Оптические полосно-пропускающие фильтры третьего порядка на структурах из чередующихся слоев кварца и серебра
- Авторы: Беляев Б.А.1,2, Тюрнев В.В.3, Скоморохов Г.В.2,3, Жарков С.М.2,3, Сержантов А.М.1,2, Шабанов Д.А.2,3
-
Учреждения:
- Сибирский государственный университет науки и технологий им. академика М.Ф. Решетнева
- Сибирский федеральный университет
- Институт физики им. Л.В. Киренского ФИЦ КНЦ Сибирского отделения Российской академии наук
- Выпуск: Том 516, № 1 (2024)
- Страницы: 73-80
- Раздел: ТЕХНИЧЕСКИЕ НАУКИ
- URL: https://ogarev-online.ru/2686-7400/article/view/272111
- DOI: https://doi.org/10.31857/S2686740024030119
- EDN: https://elibrary.ru/JZBHML
- ID: 272111
Цитировать
Полный текст
Аннотация
Разработаны конструкции оптических полосно-пропускающих фильтров на планарных структурах, полученных вакуумным напылением на подложки из кварцевого стекла (SiO2) трех слоев также из кварца, являющихся полуволновыми резонаторами, разделенными друг от друга, свободного пространства и подложки четырьмя слоями из серебра (Ag). Толщины слоев Ag и SiO2 определялись по заданным параметрам полосы пропускания фильтров параметрическим синтезом одномерных моделей с использованием электродинамического анализа. При этом использовались экспериментальные частотные зависимости действительной и мнимой частей комплексной диэлектрической проницаемости серебра. Измеренные амплитудно-частотные характеристики изготовленных опытных образцов фильтров красного, зеленого и фиолетового цветов хорошо согласуются с характеристиками, полученными при синтезе.
Полный текст
Оптические фильтры, как правило, конструируют на слоистых диэлектрических структурах, в которых полуволновые резонаторы разделены многослойными зеркалами из чередующихся четвертьволновых слоев с высоким и низким показателем преломления [1–3]. Зеркала создают оптимальную связь резонаторов друг с другом под заданную ширину полосы пропускания фильтра, а зеркала крайних резонаторов создают связь еще и с портами фильтра на его входе и выходе, например со свободным пространством, обеспечивая тем самым требуемый уровень неравномерности амплитудно-частотной характеристики (АЧХ) в полосе пропускания. Отражательная способность зеркал растет как с увеличением контраста показателей преломления смежных слоев, так и с увеличением их числа. Известно, что при определенных ширинах полосы пропускания фильтра в его зеркалах на четвертьволновых слоях бывает невозможно использовать необходимые величины показателей преломления из-за отсутствия таковых у реальных материалов. Эта проблема решается, если слои в зеркалах сделать немного отличными от четверти длины волны. В этом случае затухание в высокочастотной полосе заграждения немного увеличивается, а в низкочастотной – уменьшается. Методики синтеза таких конструкций, состоящих всего лишь из трех и даже из двух материалов, позволяющих создавать фильтры с равномерными характеристиками в полосе пропускания, описаны в [4] и [5] соответственно.
Отметим, что в [6] показана возможность создания полосно-пропускающих фильтров на слоистых структурах из композитных материалов, в которых наночастицы серебра находятся в диэлектрической матрице из полистирола. Установлено, что с ростом объемной концентрации частиц в композите до ~33% действительная компонента его относительной диэлектрической проницаемости плавно увеличивается с 2.6 до ~103, при этом вплоть до частоты 1 ТГц тангенс угла диэлектрических потерь не превышает 10–2. Настройка таких фильтров осуществляется подбором концентрации частиц в четвертьволновых слоях зеркал. Высокий контраст диэлектрических проницаемостей матрицы и композита позволяет изготавливать зеркала с требуемой отражательной способностью на минимальном количестве слоев.
