AMMONIUM AMPHIPHILES BASED ON NATURAL COMPOUNDS: DESIGN, SYNTHESIS, PROPERTIES AND BIOMEDICAL APPLICATIONS. A REVIEW
- Authors: Pashirova T.N.1, Shaikhutdinova Z.M.1, Mironov V.F.1, Bogdanov A.V.1
-
Affiliations:
- Arbuzov Institute of Organic and Physical Chemistry, FRC Kazan Scientific Center, Russian Academy of Sciences
- Issue: Vol 509, No 1 (2023)
- Pages: 3-21
- Section: CHEMISTRY
- URL: https://ogarev-online.ru/2686-9535/article/view/135953
- DOI: https://doi.org/10.31857/S2686953522600544
- EDN: https://elibrary.ru/OVIBOP
- ID: 135953
Cite item
Full Text
Abstract
This review analyzes and systematizes data for the last three years on the use of amphiphilic quaternary ammonium compounds (QAC) based on natural structures in the search for new antibacterial and anticancer agents. As part of the analysis, publications on the properties of QAC based on heterocyclic and pyridine alkaloids, alkylated phenols, terpenoids, and steroids were considered. Attempts have been made to reveal the relationship between the structure of ammonium salts and their supramolecular self-organization, biological activity, and cytotoxicity. From the point of view of ease of chemical modification, availability, biorelevance and effectiveness against pathogen bacterial strains and antitumor activity, prospects for the use of natural platforms for extended trials have been identified.
About the authors
T. N. Pashirova
Arbuzov Institute of Organic and Physical Chemistry, FRC Kazan Scientific Center, Russian Academy of Sciences
Email: abogdanov@inbox.ru
Russian,
420088, Kazan
Z. M. Shaikhutdinova
Arbuzov Institute of Organic and Physical Chemistry, FRC Kazan Scientific Center, Russian Academy of Sciences
Email: abogdanov@inbox.ru
Russian,
420088, Kazan
V. F. Mironov
Arbuzov Institute of Organic and Physical Chemistry, FRC Kazan Scientific Center, Russian Academy of Sciences
Email: abogdanov@inbox.ru
Russian,
420088, Kazan
A. V. Bogdanov
Arbuzov Institute of Organic and Physical Chemistry, FRC Kazan Scientific Center, Russian Academy of Sciences
Author for correspondence.
Email: abogdanov@inbox.ru
Russian,
420088, Kazan
References
- Curreri A.M., Mitragotri S., Tanner E.E.L. // Adv. Sci. 2021. V. 8. № 17. Art. № 2004819. https://doi.org/10.1002/advs.202004819
- Nikfarjam N., Ghomi M., Agarwal T., Hassanpour M., Sharifi E., Khorsandi D., Ali Khan M., Rossi F., Rossetti A., Nazarzadeh Zare E., Rabiee N., Afshar D., Vosough M., Kumar Maiti T., Mattoli V., Lichtfouse E., Tay F.R., Makvandi P. // Adv. Funct. Mater. 2021. V. 31. № 42. Art. № 2104148. https://doi.org/10.1002/adfm.202104148
- Bureš F. // Top. Curr. Chem. 2019. V. 377. № 3. Art. № 14. https://doi.org/10.1007/s41061-019-0239-2
- Obłąk E., Futoma-Kołoch B., Wieczyńska A. // World J. Microbiol. Biotechnol. 2021. V. 37. № 22. Art. № 22. https://doi.org/10.1007/s11274-020-02978-0
- Mahoney A.R., Safaee M.M., Wuest W.M., Furst A.L. // iScience. 2021. V. 24. № 4. Art. № 102304. https://doi.org/10.1016/j.isci.2021.102304
- Kwasniewska D., Chen Y.-L., Wieczorek D. // Pathogens. 2020. V. 9. № 6. Art. № 459. https://doi.org/10.3390/pathogens9060459
- Yang Z., Yuan Q., Li X., Hu A, Yu S. // Inter. J. Sci. 2022. V. 9. № 2. P. 152–158.
