., Kanunnikov K.B., Dobry-nin A.B., Gomez-Ruiz S., Lönnecke P., Hey-Hawkins E., Karasik A.A., Sinyashin O.G. // Dalton Trans. 2018. V. 47. № 47. P. 16977–16984. https://doi.org/10.1039/C8DT03214A
- Karasik A.A., Musina E.I., Balueva A.S., Strelnik I.D., Sinyashin O.G. // Pure Appl. Chem. 2017. V. 89. № 3. P. 293–309. https://doi.org/10.1515/pac-2016-1022
- Musina E.I., Khrizanforova V.V.V., Strelnik I.D., Valitov M.I., Spiridonova Y.S., Krivolapov D.B., Litvinov I.A., Kadi-rov M.K., Lönnecke P., Hey-Hawkins E., Budnikova Y.H., Karasik A.A., Sinyashin O.G. // Chem. Eur. J. 2014. V. 20. № 11. P. 3169–3182. https://doi.org/10.1002/chem.201304234
- Shamsutdinova N.A., Strelnik I.D., Musina E.I., Gerasimova T.P., Katsyuba S.A., Babaev V.M., Krivolapov D.B., Litvinov I.A., Mustafina A.R., Karasik A.A., Sinya-shin O.G. // New J. Chem. 2016. V. 40. P. 9853–9861. https://doi.org/10.1039/C6NJ02277D
- Спиридонова Ю.С., Мусина Э.И., Даянова И.Р., Наумова О.Е., Литвинов И.А., Карасик А.А. // Журнал Общ. Химии. 2018. Т. 88. № 11. С. 1776–1781. https://doi.org/10.1134/S0044460X18110033
- Спиридонова Ю.С., Балуева А.С., Криволапов Д.Б., Литвинов И.А., Мусина Э.И., Карасик А.А., Синяшин О.Г. // Изв. АН. Сер. Хим. 2013. № 11. С. 2487–2494. https://doi.org/10.1007/s11172-013-0360-2
- Арбузов Б.А., Ерастов О.А., Хетагурова С.Ш. // Изв. АН СССР. Сер. Хим. 1979. № 4. С. 866–869. https://doi.org/10.1007/BF00923587
- Jackman L.M., Jen T. // J. Am. Chem. Soc. 1975. V. 97. P. 2811–2818. https://doi.org/10.1021/ja00843a033
- Jen T., Dienel B., Bowman H., Petta J., Hilt A., Loev B. // J. Med. Chem. 1972. V 15. P. 727–731. https://doi.org/10.1021/jm00277a008
- Rabinowitz J. // Helv. Chim. Acta. 1969. V. 52. P. 255–261. https://doi.org/10.1002/hlca.19690520125
- Toth G., Almasy A. // Org. Magn. Reson. 1982. V. 19. P. 219–221. https://doi.org/10.1002/mrc.1270190412
- Иванова T.M., Бурштейн K.Я., Мизрах Л.И., Васильев A.M., Гвоздецкий А.Н. // Химия гетероцикл. соед. 1989. № 7. С. 981–988. https://doi.org/10.1007/BF00472758
- Hasanein A.A., Senior S.A. // Int. J. Quantum. Chem. V. 111. № 15. P. 3993–4010. https://doi.org/10.1002/qua.22739
- Léon I., Tasinato N., Spada L., Alonso E.R., Mata S., Balbi A., Puzzarini C., Alonso J.L., Barone V. // ChemPlusChem. 2021. V. 86. P. 1374–1386. https://doi.org/10.1002/cplu.202100224
- Ghiviriga I., El-Gendy B.E.-D.M., Steeld P.J., Katri-tzky A.R. // Org. Biomol. Chem. 2009. V. 7. P. 4110–4119. https://doi.org/10.1039/B907577A
- Shugar D., Szczepaniak K. // Int. J. Quantum. Chem. 1981. V. 20. № 2. P. 573–585. https://doi.org/10.1002/qua.560200229
- Кормачев В.В., Федосеев М.С. Препаративная химия фосфора. Пермь: УрО РАН, 1992. С. 458.
- Koch T., Blaurock S., Hey-Hawkins E. // Eur. J. Inorg. Chem. 2000. № 10. P. 2167–2172. https://doi.org/10.1002/1099-0682(200010)2000:10<2167::AID-EJIC2167>3.0.CO;2-C
- Sheldrick G.M. // SADABS, Program for empirical X-ray absorption correction. Bruker-Nonius, 2004.
- APEX2 (Version 2.1), SAINTPlus, Data Reduction and Correction Program (Version 7.31A), BrukerAXS Inc., Madison, Wisconsin, USA, 2006.
- Sheldrick G.M. // Acta Crystallogr. Sect. A. 2015. V. 71. P. 3–8. https://doi.org/10.1107/S2053273314026370
- Sheldrick G.M. // Acta Crystallogr. Sect. C. 2015. V. 71. P. 3–8. https://doi.org/10.1107/S2053229614024218
- Spek A.L. // Acta Crystallogr. Sect. D. 2009. V. 65. P. 148–155. https://doi.org/10.1107/S090744490804362X
- Macrae C.F., Edgington P.R., McCabe P., Pidcock E., Shields G.P., Taylor R., Towler M., van de Streek J. // J. Appl. Cryst. 2006. V. 39. P. 453–459. https://doi.org/10.1107/S002188980600731X
Дополнительные файлы