Одним из существенных недостатков оптических фильтров на мультислойных диэлектрических структурах является большое количество слоев в их конструкциях, например, в фильтре 3-го порядка с относительной шириной полосы пропускания 10% требуется 11 слоев [2], а в фильтре 5-го требуется 49 слоев [1]. Другим недостатком таких фильтров являются узкие полосы заграждения, обусловленные паразитными резонансами мультислойной структуры, существующие как ниже, так и выше полосы пропускания.
Учитывая огромную частотную дисперсию комплексной диэлектрической проницаемости металлов в оптическом диапазоне, в настоящей работе рассматриваются новые конструкции полосно-пропускающих фильтров на планарных структурах. Исследуются конструкции, в которых 3 кварцевых слоя являются полуволновыми резонаторами, а разделяющие их слои из серебра служат полупрозрачными зеркалами. Аналогичные, но однорезонаторные структуры, работающие как полосно-пропускающие фильтры либо на отражение [7], либо на прохождение [8], имеют слишком малые затухания в полосах заграждения. Таким же недостатком обладают фильтры, исследованные в работе [9], в которых в качестве металла выбрано не серебро, а хром.
Расчет оптического фильтра на слоистой структуре
Электродинамический анализ планарных многослойных структур проводился при условии нормального падения света. В радиотехнике многослойные структуры, как правило, моделируют четырехполюсниками, т.е. устройствами с портами на входе и выходе. Портами в рассматриваемой многослойной структуре являются ее две наружные поверхности, граничащие с окружающим свободным пространством. Для расчета коэффициентов прохождения и отражения электромагнитных волн при их падении на слоистые структуры удобно пользоваться безразмерными матрицами передачи M, элементы которых принимают комплексные значения. В микроволновой технике такие матрицы часто называют нормированными ABCD-матрицами [10]. Эти матрицы связывают тангенциальные составляющие напряженности электрического поля Ei и магнитного поля Hi на обеих наружных поверхностях планарной структуры матричным уравнением
(1)
где – волновое сопротивление свободного пространства [2]. Матрица передачи m-слойной структуры равна произведению
M = M1M2 ... Mk ... Mm, (2)
где Mk – матрица передачи k-го слоя. Ее элементы выражаются формулой
(3)
Здесь θk – электрическая толщина k-го слоя, – волновое сопротивление материала k-го слоя, а εk и μk– относительные диэлектрическая и магнитная проницаемости материала. При получении формулы (3) предполагалось, что колебания электромагнитного поля описываются множителем exp(−iωt). В рассматриваемом нами случае все μk равны единице, так как слоистая структура состоит только из немагнитных материалов.
Зная матрицу передачи M многослойной структуры, можно рассчитать матрицу рассеяния S этой структуры, которая традиционно используется при решении электродинамических задач. Взаимосвязь элементов матрицы S с элементами матрицы M выражается простыми формулами
(4)
Через элементы матрицы рассеяния несложно рассчитать коэффициент отражения KR = | S11 |2 и коэффициент прохождения KL = | S21 |2 падающей электромагнитной волны. Однако в задачах электродинамики вместо коэффициентов отражения KR и коэффициента прохождения KL чаще используют такие понятия, как потери на отражение R = 20lg | S11 | и потери на прохождение L = 20lg | S21 |, измеряемые в децибелах. Логарифмическая шкала необходима особенно при рассмотрении фильтров, когда в полосах заграждения у них большие потери.
