Evolution of vortices at the merging of an ethanol droplet with water in an intrusive mode
- Authors: Djoudar B.1, Ilinykh A.Y.2, Chashechkin Y.D.2
-
Affiliations:
- Université des Sciences et de la Technologie d’Oran Mohamed Boudiaf
- Ishlinsky Institute for Problems in Mechanics of the Russian Academy of Sciences
- Issue: Vol 517, No 1 (2024)
- Pages: 18-28
- Section: МЕХАНИКА
- URL: https://ogarev-online.ru/2686-7400/article/view/272251
- DOI: https://doi.org/10.31857/S2686740024040046
- EDN: https://elibrary.ru/JPIUAA
- ID: 272251
Cite item
Full Text
Abstract
The evolution of vortices formed when a freely falling drop of a 95% aqueous solution of ethanol, tinted with brilliant green, merges with water in the intrusive mode has been traced by method of high-speed video recording. The drop smoothly flows into the liquid and forms a subducting lenticular intrusion, in which a weakly expressed ring vortex is formed if the potential surface energy is greater than or of the same order as its kinetic energy. Gradually, the intrusion of lighter liquid begins to float up and contracts around the cavern, which takes on a conical shape. From the center of the pointed bottom of the cavity, which has reached its maximum depth, a compact volume containing a light liquid of droplet is pushed into the thickness of the liquid. After the cavern collapses, the primary intrusion spreads along the free surface of the target fluid. In this case, the submerging volume is transformed into a small spherical vortex, which reaches its maximum depth, and then stops and forms a compact secondary intrusion elongated vertically. Next, the central part of the secondary intrusion begins to flow up and gradually transforms into a new ring vortex. As it approaches the free surface, the diameter of the vortex increases. The slowly rising shell of the intrusion forms the bottle-shaped base of the cylindrical trace of the ring vortex, colored with droplet pigment. Changes in the sizes of the main structural components during the evolution of the flow pattern were traced.
Full Text
Научный интерес к изучению кольцевых вихрей, сформировавшийся к середине XIX в. [1], стимулировал поиск удобных методов их создания и наблюдения в лабораторных условиях. В их число вошел и процесс слияния свободно падающей капли с покоящейся жидкостью, в котором самопроизвольно формируются небольшие вихри. Четкая фотография погружающегося кольцевого вихря, образующегося при слиянии единичной капли с водой [2], привлекла внимание современников и была воспроизведена на суперобложке популярного трактата [3]. Первые результаты изучения влияния физических свойств жидкостей и высоты свободного падения капли на параметры вихревого кольца приведены в [4]. Выборки из кинофильмов, иллюстрирующие эволюцию формы каверны и интрузии, содержащей пигментированную жидкость капли, которая постепенно трансформируется в тороидальный вихрь, представлены в [5]. Влияние вязкости на формирование завихренности при слиянии падающей капли с жидкостью обсуждается в [6]. Подсветка картины течения рентгеновскими лучами позволила предельно сократить длительность выдержки и получить четкие изображения формирующихся кольцевых вихрей и тонких струй, вылетающих в воздух на границе области слияния жидкостей [7]. При изучении влияния контактной скорости и формы капли на структуру течения установлено, что наиболее устойчивые вихри образуются на границе диапазона перехода формы осциллирующей в полете капли от сферической к вытянутой по вертикали [8].
Фотографии последовательности регулярных распадов кольцевых вихрей импакта капли на множественные петли, на вершинах которых формируются собственные вихри, образующие вихревые ярусы, приведены в [9]. Эволюция тонкой структуры картины течений в интрузивном и импактном режимах слияния свободно падающей капли прослежена в [10]. Выразительные фотографии каскадов вихревых систем, наблюдаемых в воде при погружении капель раствора глицерина различной концентрации, имеющего большую плотность и вязкость, чем принимающая жидкость, приведены в [11]. Эволюция картины столкновения летящих капель этанола и воды визуализирована в [12].