- Sharma V.D., Aifuwa E.O., Heiney P.A., Ilies M.A. // Biomaterials. 2013. V. 34. № 28. P. 6906–6921. https://doi.org/10.1016/j.biomaterials.2013.05.029
- Osimitz T.G., Droege W. // Toxicol. Res. Appl. 2021. V. 5. P. 1–16.https://doi.org/10.1177/23978473211049085
- Xie X., Cong W., Zhao F., Li H., Xin W., Hou G., Wang C. // J. Enzyme Inhib. Med. Chem. 2018. V. 33. № 1. P. 98–105. https://doi.org/10.1080/14756366.2017.1396456
- Zheng L., Li J., Yu M., Jia W., Duan S., Cao D., Ding X., Yu B., Zhang X., Xu F.-J. // J. Am. Chem. Soc. 2020. V. 142. № 47. P. 20257–20269. https://doi.org/10.1021/jacs.0c10771
- Schrank C.L., Wilt I.K., Monteagudo Ortiz C., Haney B.A., Wuest W.M. // RSC Med. Chem. 2021. V. 12. № 8. P. 1312–1324. https://doi.org/10.1039/D1MD00151E
- Jennings M.C., Minbiole K.P.C., Wuest W.M. // ACS Infect. Dis. 2015. V. 1. № 7. P. 288–303. https://doi.org/10.1021/acsinfecdis.5b00047
- Hoque J., Konai M.M., Samaddar S., Gonuguntala S., Manjunath G.B., Ghosh C., Haldar J. // Chem. Commun. 2015. V. 51. № 71. P. 13670–13673. https://doi.org/10.1039/C5CC05159B
- Ahmady A.R., Hosseinzadeh P., Solouk A., Akbari S., Szulc A.M., Brycki B.E. // Adv. Colloid Interface Sci. 2022. V. 299. № 2022. Art. № 102581. https://doi.org/10.1016/j.cis.2021.102581
- Zhang S., Ding S., Yu J., Chen X., Lei Q., Fang W. // Langmuir. 2015. V. 31. № 44. P. 12161–12169. https://doi.org/10.1021/acs.langmuir.5b01430
- Oblak E., Piecuch A., Rewak-Soroczynska J., Paluch E. // Appl. Microbiol. Biotechnol. 2019. V. 103. № 2. P. 625–632. https://doi.org/10.1007/s00253-018-9523-2
- Zhou X., Liu M., Han J., Wang L., Xiao Z., Zhu W.-H. // Ind. Eng. Chem. Res. 2022. V. 61. № 12. P. 4202–4211. https://doi.org/10.1021/acs.iecr.2c00129
- Sikora K., Nowacki A., Szweda P., Woziwodzka A., Bartoszewska S., Piosik J., Dmochowska B. // Molecules. 2022. V. 27. № 3. Art. № 757. https://doi.org/10.3390/molecules27030757
- Zhang X., Kong H., Zhang X., Jia H., Ma X., Miao H., Mu Y., Zhang G. // Green Chem. 2021. V. 23. № 17. P. 6548–6554. https://doi.org/10.1039/D1GC01525G
- Gilbert E.A., Guastavino J.F., Nicollier R.A., Lancelle M.V., Russell-White K., Murguia M.C. // J. Oleo Sci. 2021. V. 70. № 1. P. 59–65. https://doi.org/10.5650/jos.ess20216
- Perez L., Pons R., Oliveira de Sousa F.F., Moran M. del C., Ramos da Silva A., Pinazo A. // J. Mol. Liq. 2021. V. 339. Art. № 116819. https://doi.org/10.1016/j.molliq.2021.116819
- Perinelli D.R., Petrelli D., Vitali L.A., Vllasaliu D., Cespi M., Giorgioni G., Elmowafy E., Bonacucina G., Palmieri G.F. // J. Mol. Liq. 2019. V. 283. P. 249–256. https://doi.org/10.1016/j.molliq.2019.03.083
- Andreeva O.V., Garifullin B.F., Zarubaev V.V., Slita A.V., Yesaulkova I.L., Volobueva A.S., Belenok M.G., Man’kova M.A., Saifina L.F., Shulaeva M.M., Voloshi-na A.D., Lyubina A.P., Semenov V.E., Kataev V.E. // Molecules. 2021. V. 26. № 12. Art. № 3678. https://doi.org/10.3390/molecules26123678
