Дипинодиазафлуорены как реагенты для селективной экстракции палладия, золота и рутения
- Авторы: Зубричева Д.В.1, Васильев Е.С.1, Бизяев С.Н.1, Тихова В.Д.1, Ткачев А.В.1
-
Учреждения:
- Федеральное государственное бюджетное учреждение науки Новосибирский институт органической химии им. Н.Н. Ворожцова Сибирского отделения Российской академии наук (НИОХ СО РАН)
- Выпуск: Том 510, № 1 (2023)
- Страницы: 35-39
- Раздел: ХИМИЯ
- URL: https://ogarev-online.ru/2686-9535/article/view/135975
- DOI: https://doi.org/10.31857/S2686953522600362
- EDN: https://elibrary.ru/OUSPBB
- ID: 135975
Цитировать
Полный текст
Аннотация
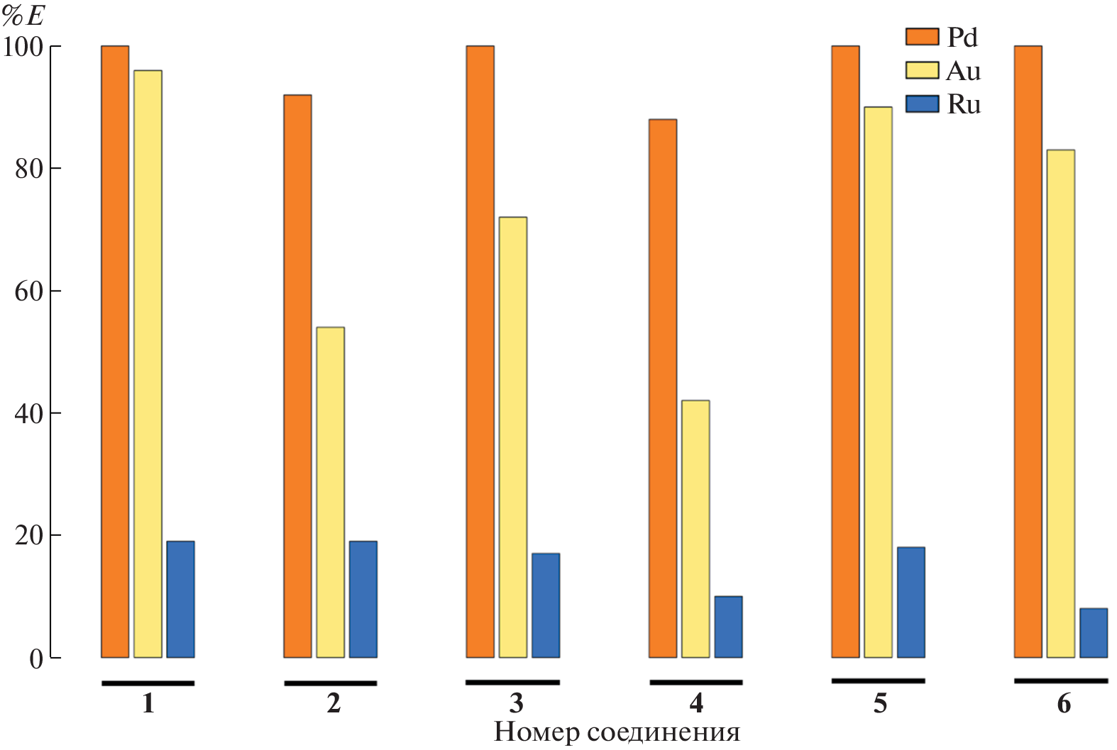
Дипинодиазафлуорены – гибридные нопинан-аннелированные гетероциклы, молекулы которых включают гетероциклическое ядро 4,5-диазафлуорена, конденсированное с фрагментами терпенового углеводорода, способны селективно экстрагировать палладий (88–100%), золото (42–96%) и рутений (8–19%) при однократной экстракции из кислых водных растворов (рН 1.2), содержащих сложные смеси 3d-элементов и благородных металлов.
