UNUSUAL TRANSFORMATIONS OF MONO- AND DISACCHARIDE INTERMEDIATES IN THE SYNTHESIS OF OLIGOSACCHARIDES RELATED TO FRAGMENTS OF THE CAPSULAR POLYSACCHARIDE OF HAEMOPHILUS INFLUENZAE TYPE E
- Authors: Kamneva A.A.1, Yashunsky D.V.1, Gerbst A.G.1, Nifantiev N.E.1
-
Affiliations:
- N.D. Zelinsky Institute of Organic Chemistry, Laboratory of Glycoconjugate Chemistry, Russian Academy of Sciences
- Issue: Vol 509, No 1 (2023)
- Pages: 22-29
- Section: CHEMISTRY
- URL: https://ogarev-online.ru/2686-9535/article/view/135955
- DOI: https://doi.org/10.31857/S2686953523600162
- EDN: https://elibrary.ru/OWAYCI
- ID: 135955
Cite item
Full Text
Abstract
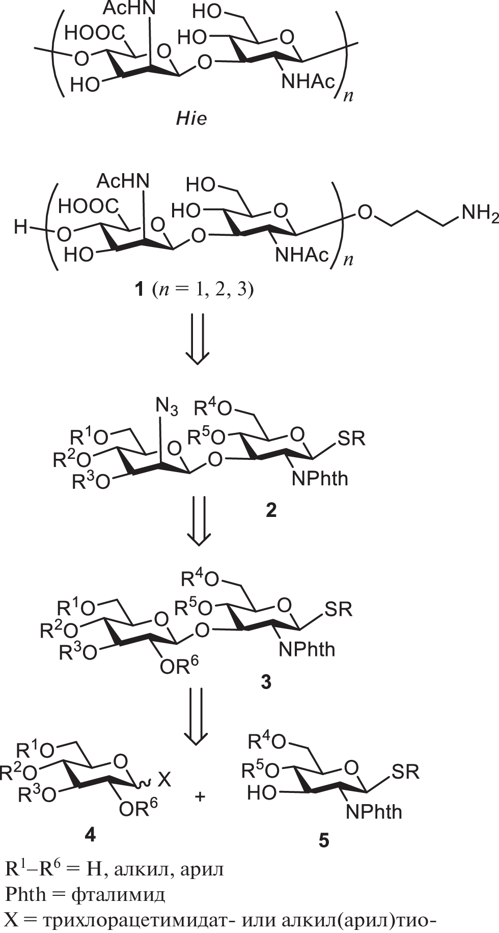
In the course of the synthesis of oligosaccharides related to fragments of the capsular polysaccharide of Haemophilus influenzae type e, the transformations of various 2-O-trifluoromethanesulfonate derivatives of β-D-glucopyranosides in reactions with an azide anion was studied. It gives the products of both nucleophilic substitution and a rearrangement of the 6-membered pyranose ring with its contraction to the 5-membered one through (О-5–С-2)-cyclization. Their formation was interpreted for the first time using quantum mechanical calculations.
About the authors
A. A. Kamneva
N.D. Zelinsky Institute of Organic Chemistry, Laboratory of Glycoconjugate Chemistry, Russian Academy of Sciences
Email: nen@ioc.ac.ru
Russian Federation, 119991, Moscow
D. V. Yashunsky
N.D. Zelinsky Institute of Organic Chemistry, Laboratory of Glycoconjugate Chemistry, Russian Academy of Sciences
Email: nen@ioc.ac.ru
Russian Federation, 119991, Moscow
A. G. Gerbst
N.D. Zelinsky Institute of Organic Chemistry, Laboratory of Glycoconjugate Chemistry, Russian Academy of Sciences
Email: nen@ioc.ac.ru
Russian Federation, 119991, Moscow
N. E. Nifantiev
N.D. Zelinsky Institute of Organic Chemistry, Laboratory of Glycoconjugate Chemistry, Russian Academy of Sciences
Author for correspondence.