- Chowdhury S., Rakshit A., Acharjee A., Saha B. // J. Mol. Liq. 2021. V. 324. Art. № 115105. https://doi.org/10.1016/j.molliq.2020.115105
- Kaczmarek D.K., Rzemieniecki T., Gwiazdowska D., Kleiber T., Praczyk T., Pernak J. // J. Mol. Liq. 2021. V. 327. Art. № 114792. https://doi.org/10.1016/j.molliq.2020.114792
- Kaczmarek D.K., Kleiber T., Wenping L., Niemczak M., Chrzanowski Ł., Pernak J. // ACS Sustain. Chem. Eng. 2020. V. 8. № 3. P. 1591–1598. https://doi.org/10.1021/acssuschemeng.9b06378
- Wang W., Zhu J., Tang G., Huo H., Zhang W., Liang Y., Dong H., Yang J., Cao Y. // New J. Chem. 2019. V. 43. № 2. P. 827–833. https://doi.org/10.1039/C8NJ05903A
- Grigoras A.G. // Environ. Chem. Lett. 2021. V. 19. № 4. P. 3009–3022. https://doi.org/10.1007/s10311-021-01215-w
- Makvandi P., Jamaledin R., Jabbari M., Nikfarjam N., Borzacchiello A. // Dent. Mater. 2018. V. 34. № 6. P. 851–867. https://doi.org/10.1016/j.dental.2018.03.014
- Zubris D., Minbiole K., Wuest W. // Curr. Top. Med. Chem. 2016. V. 17. № 3. P. 305–318. https://doi.org/10.2174/1568026616666160829155805
- Andreica B.-I., Cheng X., Marin L. // Eur. Polym. J. 2020. V. 139. Art. № 110016. https://doi.org/10.1016/j.eurpolymj.2020.110016
- Jiao Y., Niu L., Ma S., Li J., Tay F.R., Chen J. // Prog. Polym. Sci. 2017. V. 71. P. 53–90. https://doi.org/10.1016/j.progpolymsci.2017.03.001
- Martin F., Grkovic T., Sykes M.L., Shelper T., Avery V.M., Camp D., Quinn R.J., Davis R.A. // J. Nat. Prod. 2011. V. 74. № 11. P. 2425–2430. https://doi.org/10.1021/np200700f
- Joondan N., Caumul P., Jackson G., Jhaumeer Laul-loo S. // Chem. Phys. Lipids. 2021. V. 235. Art. № 105051. https://doi.org/10.1016/j.chemphyslip.2021.105051
- Sokolova A.S., Yarovaya O.I., Shernyukov A.V., Pokrovsky M.A., Pokrovsky A.G., Lavrinenko V.A., Zarubaev V.V., Tretiak T.S., Anfimov P.M., Kiselev O.I., Beklemishev A.B., Salakhutdinov N.F. // Bioorg. Med. Chem. 2013. V. 21. № 21. P. 6690–6698. https://doi.org/10.1016/j.bmc.2013.08.014
- Radman Kastelic A., Odzak R., Pezdirc I., Sovic K., Hrenar T., Cipak Gasparovic A., Skocibusic M., Primozic I. // Molecules. 2019. V. 24. № 14. Art. № 2675. https://doi.org/10.3390/molecules24142675
- Chauhan D.S., Quraishi M.A., Qurashi A. // J. Mol. Liq. 2021. V. 326. Art. № 115117. https://doi.org/10.1016/j.molliq.2020.115117
- Jayakumar J., Cheng C.-H. // J. Chinese Chem. Soc. 2018. V. 65. № 1. P. 11–23. https://doi.org/10.1002/jccs.201700062
- Malinak D., Dolezal R., Marek J., Salajkova S., Soukup O., Vejsova M., Korabecny J., Honegr J., Penhaker M., Musilek K., Kuca K. // Bioorg. Med. Chem. Lett. 2014. V. 24. № 22. P. 5238–5241. https://doi.org/10.1016/j.bmcl.2014.09.060
- Soukup O., Benkova M., Dolezal R., Sleha R., Malinak D., Salajkova S., Markova A., Hympanova M., Prchal L., Ryskova L., Hobzova L., Sepcic K., Gunde-Cimerman N., Korabecny J., Jun D., Bostikova V., Bostik P., Marek J. // Eur. J. Med. Chem. 2020. V. 206. Art. № 112584. https://doi.org/10.1016/j.ejmech.2020.112584