Ключевые слова
Об авторах
Д. В. Зубричева
Федеральное государственное бюджетное учреждение науки Новосибирский институт органической химииим. Н.Н. Ворожцова Сибирского отделения Российской академии наук (НИОХ СО РАН)
Email: atkachev@nioch.nsc.ru
Российская, 630090, Новосибирск
Е. С. Васильев
Федеральное государственное бюджетное учреждение науки Новосибирский институт органической химииим. Н.Н. Ворожцова Сибирского отделения Российской академии наук (НИОХ СО РАН)
Email: atkachev@nioch.nsc.ru
Российская, 630090, Новосибирск
С. Н. Бизяев
Федеральное государственное бюджетное учреждение науки Новосибирский институт органической химииим. Н.Н. Ворожцова Сибирского отделения Российской академии наук (НИОХ СО РАН)
Email: atkachev@nioch.nsc.ru
Российская, 630090, Новосибирск
В. Д. Тихова
Федеральное государственное бюджетное учреждение науки Новосибирский институт органической химииим. Н.Н. Ворожцова Сибирского отделения Российской академии наук (НИОХ СО РАН)
Email: atkachev@nioch.nsc.ru
Российская, 630090, Новосибирск
А. В. Ткачев
Федеральное государственное бюджетное учреждение науки Новосибирский институт органической химииим. Н.Н. Ворожцова Сибирского отделения Российской академии наук (НИОХ СО РАН)
Автор, ответственный за переписку.
Email: atkachev@nioch.nsc.ru
Российская, 630090, Новосибирск
Список литературы
- Hagelüken C. // Platinum Met. Rev. 2012. V. 56. P. 29–35. https://doi.org/10.1595/147106712X611733
- Zheng H., Ding Y., Wen Q., Liu B., Zhang S. // Resour. Conserv. Recycl. 2021. V. 167. P. 105417. https://doi.org/10.1016/j.resconrec.2021.105417
- Ding Y., Zheng H., Zhang S., Liu B., Wu B., Jian Z. // Resour. Conserv. Recycl. 2020. V. 155. P. 104644. https://doi.org/10.1016/j.resconrec.2019.104644
- Trinh H.B., Lee J., Suh Y., Lee J. // Waste Management. 2020. V. 114. P. 148–165. https://doi.org/10.1016/j.wasman.2020.06.030
- Masuda C., Yonezu K., Watanabe K., Yokoyama T. // Procedia Earth Planet. Sci. 2013. V. 6. P. 435–440. https://doi.org/10.1016/j.proeps.2013.01.057
- Jha M.K., Lee J., Kim M., Jeong J., Kim B.-S., Kumar V. // Hydrometallurgy. 2013. V. 133. P. 23–32. https://doi.org/10.1016/j.hydromet.2012.11.012
- Bahaloo-Horeh N., Mousavi S.M. // J. Hazard. Mater. 2020. V. 400. P. 123186. https://doi.org/10.1016/j.jhazmat.2020.123186
- Paiva A.P., Ortet O., Carvalho G.I., Nogueira C.A. // Hydrometallurgy. 2017. V. 171. P. 394–401. https://doi.org/10.1016/j.hydromet.2017.06.014
- Gupta B., Singh I., Mahandra H. // Sep. Purif. Technol. 2014. V. 132. P. 102–109. https://doi.org/10.1016/j.seppur.2014.04.045
- Ding Y., Zhang S., Liu B., Zheng H., Chang C., Ek-berg C. // Resour. Conserv. Recycl. 2019. V. 141. P. 284–298. https://doi.org/10.1016/j.resconrec.2018.10.041
- Nguyen T.H., Sonu C.H., Lee M.S. // J. Ind. Eng. Chem. 2015. V. 32. P. 238–245. https://doi.org/10.1016/j.jiec.2015.08.022
- Hasegawa H., Barua S., Wakabayashi T., Mashio A., Maki T., Furusho Y., Rahman I.M.M. // Microchem. J. 2018. V. 139. P. 174–180. https://doi.org/10.1016/j.microc.2018.02.025