В большинстве опытов с изучением вихревого движения в бассейн с водой падали капли, плотность жидкости которых незначительно [9, 10] или существенно [11] превосходит плотность принимающей среды. В таких условиях импульс капли, градиент плавучести, обусловленный разностью плотностей сливающихся жидкостей, и градиент давления, создаваемый растущей каверной, действуют в одном направлении. Сформировавшийся вихрь плавно погружается и постепенно замедляется вследствие вязкой диссипации и вовлечения окружающей среды в расширяющееся вихревое течение. Картина вихревых течений при слиянии капли жидкости меньшей плотности, чем у принимающей среды, ранее не изучалась. В данной работе впервые проведена визуализация эволюции структуры течения при слиянии капли этанола с частично дегазированной водопроводной водой в интрузивном режиме, когда кинетическая энергия капли меньше или сравнима с ее потенциальной поверхностной энергией (ППЭ). В таком режиме капля вначале плавно втекает в толщу жидкости и формирует чечевицеобразную интрузию с внутренним тороидальным вихрем, а каверна образуется с запаздыванием [10].
Идеи универсального описания природных процессов на основе уравнений переноса энергии [13] получили существенное развитие в [14] при построении системы фундаментальных уравнений механики жидкостей – дифференциальных форм закономерностей переноса плотности, импульса и энергии с учетом уравнений состояния [15, 16], разработанных для описания динамики и структуры эволюционирующих сред. Полные решения линеаризованной системы уравнений движения [14], построенные методами теории сингулярных возмущений [17] с учетом условия совместности, составили основу классификации структурных компонентов течений [18]. Она включает и крупномасштабные волны, вихри, струи, которые характеризуют регулярные решения [14], и высокоградиентные волокна и прослойки, которым соответствуют сингулярные решения [18].
Выбор определяющих размерных параметров, характеризующих изучаемые течения, проведен с учетом [14, 18]. Жидкость или газ определяется как сплошная текучая среда, изменения внутренней энергии которой задаются дифференциалом потенциала Гиббса [15]. Производные потенциала Гиббса G определяют термодинамические величины – плотность ρ и удельный объем V = 1/ρ, энтропию se, давление P, температуру T, концентрацию растворенных веществ и взвешенных частиц Si, химический потенциал i-го компонента μi, коэффициент поверхностного натяжения σ. Некоторые из величин, в частности давление и плотность, имеют прямой механический и расширенный физический смысл. Производные потенциала Гиббса G = G(ρ, P, T, Si, σ) образуют уравнения состояния, связывающие плотность ρ = ρ(P, T, Si) с другими термодинамическими величинами, обеспечивающие замыкание системы фундаментальных уравнений [14, 18].
Молекулярный перенос импульса, температуры и вещества характеризуют коэффициенты динамической μi и кинематической ν = μ/ρ вязкости, температуропроводности кT и диффузии кS. Большая теплоемкость жидкостей позволяет в ряде задач пренебречь температурными эффектами и получать экспериментально проверяемые решения редуцированной системы фундаментальных уравнений, учитывающие гетерогенность жидкости, обеспеченную распределением солености.
В число основных размерных параметров, характеризующих изучаемые течения, входят потенциалы Гиббса капли Gd, воздушной среды Ga и принимающей жидкости Gt (индексы отмечают принадлежность), плотности ρd,a,t, кинематическая νd,a,t и динамическая μd,a,t вязкости; полные , и нормированные на плотность жидкости коэффициенты поверхностного натяжения контактирующих сред , см3/с2; коэффициент диффузии окрашивающей каплю примеси в принимающей жидкости кd; эквивалентный диаметр D, площадь поверхности Sd, объем V, масса M, высота свободного падения H и скорость капли U в момент первичного контакта; ППЭ Eσ = σSd, кинетическая энергия Ek = MU2/2, потенциальная энергия в гравитационном поле с ускорением свободного падения g.
Полная энергия падающей сферической капли Ed = Ep + Ek + Eσ складывается из потенциальной энергии Ep, экстенсивной кинетической энергии c дифференциалом dEk = 0.5ρU2dV, а также ППЭ, заключенной в приповерхностном шаровом слое толщиной порядка размера молекулярного кластера δσ ~ 10−6 см объемом Vσ = δσSd и массой Mσ = ρVσ.