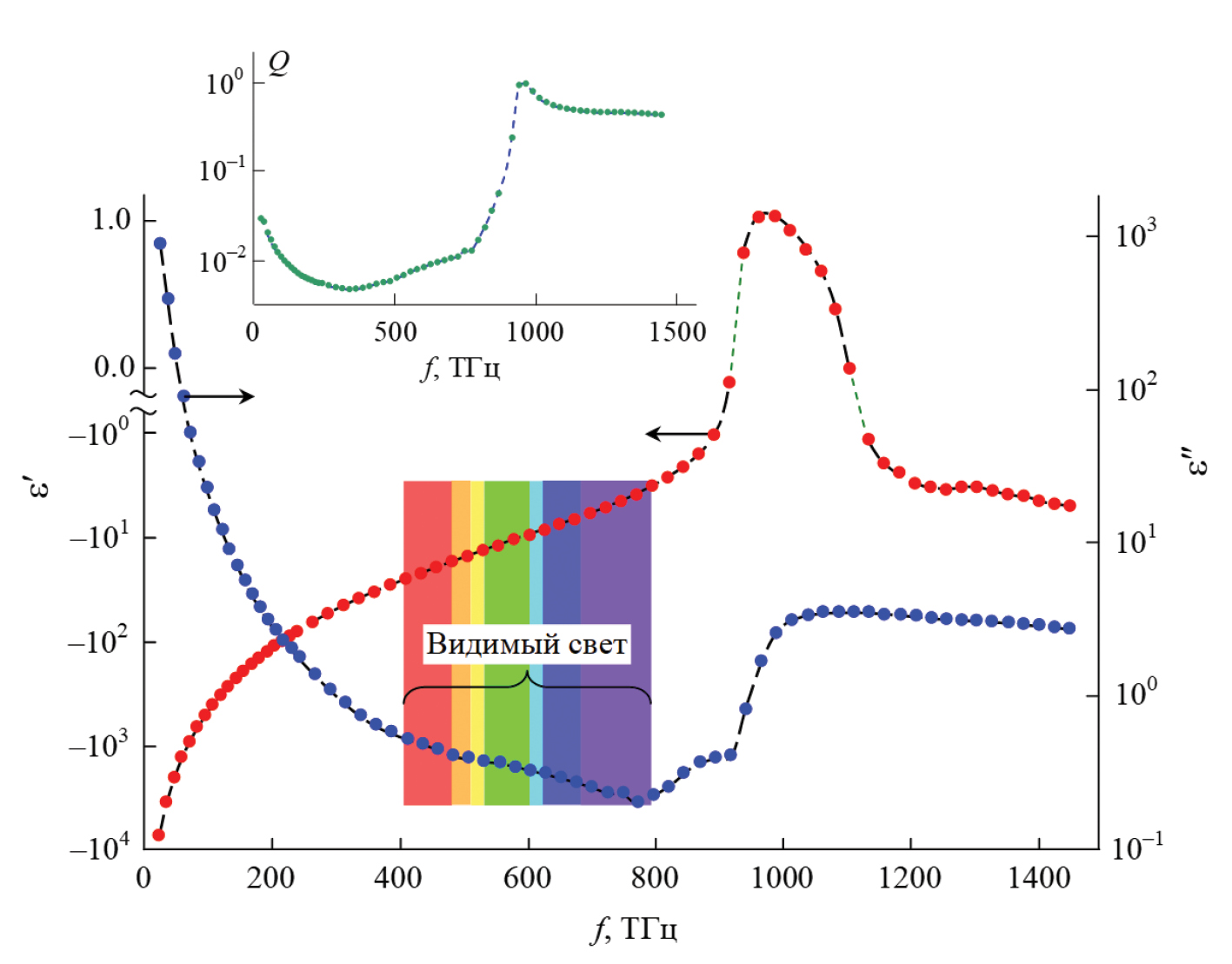
Для электродинамического анализа модели оптического фильтра на слоистой структуре, в котором слои из кварца являются полуволновыми резонаторами, а слои из серебра служат зеркалами, необходимо знать частотные зависимости действительной εʹ и мнимой εʺ частей относительной диэлектрической проницаемости серебра. Частотной дисперсией комплексной диэлектрической проницаемости кварца можно пренебречь, так она очень мала в оптическом диапазоне εʹ = 2.13 и εʺ = 5 ∙ 10–5. Серебро же, напротив, имеет колоссальную дисперсию в оптическом диапазоне как εʹ( f ), так и εʺ( f ), зависимости которых представлены на рис. 1 в диапазоне частот от 24 ТГц до 1471 ТГц [11]. Видно, что как действительная, так и мнимая части комплексной диэлектрической проницаемости изменяются на несколько порядков. В этом диапазоне авторы определили εʹ и εʺ на 69 частотах [11], показанных точками на рис. 1. Однако для расчета амплитудно-частотных характеристик (АЧХ) полосно-пропускающих фильтров требуется гораздо больше точек в этом диапазоне частот, поэтому по измеренным значениям εʹ и εʺ нами была проведена интерполяция зависимостей кубическими сплайнами, разбив указанный диапазон на 5000 точек, представленных штриховыми линиями на рис 1.