Email: nen@ioc.ac.ru
Russian Federation, 119991, Moscow
References
- Jin Z., Romero-Steiner S., Carlone G.M., Robbins J.B., Schneerson R. // Infect. Immun. 2007. V. 75. № 6. P. 2650–2654. https://doi.org/10.1128/IAI.01774-06
- Kelly D.F., Moxon E.R., Pollard A.J. // Immunology. 2004. V. 113. № 2. P. 163–174. https://doi.org/10.1111/j.1365-2567.2004.01971.x
- Salwén K.M., Vikerfors T., Olcén P. // Scand. J. Infect. Dis. 1987. V. 19. № 1. P. 1–11. https://doi.org/10.3109/00365548709032371
- Del Bino L., Østerlid K.E., Wu D.-Y., Nonne F., Roma-no M.R., Codée J.D.C., Adamo R. // Chem. Rev. 2022. V. 122. № 20. P. 15672–15716. https://doi.org/10.1021/acs.chemrev.2c00021
- Хатунцева Е.А., Нифантьев Н.Э. // Биоорг. химия. 2021. Т. 47. № 1. С. 29–56. https://doi.org/10.31857/S0132342321010103
- Seeberger P.H. // Chem. Rev. 2021. V. 121. № 7. P. 3598–3626. https://doi.org/10.1021/acs.chemrev.0c01210
- Anderluh M., Berti F., Bzducha-Wróbel A., Chiodo F., Colombo C., Compostella F., Durlik K., Ferhati X., Holmdahl R., Jovanovic D., Kaca W., Lay L., Marinovic-Cincovic M., Marradi M., Ozil M., Polito L., Reina J.J., Reis C.A., Sackstein R., Silipo A., Švajger U., Vaněk O., Yamamoto F., Richichi B., Vliet van S.J. // FEBS J. 2022. V. 289. № 14. P. 4251–4303. https://doi.org/10.1111/febs.15909
- Micoli F., Del Bino L., Alfini R., Carboni F., Roma-no M.R., Adamo R. // Expert Rev. Vaccines. 2019. V. 18. № 9. P. 881–895. https://doi.org/10.1080/14760584.2019.1657012
- Slack M.P.E. // Microorganisms. 2021. V. 9. № 5. P. 886. https://doi.org/10.3390/microorganisms9050886
- Campos J., Román F., Pérez-Vázquez M., Oteo J., Aracil B., Cercenado E. // Clin. Infect. Dis. 2003. V. 37. № 6. P. 841–845. https://doi.org/10.1086/377232
- Tsui F.-P., Schneerson R., Egan W. // Carbohydr. Res. 1981. V. 88. № 1. P. 85–92. https://doi.org/10.1016/S0008-6215(00)84603-0
- Tsvetkov Yu.E., Yudina O.N., Nifantiev N.E. // Russ. Chem. Rev. 2021. V. 90. № 2. P. 171–198. https://doi.org/10.1070/RCR4974
- Koto S., Shinoda Y., Hirooka M., Sekino A., Ishizumi S., Koma M., Matuura C., Sakata N. // Bull. Chem. Soc. Jpn. 2003. V. 76. № 8. P. 1603–1615. https://doi.org/10.1246/bcsj.76.1603
- Grouiller A., Bazin H., Gagnieu C. // Tetrahedron Lett. 1982. V. 23. № 25. P. 2559–2562. https://doi.org/10.1016/S0040-4039(00)87387-6
- Baer H.H., Mateo F.H., Siemsen L. // Carbohydr. Res. 1989. V. 187. № 1. P. 67–92. https://doi.org/10.1016/0008-6215(89)80056-4
- Neese F. // WIREs Comput. Mol. Sci. 2012. V. 2. № 1. P. 73–78. https://doi.org/10.1002/wcms.81
- Hehre W.J., Ditchfield R., Pople J.A. // J. Chem. Phys. 1972. V. 56. № 5. P. 2257–2261. https://doi.org/10.1063/1.1677527
- Weigend F. // Phys. Chem. Chem. Phys. 2006. V. 8. № 9. P. 1057–1065. https://doi.org/10.1039/B515623H
- Weigend F., Ahlrichs R. // Phys. Chem. Chem. Phys. 2005. V. 7. № 18. P. 3297–3305. https://doi.org/10.1039/B508541A
- Barone V., Gossi M. // J. Phys. Chem. A. 1998. V. 102. № 11. P. 1995–2001. https://doi.org/10.1021/jp9716997
- Krylov V.B., Argunov D.A., Vinnitskiy D.Z., Verkhnyatskaya S.A., Gerbst A.G., Ustyuzhanina N.E., Dmitre-nok A.S., Huebner J., Holst O., Siebert H.-C., Nifan-tiev N.E. // Chem. Eur. J. 2014. V. 20. № 50. P. 16516–16522. https://doi.org/10.1002/chem.201405083
- Argunov D.A., Krylov V.B., Nifantiev N.E. // Org. Biomol. Chem. 2015. V. 13. № 11. P. 3255–3267. https://doi.org/10.1039/c4ob02634a
- Krylov V.B., Argunov D.A., Solovev A.S., Petruk M.I., Gerbst A.G., Dmitrenok A.S., Shashkov A.S., Latgé J.-P., Nifantiev N.E. // Org. Biomol. Chem. 2018. V. 16. № 7. P. 1188–1199. https://doi.org/10.1039/c7ob02734f
- Dorokhova V.S., Gerbst A.G., Komarova B.S., Previato J.O., Previato L.M., Dmitrenok A.S., Shashkov A.S., Kry-lov V.B., Nifantiev N.E. // Org. Biomol. Chem. 2021. V. 19. № 13. P. 2923–2931. https://doi.org/10.1039/D0OB02071K
- Krylov V.B., Gerbst A.G., Argunov D.A., Dmitrenok A.S., Shashkov A.S., Kaczynski Z., Huebner J., Holst O., Nifantiev N.E. // Chem. Eur. J. 2015. V. 21. № 4. P. 1749–1754. https://doi.org/10.1002/chem.201405857
- Laverde D., Romero-Saavedra F., Argunov D.A., Enotarpi J., Krylov V.B., Kalfopoulou E., Martini C., Torelli R., van der Marel G.A., Sanguinetti M., Codée J.D.C., Nifantiev N.E., Huebner J. // ACS Infect. Dis. 2020. V. 6. P. 1816–1826. https://doi.org/10.1021/acsinfecdis.0c00063
- Argunov D.A., Trostianetskaia A.S., Krylov V.B., Kurbatova E.A., Nifantiev N.E. // Eur. J. Org. Chem. 2019. № 26. P. 4226–4232. https://doi.org/10.1002/ejoc.201900389
Supplementary files