- Zhou C., Wang Y. // Curr. Opin. Colloid Interface Sci. 2020. V. 45. P. 28–43. https://doi.org/10.1016/j.cocis.2019.11.009
- Buzoglu Kurnaz L., Luo Y., Yang X., Alabresm A., Leighton R., Kumar R., Hwang J., Decho A.W., Nagarkatti P., Nagarkatti M., Tang Ch. // Bioact. Mater. 2023. V. 20. P. 519–527. https://doi.org/10.1016/j.bioactmat.2022.06.009
- Drakontis C.E., Amin S. // Curr. Opin. Colloid Interface Sci. 2020. V. 48. P. 77–90. https://doi.org/10.1016/j.cocis.2020.03.013
- Bjerk T.R., Severino P., Jain S., Marques C., Silva A.M., Pashirova T., Souto E.B. // Bioengineering. 2021. V. 8. № 8. Art. № 115. https://doi.org/10.3390/bioengineering8080115
- Zhang W., Kaplan A.R., Davison E.K., Freeman J.L., Brimble M.A., Wuest W.M. // Nat. Prod. Rep. 2021. V. 38. № 5. P. 880–889. https://doi.org/10.1039/D0NP00052C
- Imperatore C., Aiello A., D’Aniello F., Senese M., Men-na M. // Molecules. 2014. V. 19. № 12. P. 20391–20423. https://doi.org/10.3390/molecules191220391
- Parmar V.S., Jain S.C., Bisht K.S., Jain R., Taneja P., Jha A., Tyagi O.D., Prasad A.K., Wengel J., Olsen C.E., Boll P.M. // Phytochemistry. 1997. V. 46. № 4. P. 597–673. https://doi.org/10.1016/S0031-9422(97)00328-2
- Tantawy A.H., Soliman K.A., Abd El-Lateef H.M. // J. Clean. Prod. 2020. V. 250. Art. № 119510. https://doi.org/10.1016/j.jclepro.2019.119510
- Tamaddon F., Azadi D. // J. Mol. Liq. 2018. V. 255. P. 406–412. https://doi.org/10.1016/j.molliq.2017.12.107
- Hajipour A.R., Heidari Y., Kozehgary G. // RSC Adv. 2015. V. 5. № 75. P. 61179–61183. https://doi.org/10.1039/C5RA08488A
- Tamaddon F., Azadi D. // J. Mol. Liq. 2018. V. 249. P. 789–794. https://doi.org/10.1016/j.molliq.2017.10.153
- Singh G., Kamboj R., Singh Mithu V., Chauhan V., Kaur T., Kaur G., Singh S., Singh Kang T. // J. Colloid Interface Sci. 2017. V. 496. P. 278–289. https://doi.org/10.1016/j.jcis.2017.02.021
- Rabbani G.H., Butler T., Knight J., Sanyal S.C., Alam K. // J. Infect. Dis. 1987. V. 155. № 5. P. 979–984. https://doi.org/10.1093/infdis/155.5.979
- Wu J., Ma J.-J., Liu B., Huang L., Sang X.-Q., Zhou L.-J. // J. Agric. Food Chem. 2017. V. 65. № 30. P. 6100–6113. https://doi.org/10.1021/acs.jafc.7b01259
- Habtemariam S. // Molecules. 2020. V. 25. № 6. Art. No. 1426. https://doi.org/10.3390/molecules25061426
- Zou K., Li Z., Zhang Y., Zhang H., Li B., Zhu W., Shi J., Jia Q., Li Y. // Acta Pharmacol. Sin. 2017. V. 38. № 2. P. 157–167. https://doi.org/10.1038/aps.2016.125
- Wang Z.-C., Wang J., Chen H., Tang J., Bian A.-W., Liu T., Yu L.-F., Yi Z., Yang F. // Bioorg. Med. Chem. Lett. 2020. V. 30. № 2. Art. № 126821. https://doi.org/10.1016/j.bmcl.2019.126821
- Huang S., Zhu B., Wang K., Yu M., Wang Z., Li Y., Liu Y., Zhang P., Li S., Li Y., Liu A.-L., Wang Q.-M. // Pest Manag. Sci. 2022. V. 78. № 5. P. 2011–2021. https://doi.org/10.1002/ps.6824
- Marois I., Cloutier A., Meunier I., Weingartl H.M., Cantin A.M., Richter M.V. // PLoS One. 2014. V. 9. № 10. e110631. https://doi.org/10.1371/journal.pone.0110631