Рис. 1. Частотные зависимости действительной εʹ и мнимой εʺ частей диэлектрической проницаемости серебра. Точки – результаты измерений [11], штриховые линии – интерполяции кубическими сплайнами. На вставке показана частотная зависимость добротности серебра.
Важно отметить, что в ультрафиолетовой области частот в диапазоне 930–1112 ТГц действительная часть диэлектрической проницаемости серебра принимает положительные значения, достигая максимума εʹ~1.2 на частоте f ~980 ТГц. Примерно в этой же области наблюдается “размытый” экстремум мнимой части диэлектрической проницаемости, максимум которой εʺ~3.5 попадает на частоту f ~1088 ТГц.
На рис. 1 показан также спектр частот видимого света, а на вставке рисунка представлена зависимость добротности серебра, вычисленная по формуле [12]
(5)
где n׳ и n״ – действительная и мнимая части показателя преломления. Эта добротность не превышает значения 0.5 при отрицательных εʹ, как это было установлено в [12], однако в области положительных εʹ она имеет максимум Q ~1.0 на частоте f ~955 ТГц.
Характеристики оптических фильтров третьего порядка
Рассмотрим конструкцию фильтра третьего порядка в свободном пространстве (рис. 2), состоящего из чередующихся слоев серебра и кварца с толщинами h1, h2 … h7, осажденных на подложку из кварцевого стекла толщиной h8 = 0.5 мм. В этой конструкции три четных слоя из SiO2 являются полуволновыми резонаторами, формирующими полосу пропускания фильтра, а нечетные слои из Ag служат зеркалами, обеспечивающими оптимальные связи резонаторов друг с другом и со свободным пространством. С использованием описанной выше методики электродинамического анализа многослойных структур была написана программа для расчета АЧХ такой структуры, с помощью которой производился параметрический синтез фильтров.
Рис. 2. Конструкция фильтра третьего порядка и АЧХ трех фильтров, настроенных по ширине полосы пропускания на красный, зеленый и фиолетовый цвета видимого спектра частот (прямые потери – линии, потери на отражение – точки).
Для сравнения были синтезированы три фильтра с центральными частотами полос пропускания fr = 442.5 ТГц, fg = 565 ТГц и fv = 735 ТГц, выбранных на краях и в центре видимого диапазона. Ширины полос пропускания ∆f задавались по уровню –3 дБ от уровня минимальных потерь прошедшей мощности KL( f ) и составляли для красного цвета ∆f = 75 ТГц (∆f/fr ≈ 17%), для зеленого цвета ∆f = 70 ТГц (∆f/fg ≈ 12%) и для фиолетового цвета ∆f = 110 ТГц (∆f/fv ≈ 15%). Кроме того, задавался максимальный уровень отражений в полосе пропускания KR = –14 дБ. Поставленные условия выполнялись подбором толщин каждого из слоев рассматриваемой структуры в процессе ручного параметрического синтеза фильтров. Полученные толщины слоев представлены в табл. 1, а амплитудно-частотные характеристики синтезированных фильтров показаны на рис. 2. Чтобы не загромождать рисунок, полная частотная зависимость потерь на отражение на рисунке представлена для среднего “зеленого” фильтра, а для “красного” и “фиолетового” фильтров S11( f ) показаны только в полосах пропускания. Видно, что с увеличением центральной частоты полосы пропускания минимальные потери в полосе пропускания фильтра монотонно увеличиваются: для “красного” Lr ≈ 2.5, “зеленого” Lg ≈ 3.5 и “фиолетового” Lv ≈ 4.3 дБ. Очевидно, что потери прошедшей мощности в полосе пропускания связаны с затуханием электромагнитных волн в серебряных слоях, обладающих низкой добротностью (см. вставку на рис. 1), толщина которых увеличивается с ростом центральной частоты фильтра (см. табл. 1), что, соответственно, и приводит к росту потерь.