Время передачи кинетической энергии Ek и импульса Pd = Mv капли ∆t = D/U в опытах составляет несколько миллисекунд и на несколько порядков превышает время конверсии ППЭ ∆τ = (δσ / U)∼10−8 с при уничтожении приповерхностного слоя сливающихся жидкостей толщиной δσ∼10−6 cм. Быстрые процессы преобразования ППЭ в другие формы на кольцевой границе области слияния жидкостей играют определяющую роль в установлении режима течения [10].
Отношения физических величин образуют наборы собственных временных и пространственных масштабов, определяющих требования к методике измерений в части выбора размера области наблюдения течений, пространственного и временного разрешения инструментов, а также безразмерных отношений, характеризующих капельные течения. Набор традиционных безразмерных параметров включает числа Рейнольдса Frd = U2/ νD, Фруда Frd = U2/ gD, Вебера Wed = U2D / γd, Бонда Bo = gD2 / , Онезорге , Шмидта Sc = νt/кd. В силу двойственности природы параметров описания свободной поверхности, число Вебера также является также мерой отношения кинетической и поверхностной энергии капли.
Различия физических свойств контактирующих сред характеризуются безразмерными отношениями, составленными по аналогии с числом Атвуда – относительной разностью плотностей , коэффициентов поверхностного натяжения и динамических вязкостей .
Степень выраженности быстрых атомно-молекулярных процессов преобразования ППЭ и передачи кинетической энергии капли характеризуют отношения компонентов энергии и их плотностей . Отношения компонентов энергии в условиях опытов меняются в широких пределах, плотность поверхностной энергии – всегда большая величина в силу малости толщины области ее локализации δσ.
Большое число безразмерных параметров задачи отражает сложность пространственной картины течений, эволюционирующей под действием нескольких одновременно протекающих процессов с различными временными и пространственными масштабами.
Опыты выполнены на модифицированном Стенде для изучения тонкой структуры быстропротекающих процессов (ТСТ), входящем в состав Уникальной исследовательской установки УИУ “ГФК ИПМех РАН” [19]. Одиночные капли 95%-ного раствора этанола отрывались от нормального среза сменного капилляра дозатора под действием собственного веса и падали в прозрачный бассейн размером 10 × 10 × 7 см или 30 × 30 × 5 см, заполненный частично дегазированной водопроводной водой. Значения физических параметров рабочих жидкостей приведены в табл. 1. Область течения освещали два многоточечных светодиодных осветителя Optronis MultiLED со световым потоком 7700 лм, световолоконный осветитель Schott KL2500LCD и прожектор ReyLab Xenos RH-1000 мощностью 1 кВт.
Таблица 1. Физические параметры рабочих жидкостей
| T, °C | ρ, г/см3 | σ, г/с2 | γ, см3 /с2 | μ, г/см · с | ν, см2 /с | |
Этанол, 95% | 20 | 0.81 | 22.7 | 28.0 | 0.014 | 0.017 |
Вода | 20 | 0.998 | 72.0 | 72.0 | 0.01 | 0.01 |
Картина течения регистрировалась видеокамерой Optronis CR 300x2 или фотоаппаратом Canon EOS 350D. Горизонтальная линия визирования располагалась на уровне невозмущенной поверхности жидкости. Расстояние от линзы до центра области течения выбиралось в диапазоне от 12 до 40 см, при этом размеры пикселя лежали в диапазоне от 10 до 50 мкм. Выдержка устанавливалась минимальной при задании уровня пространственного разрешения, размера регистрируемой области и освещенности. Во всех опытах скорость съемки составляла 4000 кадров/с. При подготовке эксперимента внимание уделялось организации светового потока, обеспечивающего визуализацию тонкой структуры основных элементов течения – интрузии, каверны, вихрей, волн на всех этапах эволюции течения. Перед каждым опытом проводилась регистрация масштабного маркера.
После настройки аппаратуры натекающая жидкость формировала на срезе капилляра единичную каплю, которая отрывалась под действием собственного веса и свободно падала в принимающую жидкость. В полете капля перекрывала световой луч в фотодетекторе и запускала видеокамеру с регулируемой задержкой (временнóй шаг 1 мкс). Контактная скорость оценивалась по длительности задержки сигнала с фотоприемника и измерениям положения капли на трех последних кадрах видеофильма, предшествующих контакту и началу ее втекания в принимающую жидкость. Более подробно описание установки приводится в [20].
