Спектрально-люминесцентные свойства бис-тиакарбоцианина в присутствии кукурбит[7,8]урилов в воде
- Авторы: Федотова Т.В.1,2, Захарова Г.В.1, Чибисов А.К.1,2
-
Учреждения:
- Центр фотохимии Российской академии наук, Федеральное государственное учреждение “Федеральный научно-исследовательский центр “Кристаллография и фотоника” Российской академии наук”
- Федеральное государственное автономное образовательное учреждение высшего образования “Московский физико-технический институт” (национальный исследовательский университет)
- Выпуск: Том 508, № 1 (2023)
- Страницы: 97-102
- Раздел: ФИЗИЧЕСКАЯ ХИМИЯ
- URL: https://ogarev-online.ru/2686-9535/article/view/135970
- DOI: https://doi.org/10.31857/S2686953523700188
- EDN: https://elibrary.ru/EWMARE
- ID: 135970
Цитировать
Полный текст
Аннотация
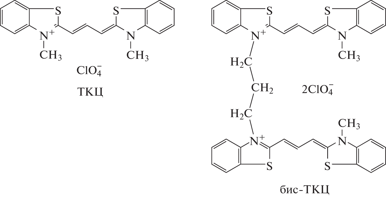
Исследовано влияние кукурбит[7,8]урилов на спектрально-люминесцентные свойства бис-тиакарбоцианина (бис-ТКЦ) на основе перхлората 3,3'-диметилтиакарбоцианина (ТКЦ) в воде. Установлено существование двух форм бис-ТКЦ, поглощающих в длинноволновой и коротковолновой областях. Форма, поглощающая в длинноволновой области, по своим свойствам близка к мономеру ТКЦ (мономерная форма), тогда как форма, поглощающая в коротковолновой области, проявляет свойства нефлуоресцирующего димера ТКЦ (димерная форма). Влияние кукурбит[7,8]урилов проявляется в сдвигах максимумов полос в спектрах поглощения и флуоресценции, в увеличении интенсивности флуоресценции мономерной и димерной форм, а также в наличии термически активированной замедленной флуоресценции димерной формы в обескислороженных растворах при комнатной температуре. Полученные по спектрально-люминесцентным измерениям результаты указывают на способность бис-ТКЦ вступать в реакцию комплексообразования с кукурбит[7,8]урилами.
Ключевые слова
Об авторах
Т. В. Федотова
Центр фотохимии Российской академии наук, Федеральное государственное учреждение“Федеральный научно-исследовательский центр “Кристаллография и фотоника” Российской академии наук”; Федеральное государственное автономное образовательное учреждение высшего образования “Московский физико-технический институт” (национальный исследовательский университет)
Email: gvzakharova@gmail.com
Россия, 11942, Москва; Россия,
141701, Долгопрудный
Г. В. Захарова
Центр фотохимии Российской академии наук, Федеральное государственное учреждение“Федеральный научно-исследовательский центр “Кристаллография и фотоника” Российской академии наук”
Автор, ответственный за переписку.
Email: gvzakharova@gmail.com
Россия, 11942, Москва
А. К. Чибисов
Центр фотохимии Российской академии наук, Федеральное государственное учреждение“Федеральный научно-исследовательский центр “Кристаллография и фотоника” Российской академии наук”; Федеральное государственное автономное образовательное учреждение высшего образования “Московский физико-технический институт” (национальный исследовательский университет)
Email: gvzakharova@gmail.com
Россия, 11942, Москва; Россия,
141701, Долгопрудный
Список литературы
- Джеймс Т.Х. Теория фотографического процесса. 4-е изд. Л.: Химия, 1980. 672 с. (пер. с англ.: James T.H. The theory of the photographic process. 4th edn. New York: McMillan, 1977).
- Качковский А.Д. Строение и цвет полиметиновых красителей. Киев: Наукова Думка, 1989. 231 с.
- Ищенко А.А. // Успехи химии. 1991. Т. 60. № 8. С. 1708–1743. https://doi.org/10.1070/RC1991v060n08ABEH001116
- Южаков В.И. // Успехи химии. 1979. Т. 48. № 11. С. 2007–2033. https://doi.org/10.1070/RC1979v048n11ABEH002430
- Шапиро Б.И. // Успехи химии. 2006. Т. 75. № 5. С. 484–510. https://doi.org/10.1070/RC2006v075n05ABEH001208
- Чибисов А.К. // Химия высоких энергий. 2007. Т. 41. № 3. С. 239–248. https://doi.org/10.1134/S0018143907030071
- Koner A.L., Nau W.M. // Supramol. Chem. 2007. V. 19. № 1–2. P. 55–66. https://doi.org/10.1080/10610270600910749
- Чибисов А.К., Алфимов М.В., Захарова Г.В., Атабекян Л.С., Авакян В.Г., Плотников В.Г. // Химия высоких энергий. 2017. Т. 51. № 6. С. 480–489. https://doi.org/10.7868/S0023119717060084
- Чибисов А.К., Алфимов М.В., Захарова Г.В., Авакян В.Г, Федотова Т.В., Гутров В.Н. // Изв. АН. Сер. хим. 2022. № 2. С. 199–211. https://doi.org/10.1007/s11172-022-3398-1
- Киприанов А.И. // Успехи химии. 1971. Т. 40. № 7. С. 1283–1308. https://doi.org/10.1070/RC1971v040n07ABEH001942
- Herz A.H. // Photographic Sci. Eng. 1974. V. 18. № 3. P. 323–335.
- Chibisov A.K., Zakharova G.V., Görner H., Sogulyaev Yu.A., Mushkalo I.L., Tolmachev A.I. // J. Phys. Chem. 1995. V. 99. № 3. P. 886–893. https://doi.org/10.1021/j100003a009
- Мушкало И.Л., Согуляев Ю.А., Толмачев А.И. // Укр. хим. журн. 1991. Т. 57. С. 1177.
- Давыдов А.С. Теория молекулярных экситонов. М.: Наука, Главная редакция физико-математической литературы, 1968. 296 с.
- Kasha M., Rawls H.R., El-Bayoumi M.A. // Pure Appl. Chem. 1965. V. 11. № 3–4. P. 371–392. https://doi.org/10.1351/pac196511030371
- Guzeman O.L.J., Kaufman F., Porter G. // J. Chem. Soc., Faraday Trans. 1973. V. 2. № 69. P. 708–720. https://doi.org/10.1039/F29736900708
- Abdel-Shafi A.A., Worrall D.R. // J. Photochem. Photobiol., A. 2005. V. 172. P. 170–179. https://doi.org/0.1016/j.jphotochem.2004.12.006
- Герасько О.А., Самсоненко Д.Г., Федин В.П. // Усп. хим. 2002. Т. 71. № 9. С. 840–861. https://doi.org/10.1070/RC2002v071n09ABEH000748
- Захарова Г.В., Авакян В.Г., Чибисов А.К., Алфи-мов М.В. // Химия высоких энергий. 2017. Т. 51. № 3. С. 210–215. https://doi.org/10.7868/80023119317030160
- Атабекян Л.С., Авакян В.Г, Чибисов А.К. // Химия высоких энергий. 2011. Т. 45. № 2. С. 152–158. https://doi.org/10.1134/S0018143911020020
Дополнительные файлы