Таблица 1. Толщины слоев hi в фильтрах третьего порядка: нечетные i – Ag, четные i – SiO2
Толщина слоя, нм | h1 | h2 | h3 | h4 | h5 | h6 | h7 | |
Цвет фильтра | Красный | 11.3 | 170.4 | 28.4 | 182.4 | 28.4 | 170.4 | 11.3 |
Зеленый | 18.2 | 128.1 | 41.6 | 134.1 | 41.6 | 128.1 | 18.2 | |
Фиолетовый | 22.0 | 85.9 | 45.8 | 89.0 | 45.8 | 85.9 | 22.0 | |
Особенностью рассматриваемых фильтров является наличие на АЧХ дополнительного максимума пропускания в ультрафиолетовой области на частоте ~930 ТГц, положение которого почти не изменяется при настройке фильтра на любую центральную частоту первой полосы пропускания. Этот максимум связан с резонансом плазменных колебаний электронов в серебряных слоях, который наблюдается в ультрафиолетовой области вблизи названной частоты [13]. В этой области действительная часть комплексной диэлектрической проницаемости становится положительной (см. рис. 1), при этом зеркала, теряя свою отражательную способность, пропускают электромагнитные волны. Важно отметить, что на АЧХ “красного” фильтра в ультрафиолетовой области также наблюдается вторая полоса пропускания, сформированная резонансами второй моды колебаний резонаторов из SiO2 слоистой структуры. Ширина этой полосы значительно больше ширины первой полосы пропускания не только за счет увеличения взаимодействия резонаторов из-за уменьшения отражательной способности зеркал, но и за счет максимума прохождения, связанного с резонансом плазменных колебаний электронов в серебряных слоях, который располагается вблизи высокочастотного склона второй полосы пропускания.
Исследование опытных образцов фильтров
Многослойные структуры опытных образцов фильтров размером 10 × 10 мм осаждались на подложки размерами 12 × 12 мм из кварцевого стекла марки JGS1 толщиной 0.5 мм, шероховатость поверхности которых менее 1 нм. Послойное напыление структур проводилось на установке “AJA” (США) методом поочередного магнетронного распыления серебряной и кварцевой мишеней без разгерметизации вакуумной камеры. Для распыления серебряной мишени использовался DC-магнетрон, а для распыления кварцевой мишени – HF-магнетрон. Осаждались семислойные структуры с толщинами слоев, представленными в табл. 1, которые определялись временем напыления каждого слоя при известных скоростях напыления. Для определения скоростей напыления предварительно была изготовлена двухслойная структура Ag–SiO2, в которой слой серебра осаждался в течение 50, а слой кремния – в течение 750 с. Затем был сделан поперечный срез этой структуры, и на электронном микроскопе JEM-2100 (JEOL Ltd.) были измерены толщины этих слоев (рис. 3б). В результате рассчитанная скорость напыления серебра составляла ~0.59 нм/с, а кварца ~0.16 нм/с.
Рис. 3. АЧХ опытных образцов фильтров третьего порядка (точки) и АЧХ их одномерных моделей, настроенных на полосы пропускания опытных образцов по уровню –3 дБ от уровня минимальных потерь (линии). На вставках: а – фотографии опытных образцов, снятые на просвет, б – фотография поперечного среза двухслойной структуры Ag–SiO2.
На рис. 3 точками показаны измеренные на спектрофотометре SHIMADZU UV-3600 (Япония) АЧХ изготовленных опытных образцов трех фильтров, а на вставке рис. 3а представлены фотографии этих фильтров, полученные на просвет. На фотографиях каждого фильтра виден ореол по периметру многослойной структуры, отличающийся по цвету от цвета фильтра. Это объясняется тем, что края структуры имеют меньшую толщину слоев, так как их во время напыления “затеняет” подложкодержатель, при этом спектр краев, соответственно, сдвигается в более высокие частоты. Поэтому у “красного” фильтра края оранжево-желтые, “зеленого” – синие, а у “фиолетового” они черные, так как спектр его краев попадает в ультрафиолетовую область частот.