Опыты выполнены на верхней границе диапазона параметров интрузивного режима слияния свободно падающей капли [10] при RE = Ek/Eσ = 1.064. Эволюцию картины течения на начальном этапе слияния капли 95%-ного раствора этанола, падающей в частично дегазированную водопроводную воду, иллюстрирует выборка из видеофильма, представленная на рис. 1. При первичном контакте капля начинает интенсивно растекаться, образуя круговое пятно на поверхности жидкости и одновременно вливаться в толщу принимающей жидкости по всему сечению области контакта (рис. 1, t = 1 мс).
Рис. 1. Формирование интрузии на начальном этапе процесса слиянии с водопроводной водой окрашенной капли 95%-ного этанола (D = 3.5 мм, U = 0.3 м/с, Eσ = 0.87 мкДж, Ek = 0.82 мкДж, Re= 600, Fr = 2.6, We = 11, Bo = 4.3, Oh = 0.0055, RE = Ek /Eσ = 1.064, Rρ = 0.1, Rσ = 0.007, длина метки – 1 мм, стрелкой отмечена граница депрессии).
В силу задержки начала поступления и уменьшения длительности процесса втекания жидкости с удалением от центра течения, интрузия принимает чечевицеобразную форму (схема течения приведена в [10]). Знак кривизны выпуклой нижней кромки формирующейся интрузии сохраняется в течение всего процесса слияния. Светлые пятна на поверхности капли – блики засветки. По мере втекания капли растут и ширина, и глубина интрузии, внешний диаметр которой при t = 2.25 мс на рис. 1 примерно равен диаметру капли в области контакта. Поскольку рост интрузии продолжается в течение всего процесса слияния капли, размеры области контакта и максимального диаметра начинают существенно отличаться при t > 5 мс.
Появление каверны глубиной 0.47 мм проявляется в просветлении верхнего участка интрузии, обусловленном уменьшением толщины окрашенной части жидкости. Луч частично пересекает прозрачную каверну и оптическая длина луча в воде уменьшается при t = 8 мс. Распределение освещенности в просветленной полоске позволяет считать дно каверны плоским.
На периферии интрузии появляются просветленные кольцевые области диаметром 0.65 мм, t = 10.5 мс – сечения ядра тороидального кольцевого вихря, который наблюдался в толще окрашенной интрузии во многих опытах [2, 4, 5, 10]. Растущая каверна сдвигает интрузию в толщу жидкости. Подтекающая принимающая жидкость отделяет верхнюю кромку интрузии от свободной поверхности и заметно изменяет ее форму. Нижний край интрузии остается выпуклым, а верхний, облегающий дно каверны сферической формы, – вогнутым при t = 10.5 мс. Пятнистые структуры в изображении каверны указывают на неравномерность распределения концентрации пигмента в азимутальном направлении.
В тороидальном вихре, сохраняющемся в верхней части интрузии при t =14 мс, выделяются просветленные круги диаметрами 1.2 мм слева и 0.98 мм справа. При этом толщина окрашенного слоя – остатка интрузии в центре течения под каверной, не превышает hin = 0.24 мм. В распределении пигмента заметны кольцевые структуры в верхней и вертикальные в нижней части каверны.
Взаимодействие растущей каверны с окружающей интрузией, образованной из легкой жидкости капли, приводит к существенному изменению картины течения при t = 14 мс на рис. 1. Погружающаяся каверна принимает коническую форму с углом при вершине φca = 83°. Нижняя кромка интрузии также приобретает коническую форму с углом при вершине φin = 128°. В этой стадии течения формы легкой интрузии (рис. 1, t = 14 мс) и картины втекания капли жидкости большей плотности, когда Rρ < 0 [5, 10], существенно отличаются. В распределении пигмента на стенках каверны выделены кольцевые структуры в верхней и вертикальные в нижней части изображения.
