Self-similar solutions of the bed deformation
- Authors: Petrov А.G.1, Potapov I.I.2, Epikhin A.S.3
-
Affiliations:
- Ishlinsky Institute for Problems in Mechanics of the Russian Academy of Sciences
- Computing Center of the FEB RAS
- Ivannikov Institute for System Programming of the Russian Academy of Sciences
- Issue: Vol 516, No 1 (2024)
- Pages: 66-72
- Section: МЕХАНИКА
- URL: https://ogarev-online.ru/2686-7400/article/view/272108
- DOI: https://doi.org/10.31857/S2686740024030105
- EDN: https://elibrary.ru/JZPZKP
- ID: 272108
Cite item
Full Text
Abstract
In this paper, a conclusion about the self-similar behavior of the bed surface evolution is made. It is based on the analysis of experimental and numerical studies of the bed surface evolution under the mechanical impact of liquid flow. The bottom wave has a form close to one period of a sinusoidal function with a time-varying wavelength and constant steepness. A method of constructing the automodel dependence of the bed surface on time and spatial coordinate in analytical form is proposed. It was shown that it is enough to select five bottom surfaces with given wavelengths from a series of shapes. Next, the mean values of shear stresses are calculated for them, and the rates of change of wavelengths are found. Then a degree of approximation of the wavelength dependence of its rate of change is determined, and, finally, the exact solution of the corresponding differential equation is obtained. Comparison with experimental data and numerical solutions shows that the solution error does not exceed a few percent and that computational time is reduced by 25–30 times.
Keywords
Full Text
Традиционно для изучения деформаций дна, возникающих под воздействием протекающего по нему гидродинамического потока, используют нестационарные русловые модели [1], требующие значительных вычислительных затрат [2]. Поскольку результаты решения таких задач используются в большом количестве прикладных проектов (прокладка трубопроводов по дну рек [3, 4], деформирование донной поверхности в нижних бьефах гидроузлов [5–7], воздействия движителей судов на дно [8] и т.д.), то возможность сокращения времени расчета имеет большое значение для практики.
В работе выполнен анализ возможности использования автомодельного характера донной деформации для значительного сокращения расчетного времени руслового процесса, эволюционирующего в автомодельном приближении.
1. Автомодельный размыв дна
Экспериментальные данные донной поверхности, размываемой под действием гидродинамического потока [3–8], показывают, что данные процессы имеют автомодельный характер [9–11]. На рис. 1 представлены серии экспериментальных кривых, из которых видно, что донную поверхность во все моменты времени можно представить в следующем виде:
(1)
(2)
Физически величина q равна крутизне донной волны и по данным экспериментов различных русловых процессов является постоянной величиной. Например, по данным экспериментальных кривых для эволюции донной поверхности под трубой на дне реки q = ζ0 / λ = 0.08 (рис. 1а [11]). Другой пример эволюции донной поверхности под воздействием плоской придонной струи (течение из-под щита), по данным работы [6], изображен на рис. 1б. Из него видно, что для шести различных моментов времени сохраняется синусоидальная форма донной поверхности, меняются длина и амплитуда донной волны, а их отношение остается постоянным.
Рис. 1. Эволюция донной поверхности: а – под трубой на дне реки [11], б – под воздействием плоской придонной струи по данным работы [6], 1 – синусоидальная аппроксимация.
Автомодельные синусоидальные формы (1) изображены на рис. 1 в виде сплошных линий. Изменение амплитуды волны ζ0(t) и ее длины λ(t) во времени аппроксимируются степенными функциями
(3)
Например, для автомодельных донных форм на рис. 1б α = 70, β = 1 / 8.
2. Математическая постановка задачи
При описании эволюции уровня донной поверхности ζ используется закон сохранения донного материала (уравнение Экснера)
(4)
где G – объемный расход влекомых наносов для частиц грунта, движущихся в активном придонном слое, ε – пористость донного материала.
Для замыкания уравнения (4) используется теоретическая зависимость
(5)
где Tc – критическое придонное касательное напряжение, Tc0 – критическое напряжение на ровном дне, η(z) – функция Хевисайда.