При сравнении рассчитанных АЧХ одномерных моделей исходных фильтров (рис. 2) с измеренными АЧХ реальных образцов, изготовленных по их размерам (рис. 3), видно качественное согласие характеристик. Хотя центральные частоты полос пропускания у всех реальных образцов сдвинуты вниз по частоте примерно на 5%, а также у них уменьшены относительные ширины полос пропускания на 1–5%. Эти факты говорят о том, что у изготовленных опытных образцов все слои имеют несколько большую толщину, чем у теоретически рассчитанных фильтров, приведенных в табл. 1. Что, очевидно, связано с точностью определения скоростей напыления слоев. В подтверждение были подобраны толщины слоев одномерных моделей фильтров так, чтобы ширины их полос пропускания, измеренные по уровню –3 дБ от уровня минимальных потерь, совпадали с измеренными ширинами полос пропускания реальных образцов. Толщины слоев представлены в табл. 2, а рассчитанные для них АЧХ показаны сплошными линиями на рис. 3. Видно, что увеличение толщины слоев в одномерных моделях фильтров примерно на 10% приводит к достаточно хорошему совпадению их характеристик.
Таблица 2. Толщины слоев hi в фильтрах третьего порядка: нечетные i – Ag, четные i – SiO2, обеспечивающие совпадение полос пропускания по уровню –3 дБ теоретических и экспериментальных амплитудно-частотных характеристик
Толщина слоя, нм | h1 | h2 | h3 | h4 | h5 | h6 | h7 | |
Цвет фильтра | Красный | 12.7 | 185.3 | 31.8 | 196.0 | 31.8 | 185.3 | 12.7 |
Зеленый | 19.6 | 138.1 | 45.5 | 143.6 | 45.5 | 138.1 | 19.6 | |
Фиолетовый | 23.5 | 94.9 | 48.8 | 98.4 | 48.8 | 94.9 | 23.5 | |
Заключение
Таким образом, созданы планарные конструкции оптических полосно-пропускающих фильтров третьего порядка на структурах, полученных вакуумным напылением на подложки из кварцевого стекла слоев также из кварца, разделенных друг от друга, от подложки и от свободного пространства слоями из серебра. Три слоя из кварца являются полуволновыми резонаторами на центральной частоте полосы пропускания, а четыре слоя из серебра служат зеркалами, которые обеспечивают оптимальные связи резонаторов друг с другом и с портами на входе и выходе устройств. Толщины слоев Ag и SiO2 по заданным параметрам полосы пропускания фильтров определялись параметрическим синтезом одномерных моделей с использованием их электродинамического анализа. При расчете применялись экспериментальные частотные зависимости действительной и мнимой частей диэлектрической проницаемости серебра, которые, как известно, имеют огромную дисперсию в оптическом диапазоне.
Измеренные АЧХ изготовленных опытных образцов фильтров третьего порядка красного, зеленого и фиолетового цветов хорошо согласуются с расчетными характеристиками, полученными при синтезе устройств. Особенностью рассматриваемых фильтров является наличие на АЧХ дополнительного максимума пропускания в ультрафиолетовой области на частоте ~930 ТГц, положение которого почти не изменяется при настройке фильтра на любую центральную частоту первой полосы пропускания. Этот максимум связан с резонансом плазменных колебаний электронов в серебряных слоях, который, как известно, в серебре наблюдается в ультрафиолетовой области вблизи названной частоты. Как показал расчет, при замене в фильтрах слоев из Ag на Cu или Au (частотные зависимости действительной и мнимой частей диэлектрических проницаемостей меди и золота также приведены в работе [11]) дополнительный максимум на АЧХ наблюдается на частоте ~540 ТГц для медных зеркал и ~580 ТГц для зеркал из золота. Именно вблизи этих частот, попадающих в зеленую область видимого света, находятся резонансы плазменных колебаний электронов в Cu и Au [13].
Источник финансирования
Работа выполнена при поддержке Министерства науки и высшего образования Российской Федерации, государственное задание FEFE-2023-0004.