При дальнейшей эволюции в картине течения появляются новые структурные компоненты, форму которых иллюстрируют выборки из видеофильма, представленные на рис. 2. В течение ∆t =0.5 мс на окончании конуса каверны формируется компактный объем жидкости диаметром dvs = 0.9 мм при t = 14.5 мс. Конус каверны глубиной hca = 2.82 мм при этом несколько расширяется, угол при вершине составляет φca = 85°, угол раскрытия нижней конической поверхности интрузии равен φin = 128°. Диаметры сечений тороидального вихря в верхней части интрузии практически не меняются и равны 1.0 мм, 0.95 мм. Сформировавшийся объем жидкости отделяется от кромки каверны при t = 15.25 мс. Высота интрузии продолжает увеличиваться, угол нижней кромки интрузии равен φin = 130°.
Рис. 2. Вторая стадия эволюции картины течения: схлопывание каверны, стягивание интрузии, вылет, погружение и остановка легкого вихря, образующего вторичную интрузию (параметры опыта приведены на рис. 1).
После достижения максимальной глубины hca(t) = 3 мм при t = 16 мс дно каверны и нижняя кромка интрузии начинают скругляться. Между погружающимся сферическим объемом (распределение окраски в котором принимает вид, типичный для сферического вихря) и дном каверны формируется окрашенная цилиндрическая “шейка” высотой hne = 0.17 мм и диаметром dne = 0.27 мм. В этой фазе течения интрузия оконтурена слоем слабо окрашенной жидкости. Диффузность границы интрузии этанола подчеркивает различие процессов слияния раствора вещества, химически реагирующего с принимающей жидкостью, и химически нейтрального раствора электролита [10].
С началом фазы коллапса дно каверны уплощается, а диаметр увеличивается. При этом всплывающая вместе с каверной более легкая интрузия, на периферии которой все еще прослеживаются два круга диаметром 1.0 мм при t = 18.25 мс, подтекает под дно каверны.
Погружающийся объем принимает вид деформированного сферического вихря диаметром dvs = 0.9 мм с выпуклой головной частью и вогнутой донной, к которой примыкает цилиндрический след диаметром dvw = 0.12 мм. В поперечном распределении красителя в погружающемся объеме четко выражены две более плотные области, которые можно интерпретировать как сечения внутреннего вихревого кольца. Погружающийся вихорек практически не теряет пигмент и оставляет быстро исчезающий след при t = 24.5 мс.
По мере схлопывания каверны охватывающая ее интрузия сильно деформируется и теряет аксиальную симметрию. При t = 29.5 мс диаметр левого круга имеет 1.9 мм, а правого 1.5 мм. Движение погружающегося вихря начинает замедляться. При этом его размеры, значения которых приведены ниже, меняются незначительно.
В процессе коллапса каверны интрузия стягивается и преобразуется в компактный конический объем в центре картины течения при t = 59.5 мс. Погружающийся вихорек останавливается и образует вторичную интрузию диаметром d2i = 0.9 мм и высотой h2i = 0.82 мм, внешняя часть которой имеет близкую к цилиндрической форму. Остаток легкой жидкости в ее центре постепенно отделяется от оболочки и, с приобретением сферической формы, начинает всплывать при t = 84.5 мс на рис. 2.
Колеблющаяся интрузия, форма которой непрерывно изменяется, растекается вдоль свободной поверхности жидкости.
Дальнейшую эволюцию картины течения иллюстрирует выборка из видеофильма, представленная на рис. 3. Достаточно четкое различие скоростей медленно всплывающей конической интрузии с окрашенной периферией и быстро всплывающего ядра проявляется на рис. 3, t = 75 мс. Оболочка вторичной интрузии постепенно приобретает выраженную коническую форму. Окрашенный цилиндрический след связывает растущий сферический объем с трансформирующейся оболочкой. При этом нижняя кромка основной интрузии начинает сглаживаться, а высота – уменьшаться.
Рис. 3. Эволюция картины течения на заключительной стадии процесса слияния капли 95%-ного раствора этанола, включающей растекание первичной интрузии, трансформацию вторичной интрузии, формирование и движение всплывающего вихря и его следа.