- Baroni A., Paoletti I., Ruocco E., Ayala F., Corrado F., Wolf R., Tufano M.A., Donnarumma G. // J. Dermatol. Sci. 2007. V. 47. № 3. P. 253–255. https://doi.org/10.1016/j.jdermsci.2007.05.009
- Malakar S., Sreelatha L., Dechtawewat T., Noisakran S., Yenchitsomanus P., Chu J.J.H., Limjindaporn T. // Virus Res. 2018. V. 255. P. 171–178. https://doi.org/10.1016/j.virusres.2018.07.018
- Wang X., Zeng Y., Sheng L., Larson P., Liu X., Zou X., Wang S., Guo K., Ma C., Zhang G., Cui H., Ferguson D.M., Li Y., Zhang J., Aldrich C.C. // J. Med. Chem. 2019. V. 62. № 5. P. 2305–2332. https://doi.org/10.1021/acs.jmedchem.8b01353
- Baidya M., Horn M., Zipse H., Mayr H. // J. Org. Chem. 2009. V. 74. № 18. P. 7157–7164. https://doi.org/10.1021/jo901670w
- McNeice P., Vallana F.M.F., Coles S.J., Horton P.N., Marr P.C., Seddon K.R., Marr A.C. // J. Mol. Liq. 2020. V. 297. Art. № 111773. https://doi.org/10.1016/j.molliq.2019.111773
- Pernak J., Rzemieniecki T., Klejdysz T., Qu F., Ro-gers R.D. // ACS Sustain. Chem. Eng. 2020. V. 8. № 25. P. 9263–9267. https://doi.org/10.1021/acssuschemeng.0c03501
- Rzemieniecki T., Kleiber T., Pernak J. // RSC Adv. 2021. V. 11. № 44. P. 27530–27540. https://doi.org/10.1039/D1RA04805H
- Verma A., Kumar Waiker D., Bhardwaj B., Saraf P., Shrivastava S.K. // Bioorg. Chem. 2022. V. 119. Art. № 105562. https://doi.org/10.1016/j.bioorg.2021.105562
- Tsitsipa E., Rogers J., Casalotti S., Belessiotis-Richards C., Zubko O., Weil R.S., Howard R., Bisby J.A., Reeves S. // Neuropsychopharmacology. 2022. V. 47. № 4. P. 880–890. https://doi.org/10.1038/s41386-021-01255-4
- Giacobini E., Cuello A.C., Fisher A. // Brain. 2022. V. 145. № 7. P. 2250–2275. https://doi.org/10.1093/brain/awac096
- Venkateswaran A., Reddy Y.T., Sonar V.N., Muthusamy V., Crooks P.A., Freeman M.L., Sekhar K.R. // Bioorg. Med. Chem. Lett. 2010. V. 20. № 24. P. 7323–7326. https://doi.org/10.1016/j.bmcl.2010.10.060
- Odzak R. // Period. Biol. 2020. V. 121–122. № 1–2. P. 15–21. https://hrcak.srce.hr/file/370031
- Bhadani A., Endo T., Koura S., Sakai K., Abe M., Sakai H. // Langmuir. 2014. V. 30. № 30. P. 9036–9044. https://doi.org/10.1021/la502098h
- Skocibusic M., Odzak R., Stefanic Z., Krizic I., Kristo L., Jovic O., Hrenar T., Primozic I., Jurasin D. // Colloids Surf. B Biointerfaces. 2016. V. 140. P. 548–559. https://doi.org/10.1016/j.colsurfb.2015.11.023
- Odzak R., Sprung M., Soldo B., Skocibusic M., Gudelj M., Muic A., Primozic I. // Open Chem. 2017. V. 15. № 1. P. 320–331. https://doi.org/10.1515/chem-2017-0031
- Burilova E.A., Pashirova T.N., Lukashenko S.S., Sapu-nova A.S., Voloshina A.D., Zhiltsova E.P., Campos J.R., Souto E.B., Zakharova L.Y. // J. Mol. Liq. 2018. V. 272. P. 722–730. https://doi.org/10.1016/j.molliq.2018.10.008
- Bazina L., Maravic A., Krce L., Soldo B., Odzak R., Popovic V.B., Aviani I., Primozic I., Sprung M. // Eur. J. Med. Chem. 2019. V. 163. P. 626–635. https://doi.org/10.1016/j.ejmech.2018.12.023
