MULTISTABILITY IN A CHIRAL SEMICONDUCTOR MICROCAVITY
- Authors: Dmitrieva O.A.1,2, Gippius N.A.2, Tikhodeev S.G.1,2
-
Affiliations:
- Prokhorov General Physics Institute of the Russian Academy of Sciences
- Lomonosov Moscow State University
- Issue: Vol 510, No 1 (2023)
- Pages: 10-15
- Section: ФИЗИКА
- URL: https://ogarev-online.ru/2686-7400/article/view/135927
- DOI: https://doi.org/10.31857/S2686740023030057
- EDN: https://elibrary.ru/OYJPPO
- ID: 135927
Cite item
Full Text
Abstract
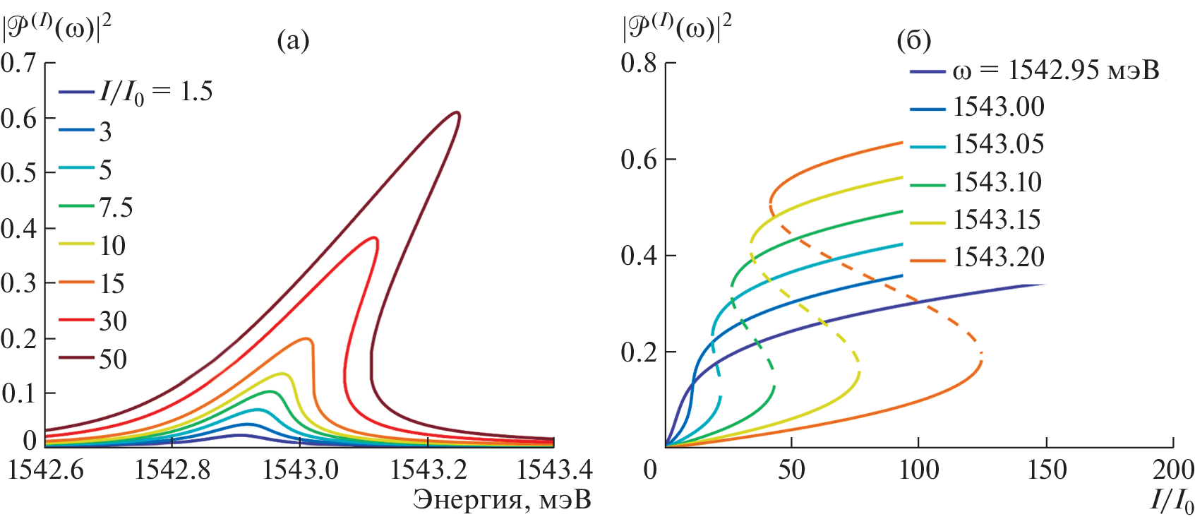
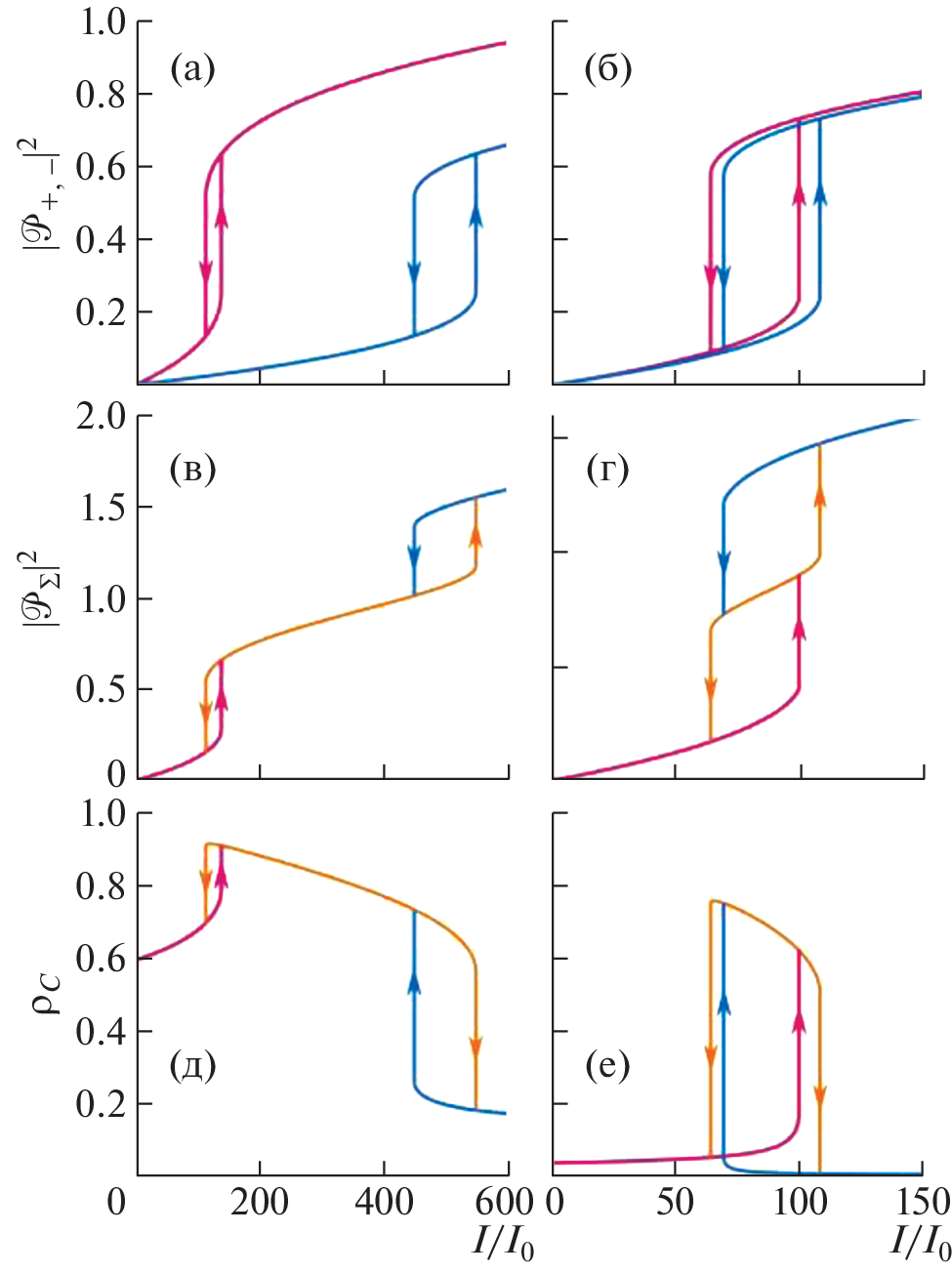
The features of the bi- and multistability effects in the semiconductor Bragg microcavity with chiral photonic crystal slab on the upper mirror are investigated theoretically. It is shown that the response of such a chiral structure under a linearly polarized coherent resonant pump demonstrates sharp multistable transitions with abrupt jumps of the exciton intensity and degree of circular polarization. It is shown that of the thresholds of bistable transitions in the system with different sense of circular polarization differ slightly, i.e. in case of a non-optimized structure, we can expect to obtain even a larger amplitude of the jumps of the degree of circular polarization of the excitonic response due to the multistability than in a specially optimized chiral structure with a high degree of circular polarization at low pump intensity.
About the authors
O. A. Dmitrieva
Prokhorov General Physics Institute of the Russian Academy of Sciences; Lomonosov Moscow State University
Author for correspondence.
Email: dmitrieva.oa16@physics.msu.ru
Russia, Moscow; Russia, Moscow
N. A. Gippius
Lomonosov Moscow State University
Author for correspondence.
Email: n.gippius@skoltech.ru
Russia, Moscow
S. G. Tikhodeev
Prokhorov General Physics Institute of the Russian Academy of Sciences; Lomonosov Moscow State University
Author for correspondence.
Email: tikh@gpi.ru
Russia, Moscow; Russia, Moscow
References
- Ha N.Y., Ohtsuka Y., Jeong S.M., Nishimura S., Suzaki G., Takanishi Y., Ishikawa K., Takezoe H. Fabrication of a simultaneous red-green-blue reflector using single-pitched cholesteric liquid crystals. Nat. Mater. 2008. V. 7. № 1. P. 43–47.