- Nguyen T.H., Sonu C.H., Lee M.S. // Hydrometallurgy. 2016. V. 164. P. 71–77. https://doi.org/10.1016/j.hydromet.2016.05.014
- Morohashi N., Kurusu Y., Akasaka K., Hattori T. // RSC Adv. 2020. V. 10. № 58. P. 35473–35479. https://doi.org/10.1039/D0RA05339B
- Annibale V.T., Song D. // Dalton Trans. 2016. V. 45. № 1. P. 32–49. https://doi.org/10.1039/C5DT03665H
- Li H., Wang J., Shujiang Z., Gong C., Wang F. // RSC Advances. 2018. V. 8. P. 31889–31894. https://doi.org/10.1039/C8RA05280H
- Ghosh S., Alghunaim A.S., Al-mashhadani M.H., Krompiec M.P., Hallett M., Perepichka I.F. // J. Mater. Chem. C. 2018. V. 6. P. 3762–3773. https://doi.org/10.1039/C7TC05051H
- Batcup R., Annibale V.T., Song D. // Dalton Trans. 2014. V. 43. № 23. P. 8951–8958. https://doi.org/10.1039/C4DT01165A
- Nocton G., Booth C.H., Maron L., Andersen R.A. // Organometallics. 2013. V. 32. № 5. P. 1150–1158. https://doi.org/10.1021/om300876b
- Baysal A., Connor J., Wallis J. // J. Coord. Chem. 2006. V. 53. P. 347–354. https://doi.org/10.1080/00958970108022621
- Shahraki O., Ghaznavi H., Akbarzadeh-T N., Shahraki S., Sheervalilou R., Kondori T. // Iran. J. Pharm. Res. 2021. V. 20. № 3. P. 618–635. https://doi.org/10.22037/ijpr.2021.114685.14996
- Henke W.C., Stiel J.P., Day V.W., Blakemore J.D. // Chem. Eur. J. 2022. V. 28. № 9. P. e202103970. https://doi.org/10.1002/chem.202103970
- Henke W.C., Hopkins J.A., Anderson M.L., Stiel J.P., Day V.W., Blakemore J.D. // Molecules. 2020. V. 25. № 14. P. 3189. https://doi.org/10.3390/molecules25143189
- Wang Y., Jing T.-T., Zhang J.-L., Liu Y.-T., Wang S.-P., Zhang Q.-F., Zhang P.-Z., Tong B.-H., Ye S.-H., Bai F.-Q. // Inorg. Chem. Commun. 2022. V. 137. P. 109170. https://doi.org/10.1016/j.inoche.2021.109170
- Cebeci C., Arslan B.S., Güzel E., Nebioğlu M., Şişman İ., Erden İ. // J. Coord. Chem. 2021. V. 74. № 9−10. P. 1366–1381. https://doi.org/10.1080/00958972.2021.1914332
- Nongpiur C.G.L., Tripathi D.K., Poluri K.M., Rawat H., Kollipara M.R. // J. Chem. Sci. 2022. V. 134. № 1. P. 23. https://doi.org/10.1007/s12039-021-02004-2
- Fomenko Y.S., Gushchin A.L., Tkachev A.V., Vasilyev E.S., Abramov P.A., Nadolinny V.A., Syrokvashin M.M., Sokolov M.N. // Polyhedron. 2017. V. 135. P. 96–100. https://doi.org/10.1016/j.poly.2017.07.003
- Kokina T.E., Glinskaya L.A., Piryazev D.A., Vasiliev E.S., Sheludyakova L.A., Rakhmanova M.I., Tkachev A.V. // J. Struct. Chem. 2020. V. 61. № 10. P. 1606–1614. https://doi.org/10.1134/S0022476620100133
- Vasilyev E.S., Bizyaev S.N., Komarov V.Y., Tkachev A.V. // Tetrahedron. 2021. V. 83. P. 131979. https://doi.org/10.1016/j.tet.2021.131979
- Ткачев А.В. // Российский химический журнал. 1998. V. XLII. № 1–2. P. 42–66.
- Vasilyev E.S., Bagryanskaya I.Y., Tkachev A.V. // Mendeleev Commun. 2017. V. 27. № 2. P. 128–130. https://doi.org/10.1016/j.mencom.2017.03.006
- Vasilyev E.S., Bizyaev S.N., Komarov V.Y., Gatilov Y.V., Tkachev A.V. // Molecules. 2019. V. 24. № 17. P. 3186. https://doi.org/10.3390/molecules24173186
- Handbook of Preparative Inorganic Chemistry, Vol. 2, Second Edition Brauer G. (Ed.). Academic Press, 1965.
Дополнительные файлы