- Li R., Wang Z., Xu Q., Yao S., Li Z., Song H. // J. Mol. Struct. 2020. V. 1209. Art. № 127918. https://doi.org/10.1016/j.molstruc.2020.127918
- Skrzypczak N., Pyta K., Ruszkowski P., Mikolajczak P., Kucinska M., Murias M., Gdaniec M., Bartl F., Przybylski P. // J. Enzyme Inhib. Med. Chem. 2021. V. 36. № 1. P. 1898–1904. https://doi.org/10.1080/14756366.2021.1960829
- Kar S., Sanderson H., Roy K., Benfenati E., Leszczyn-ski J. // Chem. Rev. 2022. V. 122. № 3. P. 3637–3710. https://doi.org/10.1021/acs.chemrev.1c00631
- Viji M., Lanka S., Sim J., Jung C., Lee H., Vishwanath M., Jung J.-K. // Catalysts. 2021. V. 11. № 8. Art. № 1013. https://doi.org/10.3390/catal11081013
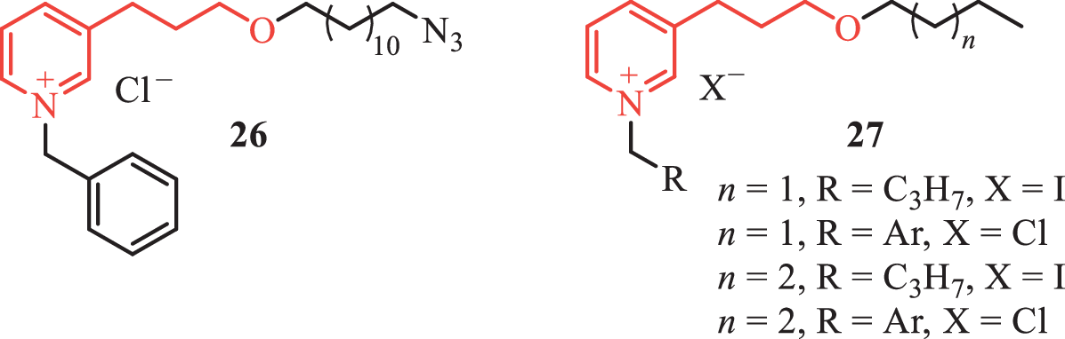
- Burakova E.A., Saranina I.V., Tikunova N.V., Nazarki-na Z.K., Laktionov P.P., Karpinskaya L.A., Anikin V.B., Zarubaev V.V., Silnikov V.N. // Bioorg. Med. Chem. 2016. V. 24. № 22. P. 6012–6020. https://doi.org/10.1016/j.bmc.2016.09.064
- Pashirova T.N., Ziganshina A.Y., Sultanova E.D., Lukashenko S.S., Kudryashova Y.R., Zhiltsova E.P., Zakharova L.Y., Konovalov A.I. // Colloids Surf., A. 2014. V. 448. P. 67–72. https://doi.org/10.1016/j.colsurfa.2014.02.012
- Pashirova T.N., Sapunova A.S., Lukashenko S.S., Burilova E.A., Lubina A.P., Shaihutdinova Z.M., Gerasimo-va T.P., Kovalenko V.I., Voloshina A.D., Souto E.B., Zakharova L.Y. // Int. J. Pharm. 2020. V. 575. Art. № 18953. https://doi.org/10.1016/j.ijpharm.2019.118953
- Engel R., Ghani I., Montenegro D., Thomas M., Kla-ritch-Vrana B., Castano A., Friedman L., Leb J., Rothman L., Lee H., Capodiferro C., Ambinder D., Cere E., Awad Ch., Sheikh F., Rizzo J., Nisbett L.-M., Testani E., Melkonian K. // Molecules. 2011. V. 16. № 2. P. 1508–1518. https://doi.org/10.3390/molecules16021508
- VanKoten H.W., Dlakic W.M., Engel R., Cloninger M.J. // Mol. Pharm. 2016. V. 13. № 11. P. 3827–3834. https://doi.org/10.1021/acs.molpharmaceut.6b00628
- Sreeperumbuduru R.S., Abid Z.M., Claunch K.M., Chen H.-H., McGillivray S.M., Simanek E.E. // RSC Adv. 2016. V. 6. № 11. P. 8806–8810. https://doi.org/10.1039/C5RA10388F
- Aries M.L., Cloninger M.J. // Int. J. Mol. Sci. 2021. V. 22. № 24. Art. № 13606. https://doi.org/10.3390/ijms222413606
- Pashirova T.N., Zhil’tsova E.P., Kashapov R.R., Lukashenko S.S., Litvinov A.I., Kadirov M.K., Zakharo-va L.Y., Konovalov A.I. // Russ. Chem. Bull. 2010. V. 59. № 9. P. 1745–1752. https://doi.org/10.1007/s11172-010-0307-9
- Zhiltsova E.P., Pashirova T.N., Kashapov R.R., Gaisin N.K., Gnezdilov O.I., Lukashenko S.S., Voloshina A.D., Kulik N.V., Zobov V.V., Zakharova L.Y., Konovalov A.I. // Russ. Chem. Bull. 2012. V. 61. № 1. P. 113–120. https://doi.org/10.1007/s11172-012-0016-7
- Pashirova T.N., Lukashenko S.S., Zakharov S.V., Volo-shina A.D., Zhiltsova E.P., Zobov V.V., Souto E.B., Zakharova L.Y. // Colloids Surf., B. 2015. V. 127. P. 266–273. https://doi.org/10.1016/j.colsurfb.2015.01.044