Головная сферическая часть вторичной интрузии, которая всплывает со скоростью ur = 1 см/с, отходит от конического основания, движущегося более медленно, uf = 0.37 см/с при t = 100 мс. Увеличение высоты области всплывающей жидкости на следующих трех кадрах t = 125, 150, 162.5 мс подчеркивает различие скоростей движения головной и донной части. Оголовок, приобретающий грибовидную форму с выпуклой передней и вогнутой задней кромкой, движется быстрее нижней кромки вторичной интрузии, которая постепенно принимает бутылкообразную форму.
В этой фазе первичная интрузия растекается вдоль свободной поверхности. Толщина слоя окрашенной жидкости в верхней части кадра постепенно убывает. Нижняя кромка интрузии остается неровной. Просветленный промежуточный слой, образующий диффузную границу более плотно окрашенной интрузии, утолщается неравномерно.
Далее высота растекающейся первичной интрузии уменьшается (рис. 3, t = 100 мс). Одновременно становится более выраженной разность скоростей всплытия отделяющегося объема и остатка оболочки вторичной интрузии.
Картина течения несколько преобразуется от кадра к кадру при t = 125, 150 и 182.5 мс – головная часть вторичной интрузии приобретает грибообразную форму с выпуклой передней и вогнутой задней кромкой, медленно всплывающая оболочка – бутылкообразную. Оба элемента течения связывает цилиндрический след.
Изменения высоты, формы нижней границы первичной интрузии, интенсивности окраски на заключительных кадрах, приведенных на рис. 3, иллюстрируют сложность многомасштабных гидродинамических и физико-химических процессов, одновременно протекающих в области контакта этанола первичной интрузии с водой.
Головная часть всплывающей вторичной интрузии последовательно трансформируется, область максимальной концентрации пигмента меняет свою форму. Пигмент стекает по поверхности всплывающего объема и накапливается в тонком кольце на границе с вогнутой донной поверхностью. Диаметр кольца монотонно увеличивается. Выпуклая фронтальная оболочка постепенно просветляется. Диаметр цилиндрического следа в области контакта с головным вихрем прогрессивно уменьшается, а диаметр основания следа, форма которого становится все более симметричной, увеличивается. Общий контраст окрашенной и фоновой частей течения падает вследствие диффузии веществ и химической реакции этанола с водой.
Эволюция размеров выделенных структурных компонентов течений представлена на рис. 4. На начальном этапе процесса слияния капля растекается по поверхности жидкости и одновременно поступает в толщу жидкости по всей площади поверхности контакта, формируя чечевицеобразную интрузию, нижняя кромка которой продвигается в толщу жидкости с практически постоянной скоростью uin = 20 см/с. Вертикальный размер интрузии, который представлен на рис. 4 линией 1, аппроксимируется кусочно-линейной функцией, hin(t) = 0.2t мм на интервале 0 < t < 15.5 мс и более медленно после появления каверны hin(t) = 0.01t + 3.1 мм на интервале 16 < t < 40 мс.
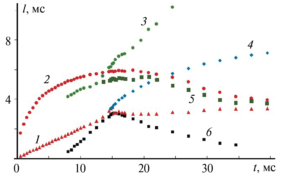
Рис. 4. Эволюция размеров структурных компонентов картины слияния капли этанола с водой (условия опытов приведены на рис. 1): линии 1, 2 – глубина hin(t) и диаметр din(t) интрузии; 3 – диаметр депрессии dd(t); 4 – глубина нижней кромки по-гружающегося объема h2d(t); 5, 6 – диаметр dca(t) и глубина hca(t) каверны.
Горизонтальный размер интрузии на начальном этапе формирования аппроксимируется функцией l(t) = 2.1t1/2 мм на интервале 0 < t < 5 мс и дробно-линейной функцией l(t) = 7t/(t+3) мм на более широком интервале 0 < t < 17 мс. На заключительной стадии роста аппроксимирующая функция имеет вид l(t) = 100t−1 + 1.2 мм на интервале 24.5 < t < 40 мс.