Об авторах
Б. А. Беляев
Сибирский государственный университет науки и технологий им. академика М.Ф. Решетнева; Сибирский федеральный университет
Автор, ответственный за переписку.
Email: belyaev@iph.krasn.ru
Россия, Красноярск; Красноярск
В. В. Тюрнев
Институт физики им. Л.В. Киренского ФИЦ КНЦ Сибирского отделения Российской академии наук
Email: belyaev@iph.krasn.ru
Россия, Красноярск
Г. В. Скоморохов
Сибирский федеральный университет; Институт физики им. Л.В. Киренского ФИЦ КНЦ Сибирского отделения Российской академии наук
Email: belyaev@iph.krasn.ru
Россия, Красноярск; Красноярск
С. М. Жарков
Сибирский федеральный университет; Институт физики им. Л.В. Киренского ФИЦ КНЦ Сибирского отделения Российской академии наук
Email: belyaev@iph.krasn.ru
Россия, Красноярск; Красноярск
А. М. Сержантов
Сибирский государственный университет науки и технологий им. академика М.Ф. Решетнева; Сибирский федеральный университет
Email: belyaev@iph.krasn.ru
Россия, Красноярск; Красноярск
Д. А. Шабанов
Сибирский федеральный университет; Институт физики им. Л.В. Киренского ФИЦ КНЦ Сибирского отделения Российской академии наук
Email: belyaev@iph.krasn.ru
Россия, Красноярск; Красноярск
Список литературы
- Macleod H.A. Thin-Film Optical Filters. Boca Raton: CRC Press, 2010. 772 p.
- Беляев Б.А., Тюрнев В.В., Шабанов В.Ф. Полосно-пропускающие фильтры на одномерных фотонно-кристаллических структурах // ДАН. 2014. Т. 454. № 6. С. 651–656. https://doi.org/10.7868/S0869565214060097
- Li J. // Optics Commun. 2010. V. 283. P. 2647–2650. http://dx.doi.org/10.1016/j.optcom.2010.02.046
- Беляев Б.А., Тюрнев В.В., Шабанов В.Ф. // ДАН. 2014. Т. 456. № 4. С. 413–416. https://doi.org/10.7868/S0869565214160105
- Belyaev B.A., Tyurnev V.V., Shabanov V.F. // Optics Letters. 2014. V. 39. No 12. P. 3512–3515. http://dx.doi.org/10.1364/OL.39.003512
- Беляев Б.А., Лексиков Ан.А, Тюрнев В.В., Шабанов Д.А. Исследование композита: металлические наночастицы в диэлектрической матрице и многослойных полосно-пропускающих фильтров на его основе // ДАН. 2021. Т. 497. С. 5–11. https://doi.org/10.31857/S2686740021020024
- Li Z., Butun S., Aydin K. // ACS Photonics. 2015. V. 2. P. 183–189. http://dx.doi.org/10.1021/ph500410u
- Jen Y.J., Lin M.J. Coatings. 2018. No. 8. V. 231. P. 1–8. http://dx.doi.org/10.3390/coatings8070231
- Shen W., Sun X., Zhang Y., Luo Z., Liu X., Gu P. // Optics Communications. 2009. V. 282. P. 242–246. https://doi.org/10.1016/j.optcom.2008.09.080
- Гупта К., Гардж Р., Чадха Р. Машинное проектирование СВЧ-устройств. М.: Радио и связь, 1987. 432 с.
- Babar S., Weaver J.H. // Appl. Opt. 2015. V. 54. No 3. P. 477–481. http://dx.doi.org/10.1364/AO.54.000477
- Belyaev B.A., Tyurnev V.V. Ural Radio Engineering Journal. 2023. V. 7. No 4. P. 457–469. https://doi.org/10.15826/urej.2023.7.4.006
- Borah R., Ninakanti R., Bals S., Verbruggen S.W. Scientific Reports. 2022. No. 12. V. 15738. P. 1–19. https://doi.org/10.1038/s41598-022-20117-7
Дополнительные файлы
Примечание
Представлено академиком РАН В.Ф. Шабановым 31.01.2024 г.