- Pashirova T.N., Burilova E.A., Lukashenko S.S., Gaysin N.K., Gnezdilov O.I., Sapunova A.S., Fernan-des A.R., Voloshina A.D., Souto E.B., Zhiltsova E.P., Zakharova L.Y. // J. Mol. Liq. 2019. V. 296. Art. № 12062. https://doi.org/10.1016/j.molliq.2019.112062
- Zhiltsova E.P., Lukashenko S.S., Pashirova T.N., Vale-eva F.G., Zakharova L.Y. // J. Mol. Liq. 2014. V. 210. Part A. P. 136–142. https://doi.org/10.1016/j.molliq.2015.01.018
- Kontos R.C., Schallenhammer S.A., Bentley B.S., Morrison K.R., Feliciano J.A., Tasca J.A., Kaplan A.R., Bezpalko M.W., Kassel W.S., Wuest W.M., Minbiole K.P.C. // ChemMedChem. 2019. V. 14. № 1. P. 83–87. https://doi.org/10.1002/cmdc.201800622
- Leitgeb A.J., Feliciano J.A., Sanchez H.A., Allen R.A., Morrison K.R., Sommers K.J., Carden R.G., Wuest W.M., Minbiole K.P.C. // ChemMedChem. 2020. V. 15. № 8. P. 667–670. https://doi.org/10.1002/cmdc.201900662
- Yarinich L.A., Burakova E.A., Zakharov B.A., Boldyre-va E.V., Babkina I.N., Tikunova N.V., Silnikov V.N. // Eur. J. Med. Chem. 2015. V. 95. P. 563–573. https://doi.org/10.1016/j.ejmech.2015.03.033
- Guo J., Qin J., Ren Y., Wang B., Cui H., Ding Y., Mao H., Yan F. // Polym. Chem. 2018. V. 9. № 37. P. 4611–4616. https://doi.org/10.1039/C8PY00665B
- Yuan Y., Liang S., Li J., Zhang S., Zhang Y. // J. Mater. Chem. B. 2019. V. 7. № 37. P. 5620–5625. https://doi.org/10.1039/C9TB01264H
- Herman J.L., Wang Y., Lilly E.A., Lallier T.E., Peters B.M., Hamdan S., Xu X., Fidel P.L., Noverr M.C. // Antimicrob. Agents Chemother. 2017. V. 61. № 4. e02575-16. https://doi.org/10.1128/AAC.02575-16
- Fernandes A.R., dos Santos T., Granja P.L., Sanchez-Lopez E., Garcia M.L., Silva A.M., Souto E.B. // Int. J. Pharm. 2022. V. 617. Art. № 121615. https://doi.org/10.1016/j.ijpharm.2022.121615
- Herrera K.M.S., da Silva F.K., de Lima W.G., Barbo-sa C. de S., Goncalves A.M.M.N., Viana G.H.R., Soa-res A.C., Ferreira J.M.S. // Med. Chem. Res. 2020. V. 29. № 6. P. 1084–1089. https://doi.org/10.1007/s00044-020-02549-w
- Herrera K.M.S., Lopes G.F.M., Oliveira M.E., Sousa J.F., Lima W.G., Silva F.K., Brito J.C.M., Gomes A.J.P.S., Viana G.H.R., Soares A.C., Ferreira J.M.S. // Micro-biol. Res. 2022. V. 261. Art. № 127073. https://doi.org/10.1016/j.micres.2022.127073
- Araya-Cloutier C., Vincken J.-P., van Ederen R., den Besten H.M.W., Gruppen H. // Food Chem. 2018. V. 240. P. 147–155. https://doi.org/10.1016/j.foodchem.2017.07.074
- Miklasinska-Majdanik M., Kepa M., Wojtyczka R., Idzik D., Wasik T. // Int. J. Environ. Res. Public Health. 2018. V. 15. № 10. Art. № 2321. https://doi.org/10.3390/ijerph15102321
- Roy A., Fajardie P., Lepoittevin B., Baudoux J., Lapinte V., Caillol S., Briou B. // Molecules. 2022. V. 27. № 4. Art. № 1443. https://doi.org/10.3390/molecules27041443
- de Avellar I.G.J., Godoy K., de Magalhaes G.C. // J. Braz. Chem. Soc. 2000. V. 11. № 1. P. 22–26. https://doi.org/10.1590/S0103-50532000000100005