Растущая каверна появляется в поле зрения с запаздыванием ∆t = 6.86 мс. Глубина каверны вначале линейно увеличивается со временем hca(t) = 0.36t мм на интервале 8 < t < 15.5 мс, достигает максимума при t = 16 мс, а далее монотонно убывает hca(t) = 30/t мм на интервале 17 < t < 40 мс (кривая 6, рис. 4). Каверну окружает область депрессии (отмечена на рис. 1, t = 14 мс), диаметр которой также растет пропорционально времени dd(t) = 0.43t мм при 8 < t < 16 мс. Диаметр каверны dca(t) =0.7 + 100 / t мм, появляющейся в поле зрения, несколько меньше ширины интрузии. Со временем размеры объединенных компонентов начинают сближаться.
При t = 15 мс от основания каверны отрывается компактный объем более легкой жидкости, положение нижней кромки которого h2d(t) = 0.5t2/3 + 3.37 мм на интервале 14.5 < t < 32 мс иллюстрирует кривая 4 на рис. 4.
Положения нижней и верхней кромок всплывающей окрашенной области при t > 75 мс, включающей головной формирующийся вихрь, след и бутылкообразный остаток интрузии, приведены на рис. 5.
Рис. 5. Геометрия течения: а – глубина верхней (линия 1) и нижней (2) кромок всплывающей жидкости; б – эволюция размеров первичной интрузии при погружении капли разбавленного водного раствора перманганата калия (0.01%, малиновые индексы) и 95%-ного раствора этанола (синие): линии 1, 2 – диаметры, 3, 4 – высоты.
Скорость всплытия вихря, которая на начальном этапе равна uud = 1 см/с, начинает медленно убывать при приближении к свободной поверхности, где плотность жидкости уменьшается вследствие растворения этанола (рис. 5а).
Для иллюстрации влияния разности плотностей на динамику продвижения кромки интрузии в толщу жидкости на рис. 5б приводятся значения глубины и диаметра первичной интрузии при погружении раствора перманганата калия плотностью ρ = 1.00 г/см3 и раствора этанола ρ = 0.81 г/см3. Значения глубин интрузии неразличимы в пределах точности эксперимента, диаметр интрузии раствора перманганата калия несколько превышает размер интрузии этанола в области максимальных размеров и значительно отличается при t > 28 мс, когда интрузия этанола начинает стягиваться к коллапсирующей каверне.
Изменение положения нижней кромки погружающегося объема – вторичной интрузии, приведенное на рис. 6, аппроксимируется кривой h2d(t) = 0.5t2/3 + 3.37 мм на интервале 14.5 < t < 32 мс. Диаметр погружающегося объема вначале резко убывает d2d(t) = −0.06t + 1 мм, увеличивается, снова спадает и очень медленно растет d2d(t) = 0.0025t + 0.8 при t > 22 мс. Положение центра всплывающего кольца окрашенной жидкости иллюстрирует кривая 3 (рис. 6б), аппроксимация hud(t) = −0.02t + 8.6 мм, а его диаметр – кривая 4 dud(t) = 0.003t + 0.3 мм.
Рис. 6. Эволюция геометрии течения: а – размеры погружающегося объема: кривая 1 – глубина нижней кромки, 2 – диаметр; б – всплывающего вихря: кривая 3 – глубина, 4 – диаметр.
Механизм существенного уменьшения темпа роста поперечного размера погружающегося объема легкой жидкости по сравнению со скоростью роста всплывающего вихревого кольца, образованного той же самой жидкостью, нуждается в дальнейшем изучении.
ИСТОЧНИК ФИНАНСИРОВАНИЯ
Работа выполнена в Лаборатории механики жидкостей ИПМех РАН при поддержке Минобрнауки РФ в рамках Госзадания, номер госрегистрации: 124012500442-3.
About the authors
B. Djoudar
Université des Sciences et de la Technologie d’Oran Mohamed Boudiaf
Author for correspondence.
Email: bochra.djoudar@univ-usto.dz
Algeria, Oran
A. Yu. Ilinykh
Ishlinsky Institute for Problems in Mechanics of the Russian Academy of Sciences
Email: ilynykh@ipmnet.ru
Russian Federation, Moscow
Yu. D. Chashechkin
Ishlinsky Institute for Problems in Mechanics of the Russian Academy of Sciences
Email: chakin@ipmnet.ru
Russian Federation, Moscow
References
- Darrigol O. Worlds of flow. A history of hydrodynamics from the Bernoullis to Prandtl. Oxford: University Press. 2005. 356 p.