Теоретическая зависимость (5) подтверждена всеми наиболее известными и надежными экспериментальными данными. Уравнения (5) и (4) совместно с уравнениями гидродинамики представляют собой замкнутую, но весьма сложную систему уравнений, позволяющую рассчитывать эволюцию донной поверхности под воздействием различных гидродинамических факторов: течение под трубой, под воздействием придонной струи и другие. Используя автомодельную геометрию донной волны, можно описать ее эволюцию, сократив расчетное время почти на два порядка.
3. Уравнение для распределения напряжения на донной поверхности при отсутствии транзитных наносов
С помощью автомодельного решения (1) можно найти распределение напряжения на донной поверхности. Для этого подставим его в уравнение Экснера. Для производной по времени функции ζ(t, x) имеем
Проинтегрируем уравнение Экснера (4) по x:
Отсюда, предполагая, что G(0) – (транзитный расход наносов) равен нулю, с помощью (5) получим уравнение для распределения напряжения на донной поверхности T:
разрешая которое относительно T, найдем
(6)
Графики функций Φ(ζ) и Г(ζ), входящих в (6), изображены на рис. 2а, 2б соответственно.
Рис. 2. Графики функций Ф(ξ) (а) и Г(ξ) (б).
С помощью (6) можно получить связь среднего значения напряжения на донной волне с функцией Λ(t):
Коэффициент С при изменении множителя на интервале (0.4, 0.8) меняется незначительно в пределах (1.97, 2.01). Поэтому можно принять
(7)
Разрешая с помощью (6) это уравнение относительно dλ / dt, получим дифференциальное соотношение:
(8)
4. Схема расчета эволюции автомодельной донной волны
Предлагается следующий алгоритм для расчета эволюции донной волны в автомодельной форме (3) с помощью уравнения (8). Пусть имеется набор донных волн в виде (1) с длинами волн λ1, λ2, ..., λk. Для каждой донной волны λi из решения уравнений гидродинамики численно находится распределение напряжений на равномерной сетке донной волны: T1, T2, ..., TN. По этим значениям по формулам
вычисляются значения
и из дифференциального соотношения (8) находится таблица значений производных
Аппроксимация табличных значений в виде
(9)
находится методом наименьших квадратов. Из условия минимума функции
получаем систему двух линейных относительно lnA и n уравнений
(10)
В свою очередь, уравнение (9) имеет точное решение
(11)