- Wang R., Luo Y., Cheng C.-J., Huang Q.-H., Huang H.-S., Qin S.-L., Tu Y.‑M. // Chem. Pap. 2016. V. 70. № 9. P. 1218–1227. https://doi.org/10.1515/chempap-2016-0052
- Ma J., Liu N., Huang M., Wang L., Han J., Qian H., Che F. // J. Mol. Liq. 2019. V. 294. Art. № 111669. https://doi.org/10.1016/j.molliq.2019.111669
- Zhao X., Lv J., Wang L., Han J. // J. Surfactants Deterg. 2021. V. 24. № 1. P. 15–33. https://doi.org/10.1002/jsde.12449
- Luo Y., Liang W., Ma W., Wang P., Zhu T., Xue S., Yuan Z., Gao H., Chen Y., Wang Y. // Nanotechnology. 2020. V. 31. № 26. Art. № 265603. https://iopscience.iop.org/article/10.1088/1361-6528/ab7aa4
- Huang M., Ma J., Wu X., Zhao M., Wang L., Che F., Qian H. // J. Surfactants Deterg. 2019. V. 22. № 6. P. 1289–1298. https://doi.org/10.1002/jsde.12324
- Kataev V.E., Strobykina I.Y., Zakharova L.Y. // Russ. Chem. Bull. 2014. V. 63. № 9. P. 1884–1900. https://doi.org/10.1007/s11172-014-0680-x
- Gabdrakhmanov D.R., Voronin M.A., Zakharova L.Y., Konovalov A.I., Khaybullin R.N., Strobykina I.Y., Kataev V.E., Faizullin D.A., Gogoleva N.E., Konnova T.A., Salnikov V.V., Zuev Yu.F. // Phys. Chem. Chem. Phys. 2013. V. 15. № 39. Art. № 16725. https://doi.org/10.1039/C3CP51511G
- Bhadani A., Rane J., Veresmortean C., Banerjee S., John G. // Soft Matter. 2015. V. 11. № 15. P. 3076–3082. https://doi.org/10.1039/C5SM00157A
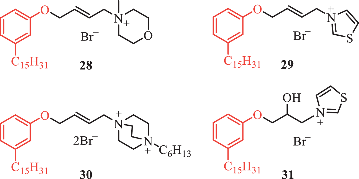
- Feng X., Xiao Z., Yang Y., Chen S., Liao S., Luo H., He L., Wang Z., Fan G. // Nat. Prod. Commun. 2021. V. 16. № 2. P. 1–8. https://doi.org/10.1177/1934578X21992218
- Zhang L., Feng X.-Z., Xiao Z.-Q., Fan G.-R., Chen S.-X., Liao S.-L., Luo H., Wang Z.-D. // Int. J. Mol. Sci. 2021. V. 22. № 20. Art. № 11299. https://doi.org/10.3390/ijms222011299
- Heise N., Friedrich S., Temml V., Schuster D., Siewert B., Csuk R. // Eur. J. Med. Chem. 2022. V. 227. Art. № 113947. https://doi.org/10.1016/j.ejmech.2021.113947
- Peng Y., Chang J., Xiao Z., Huang J., Xu T., Chen S., Fan G., Liao S., Wang Z., Luo H. // Nat. Prod. Commun. 2022. V. 17. № 2. P. 1–10.https://doi.org/10.1177/1934578X221078452
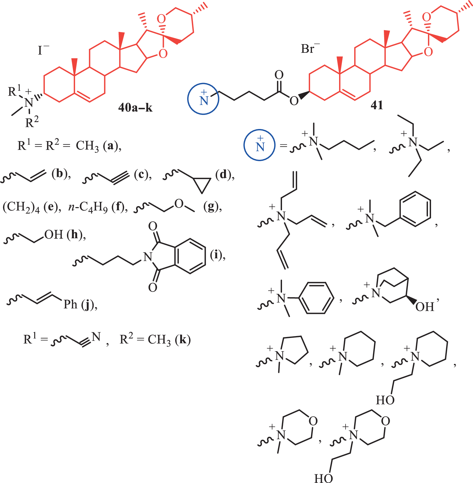
- Xia X., Chen Y., Wang L., Yang Z.-G., Ma X.-D., Zhao Z.-G., Yang H.-J. // Steroids. 2021. V. 166. Art. № 108774. https://doi.org/10.1016/j.steroids.2020.108774
- Forte B., Malgesini B., Piutti C., Quartieri F., Scolaro A., Papeo G. // Mar. Drugs. 2009. V. 7. P. 705−753. https://doi.org/10.3390/md7040705
- Santos A.P., Moreno P.R.H. Alkaloids Derived from Histidine: Imidazole (Pilocarpine, Pilosine). In: Natural Products. Ramawat K., Mérillon J.M. (Eds.). Springer-Verlag, Berlin, Heidelberg, 2013. P. 861−882. https://doi.org/10.1007/978-3-642-22144-6_27
- Crncevic D., Krce L., Mastelic L., Maravic A., Soldo B., Aviani I., Primozic I., Odzak R., Sprung M. // Bioorg. Chem. 2021. V. 112. Art. № 104938. https://doi.org/10.1016/j.bioorg.2021.104938
Supplementary files