- Оkabe J., Inoue S. The Generation of Vortex Ring // Kyushu Univ., Rep. Res. Inst. Appl. Mech. 1960. V. 8(32). P. 91–101.
- Бэтчелор Дж. Введение в динамику жидкости. М.: Мир, 1973. 760 с.
- Chapman D.S., Critchlow P. R. Formation of vortex rings from falling drops // J. Fluid Mech. 1967. V. 29(1). P. 177–185. https://doi.org/10.1017/S0022112067000709
- Rodriguez F., Mesler R. The penetration of drop-formed vortex rings into pools of liquid // J. Colloid Interface Sci. 1988. V. 121(1). P. 121–129 https://doi.org/10.1016/0021-9797(88)90414-6
- Cresswell R.W., Morton B.F. Drop-formed vortex rings-The generation of vorticity // Physics of Fluids. 1995. V. 7. P. 1363–1370. https://doi.org/10.1063/1.868524
- Lee J. S., Park S. J., Lee J. H., Weon B. M., Fezzaa K., Je J. H. Origin and dynamics of vortex rings in drop splashing // Nature Commun. 2015. V. 6(1). https://doi.org/10.1038/ncomms9187
- Dooley B., Warncke A., Gharib M. et al. Vortex ring generation due to the coalescence of a water drop at a free surface // Exp. in Fluids. 1997. V. 22. P. 369–374. https://doi.org/10.1007/s003480050062
- Степанова Е.В., Чашечкин Ю.Д. Перенос маркера в составном вихре // Известия РАН. МЖГ. ٢٠١٠. № 6. Р. 12–29.
- Chashechkin Yu.D., Ilinykh A. Y. Intrusive and impact modes of a falling drop coalescence with a target fluid at rest // Axioms. 2023. V. 12(4). P. 374. https://doi.org/10.3390/axioms12040374
- Zhang Y., Mu Z., Wei Y., Jamil H., Yang Y. Evolution of the heavy impacting droplet: Via a vortex ring to a bifurcation flower // Phys. of Fluids. 2021. V. 33. P. 113603. https://doi.org/10.1063/5.0064072
- Gao T.-C., Chen R.-H., Pu J.-Y., Lin T.-H. Collision between an ethanol drop and a water drop. Experiments in Fluids. 2005. V. 38(6). P. 731–738.https://doi.org/10.1007/s00348-005-0952-1
- Thomson W., Tait P.G. A Treatise on Natural Philosophy. Oxford (UK): Clarendon Press, 1867. 727 p.
- Ландау Л.Д., Лифшиц Е.М. Гидродинамика. М.: Наука, 1986. 736 с.
- Feistel R. Thermodynamic properties of seawater, ice and humid air: TEOS-10, before and beyond // Ocean Sciences. 2018. V. 14. P. 471–502. https://doi.org/10.5194/os-14-471-2018
- Harvey A. H., Hrubý J., Meier K. Improved and always improving: reference formulations for thermophysical properties of water // J. of Phys. and Chem. Ref. Data. 2023. V. 52. P. 011501. https://doi.org/10.1063/5.0125524.
- Найфэ А. Введение в методы возмущений. М.: Мир, 1984. 532 с.
- Chashechkin Y.D. Foundations of engineering mathematics applied for fluid flows // Axioms. 2021. V. 10(4). P. 286. https://doi.org/10.3390/axioms10040286
- УИУ “ГФК ИПМех РАН”: Гидрофизический комплекс для моделирования гидродинамических процессов в окружающей среде и их воздействия на подводные технические объекты, а также распространения примесей в океане и атмосфере. Сайт: http://www.ipmnet.ru/uniqequip/gfk/#equip.
- Чашечкин Ю.Д., Ильиных А.Ю. Задержка формирования каверны в интрузивном режиме слияния свободно падающей капли с принимающей жидкостью // Доклады РАН. Физика, технические науки. 2021. Т. 496. C. 34–39. https://doi.org/10.31857/S268674002101003X
Supplementary files