После подстановки в него найденных из системы уравнений (10) значений A и n получаем функцию λ(t). Такой подход позволяет существенно сократить расчетное время.
5. Расчетный пример
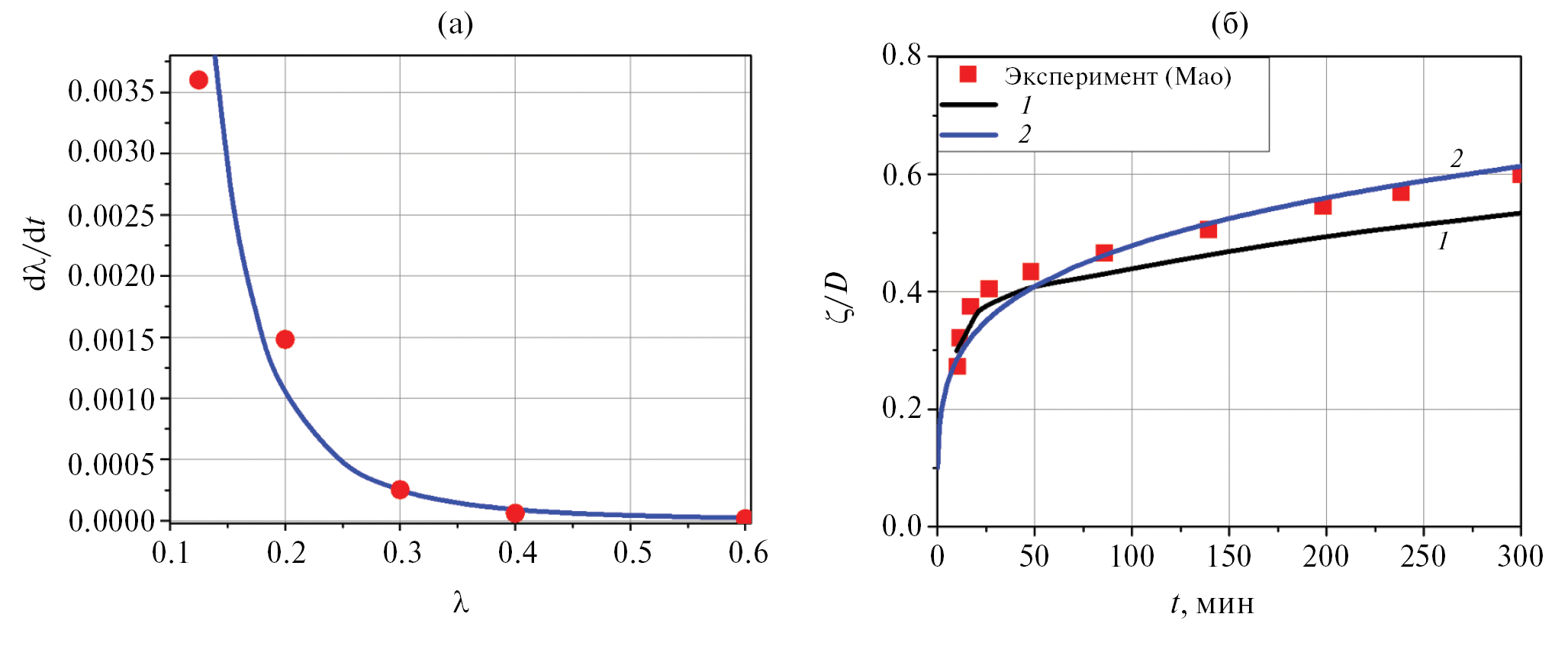
Для численного расчета напряжений на синусоидальном дне использовался открытый программный комплекс OpenFOAM. Рассматривались обтекания цилиндра (диаметр D = 0.1 м) с различными формами донной поверхности потоком воды со скоростью 0.4 м/c. Определялись напряжения на донной поверхности для синусоидальных форм с длинами волн λ = 0.125, 0.2, 0.3, 0.4, 0.6 и крутизной q = a / λ = 0.08. На рис. 3 представлены постановка задачи (а) и различные формы донных синусоидальных волн (б); результаты расчета обтекания цилиндра над донными волнами: длина волны 3D (в) и длина волны 6D (г).
Рис. 3. Постановка задачи обтекания цилиндра: а – схема расчетной области. Гin – входная граница, Гout – выходная граница, Гbed – донная граница, Гtop – верхняя граница; б – формы донной поверхности; результаты расчета обтекания цилиндра над донными волнами: в – длина волны 3D; г – длина волны 6D.
По результатам численного моделирования для пяти значений длин волн λ с крутизной волн q = 0.08 получены средние напряжения . Данные для песка на дне в системе СИ: диаметр песчинок d = 0.00035, пористость ε = 0.35, параметр Кармана ê = 0.25, коэффициент сопротивления песчаных частиц cx = 0.55, предельный угол трения tg φ = 0.5, плотность песка ρs = 2650, плотность воды ρw = 1000. Напряжение на бесконечности ~0.36. Транзитные наносы отсутствуют.
По представленным данным определяем
и с помощью (8) находим значения скорости изменения длины волны dλ / dt = 0.00355, 0.00147, 0.000262, 0.0000686, 0.0000209.
Результаты расчетов представлены в табл. 1.
Таблица 1
λ | a | ||
1.25D | 0.1 | 0.99 | 0.00355 |
2D | 0.16 | 0.84 | 0.00147 |
3D | 0.24 | 0.56 | 0.000262 |
4D | 0.32 | 0.46 | 0.0000686 |
6D | 0.48 | 0.42 | 0.0000209 |
Методом наименьших квадратов из системы уравнений (10) находим коэффициенты интерполяционной функции lnA = −12.47, A = 0.00000385, n = 3.42. Сравнение интерполяционной кривой с представленными в табл. 1 красными точками приведено на рис. 4а. Решение определяется по формуле (11). Подставляя найденные значения A, n, получим
.
График зависимости
изображен на рис. 4б синей линией в сравнении с экспериментальными данными [11] и результатами расчета непрерывного размыва донной поверхности и деформации сетки [12].