- Fujino H., Koh S., Iba S., Fujimoto T., Kawaguchi H. Circularly polarized lasing in a (110)-oriented quantum well vertical-cavity surface-emitting laser under optical spin injection. Appl. Phys. Lett. 2009. V. 94. № 13. P. 131108. https://doi.org/10.1063/1.3112576
- Lindemann M., Xu G., Pusch T., Michalzik R., Hof-mann M.R., Žutić I., Gerhardt N.C. Ultrafast spin-lasers// Nature. 2019. V. 568. № 7751. P. 212–215. https://doi.org/10.1038/s41586-019-1073-y
- Konishi K., Nomura M., Kumagai N., Iwamoto S., Arakawa Y., Kuwata-Gonokami M. Circularly Polarized Light Emission from Semiconductor Planar Chiral Nanostructures // Phys. Rev. Lett. 2011. V. 106. № 5. P. 057402. https://doi.org/10.1103/PhysRevLett.106.057402
- Shitrit N., Yulevich I., Maguid E., Ozeri D., Veksler D., Kleiner V., Hasman E. Spin-Optical Metamaterial Route to Spin-Controlled Photonics // Science 2013. V. 340. № 6133. 724–726. https://doi.org/10.1126/science.1234892
- Rauter P., Lin J., Genevet P., Khanna S.P., Lachab M., Giles D.A., Linfield E.H., Capasso F. Electrically pumped semiconductor laser with monolithic control of circular polarization // Proc. Natl. Acad. Sci. 2014. V. 111. № 52. P. E5623–E5632. https://doi.org/10.1073/pnas.1421991112
- Demenev A.A., Kulakovskii V.D., Schneider C., Brodbeck S., Kamp M., Hoefling S., Lobanov S.V., Weiss T., Gippius N.A., Tikhodeev S.G. Circularly polarized lasing in chiral modulated semiconductor microcavity with GaAs quantum wells // Appl. Phys. Lett. 2016. V. 109. № 17. P. 71106. https://doi.org/10.1063/1.4966279
- Gorkunov M.V., Antonov A.A., Kivshar Y.S. Metasur-faces with Maximum Chirality Empowered by Bound States in the Continuum // Phys. Rev. Lett. 2020. V. 125. № 9. P. 093903. https://doi.org/10.1103/PhysRevLett.125.093903
- Maksimov A.A., Filatov E.V., Tartakovskii I.I., Kulakovskii V.D., Tikhodeev S.G., Schneider C. Höfling S. Circularly Polarized Laser Emission from an Electrically Pumped Chiral Microcavity // Phys. Rev. Applied. 2022. V. 17. № 2. P. L021001. https://doi.org/10.1103/PhysRevApplied.17.L021001
- Максимов А.А., Филатов Е.В., Тартаковский И.И. Температурная зависимость циркулярно поляризованного излучения инжекционного полупроводникового лазера // Письма в ЖЭТФ. 2022. В. 116. № 8. С. 500–505. https://doi.org/10.31857/S1234567822200022
- Zhang X., Liu Y., Han J., Kivshar Y., Song Q. Chiral emission from resonant metasurfaces. 2022. Science. V. 377. № 6611. P. 1215–1218. https://doi.org/10.1126/science.abq7870
- Gippius N.A., Tikhodeev S.G., Kulakovskii V.D., Krizhanovskii D.N., Tartakovskii A.I. Nonlinear dynamics of polariton scattering in semiconductor microcavity: Bistability vs. stimulated scattering // Europhys. Lett. 2004. V. 67. № 6. P. 997–1003. https://doi.org/10.1209/epl/i2004-10133-6
- Gippius N.A., Shelykh I.A., Solnyshkov D.D., Gavrilov S.S., Rubo Y.G., Kavokin A.V., Tikhodeev S.G., Malpuech G. Polarization Multistability of Cavity Polaritons. // Phys. Rev. Lett. 2007. V. 98. № 23. P. 236401. https://doi.org/10.1103/PhysRevLett.98.236401
- Гаврилов С.С. Неравновесные переходы, хаос и химерные состояния в системах экситонных поляритонов // УФН. 2020. Т. 190. № 2. С. 137–159. https://doi.org/10.3367/UFNr.2019.04.038549
- Hopkins B., Poddubny A.N., Miroshnichenko A.E., Kivshar Y.S. Circular dichroism induced by Fano resonances in planar chiral oligomers // Laser Photonics Rev. 2016. V. 10. № 1. 137–146. https://doi.org/10.1002/lpor.201500222
- Whittaker D.M., Culshaw I.S. Scattering-matrix treatment of patterned multilayer photonic structures // Phys. Rev. B. 1999. V. 60. № 15. P. 2610–2618. https://doi.org/10.1103/PhysRevB.60.2610
- Tikhodeev S.G., Yablonskii A.L., Muljarov E.A., Gippius N.A., Ishihara T. Quasiguided modes and optical properties of photonic crystal slabs // Phys. Rev. B. 2002. V. 66. № 4. P. 045102. https://doi.org/10.1103/PhysRevB.66.045102
- Ландау Л.Д., Лифшиц Е.М. Электродинамика сплошных сред. М.: Наука, 1982. 620 с.
Supplementary files