Рис. 4. Сравнение результатов: а – расчетные точки со степенной аппроксимацией; б – расчет [12] (1), экспериментальные данные [11] (красные точки), предложенная модель (2).
Из графика видно удовлетворительное совпадение численного расчета и эксперимента с теоретической моделью. Погрешность вычислений ζ(t) не превышает нескольких процентов. При этом численное моделирование гидродинамики с учетом размыва требует до 8 ч. Определение напряжений для 5 рассмотренных случаев и решение задачи по предложенному алгоритму составило порядка 15 мин, т.е. расчетное время сократилось в 30 раз. Стоит отметить, что предложенная модель зависит от численных результатов напряжений на донной поверхности, которые напрямую определяются моделью турбулентности и их коэффициентами, реализацией пристеночных функций, расчетной сеткой, что может привести к увеличению погрешности расчета. Можно также отметить, что точность расчета практически не изменится, если выбрать из таблицы значения только для четырех длин волн . При этом время сократится на 20%.
Таким образом, предложенная модель позволяет дать приемлемую оценку глубины размыва донной поверхности за расчетное время, почти на два порядка меньшее прямого численного моделирования.
Источник финансирования
Исследования выполнены за счет гранта Российского научного фонда № 23-71-10091.
About the authors
А. G. Petrov
Ishlinsky Institute for Problems in Mechanics of the Russian Academy of Sciences
Author for correspondence.
Email: petrovipmech@gmail.com
Russian Federation, Moscow
I. I. Potapov
Computing Center of the FEB RAS
Email: petrovipmech@gmail.com
Хабаровский федеральный исследовательский центр
Russian Federation, KhabarovskA. S. Epikhin
Ivannikov Institute for System Programming of the Russian Academy of Sciences
Email: petrovipmech@gmail.com
Russian Federation, Moscow
References
- Петров А.Г., Потапов И.И. Избранные разделы русловой динамики. М.: Ленанд, 2019. 244 с.
- Беликов В.В., Алексюк А.И. Модели мелкой воды в задачах речной гидродинамики. М.: РАН, 2020. 346 с.
- Sandra Paskin. The Self-Burial of Seabed Pipelines // Thesis. University of London. 1993. 361 p.
- Dey S., Navneet P. Singh Clear-Water Scour below Underwater Pipelines under Steady Flow // J. Hydraul. Eng. 2008. V. 134. № 5. P. 588–600.
- Chatterjee S.S., Ghosh S.N., Chatterjee M. Local scour due to submerged horizontal jet // J. Hydraulic Engineering. 1994. V. 120. № 8. Р. 937–991.
- Dey S., Sarkar A. Scour Downstream of an Apron Due to Submerged Horizontal Jets // J. Hydraulic Engineering. 2006. V. 132. № 3. March 1. Р. 246–257.
- Aamir M., Ahmad Z. Hydraulics of submerged jets causing scour downstream of a rough rigid apron // 14th International Symposium on River Sedimentation. Chengdu, China. 2019. September 16–19. Р. 1–10.
- Samma H., Amir Khosrojerdi, Masoumeh Rostam-Abadi, Mojtaba Mehraein, Yovanni Cataño-Lopera. Numerical simulation of scour and flow field over movable bed induced by a submerged wall jet // IWA Publishing 2020. J. Hydroinformatics. 2020. V. 22. № 2. Р. 386–401.
- Седов Л.И. Методы подобия и размерности в механике. М.: Наука, Гл. ред. физ.-мат. лит., 1987. 432 с.
- Ландау Л.Д., Лифшиц Е.М. Теоретическая физика. Т. 6. Гидродинамика. М.: Физматлит, 2015. 728 с.
- Mao Y. The interaction between a pipeline and an erodible bed. Ser. Paper 39. Institute of Hydrodynamics and Hydraulic Engineering, Technical Univ. of Denmark, Lyngby, Denmark. 1986
- Liang D., Huang J., Zhang J., Shi S., Zhu N., Chen J. Three-Dimensional Simulations of Scour around Pipelines of Finite Lengths // J. Mar. Sci. Eng. 2022. V. 10. P. 106. https://doi.org/10.3390/jmse10010106
Supplementary files
Note
Presented by Academician of the RAS R.I. Nigmatullin





