ВЕРОЯТНОСТНАЯ МОДЕЛЬ РАССЕЯНИЯ УЛЬТРАКОРОТКИХ ИМПУЛЬСОВ НА СВОБОДНОМ ЭЛЕКТРОНЕ
- Авторы: Бугаёв А.С.1, Храмов Е.С.1, Астапенко В.А.1
-
Учреждения:
- Московский физико-технический институт (национальный исследовательский университет)
- Выпуск: Том 510, № 1 (2023)
- Страницы: 6-9
- Раздел: ФИЗИКА
- URL: https://ogarev-online.ru/2686-7400/article/view/135926
- DOI: https://doi.org/10.31857/S2686740023030045
- EDN: https://elibrary.ru/OYIPRJ
- ID: 135926
Цитировать
Полный текст
Аннотация
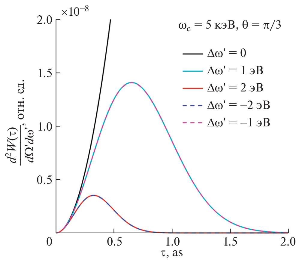
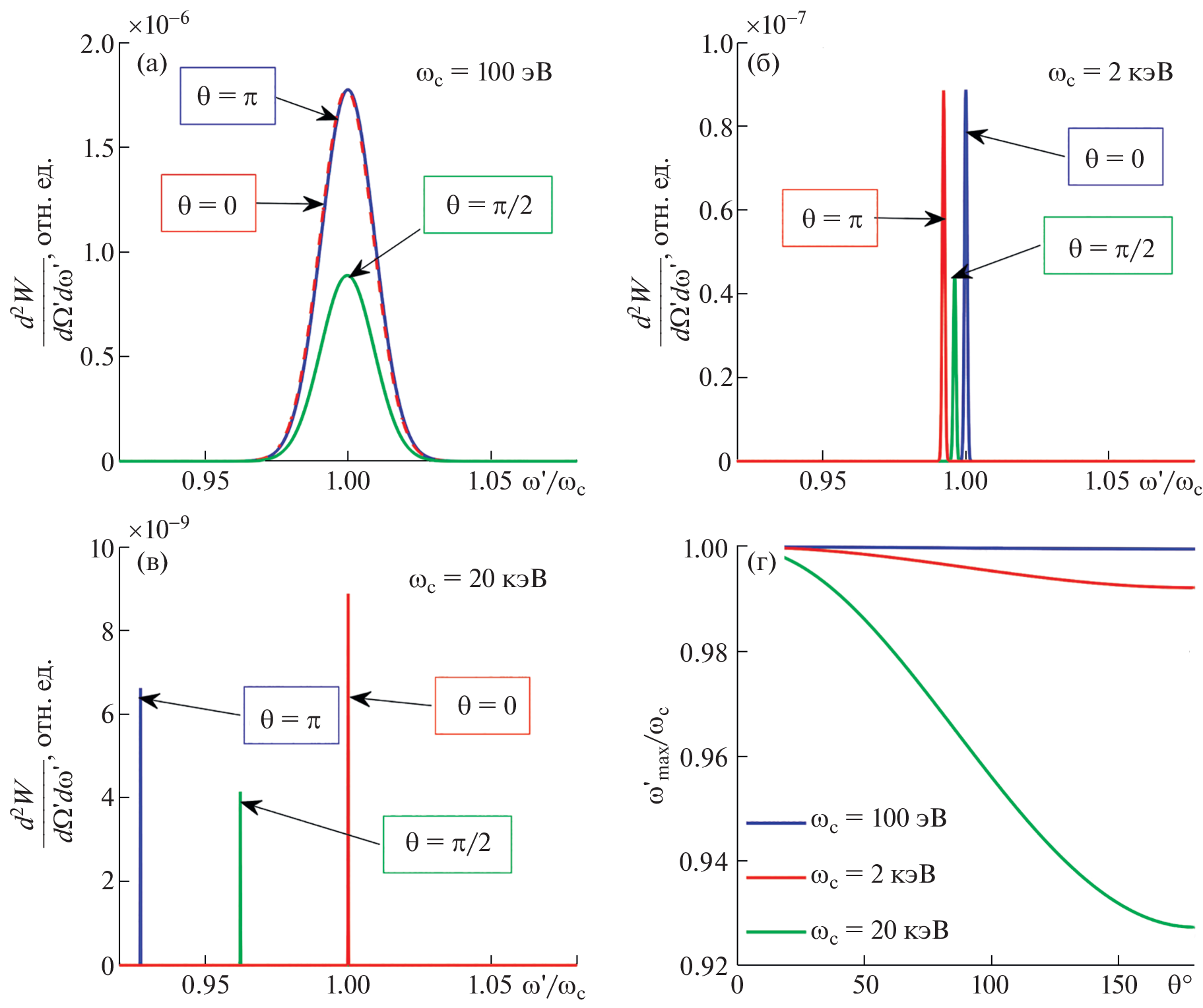
Обобщено традиционное описание рассеяния фотонов на свободных электронах на основе формулы Клейна–Нишины, чтобы расширить его на случай ультракоротких импульсов. В рамках второго приближения квантово-механической теории возмущений получена формула вероятности рассеяния за все время действия импульса, границы применимости которой включают в себя релятивистский случай. Исследован эффект красного смещения спектра рассеянного излучения с увеличением угла рассеяния в релятивистском случае. Изучены тренды зависимости вероятности рассеяния от длительности ультракоротких импульсов.
Об авторах
А. С. Бугаёв
Московский физико-технический институт (национальный исследовательский университет)
Email: Egor.Khramov@phystech.edu
Россия, Московская обл., Долгопрудный
Е. С. Храмов
Московский физико-технический институт (национальный исследовательский университет)
Автор, ответственный за переписку.
Email: Egor.Khramov@phystech.edu
Россия, Московская обл., Долгопрудный
В. А. Астапенко
Московский физико-технический институт (национальный исследовательский университет)
Email: Egor.Khramov@phystech.edu
Россия, Московская обл., Долгопрудный
Список литературы
- Lawrence J.R., Waugh D. Laser Surface Engineering: Processes and Applications. Elsevier, 2014.
- Varro S. Free Electron Lasers. Intech, Rijeka, 2012.
- Kang H.S., Ko I.S. // Nat. Photonics. 2020. V. 14. P. 7–8.
- Kida Y., Kinjo R., Tanaka T. // Appl. Phys. Lett. 2016. V. 109. 151107.
- McNeil B.W.J., Thompson N.R. // Nat. Photonics. 2010. V. 4. P. 814–821.
- Klein O., Nishina T. // Z. Phys. 1929. V. 52. P. 11–12.
- Nelms A.T. Graphs of the Compton energy-angle relationship and the Klein–Nishina formula from 10 keV to 500 MeV // US Government Printing Office, Washington, 1953. V. 542.
- Chao C.Y. // Phys. Rev. 1930. V. 36. 10.
- Read J., Lauritsen C.C. // Phys. Rev. 1934. V. 45. P. 7.
- Astapenko V.A. // Phys. Lett. A. 2010. V. 374. P. 1585–1590.
- Астапенко В.А. // ЖЭТФ. 2011. Т. 139. С. 228.
- Astapenko V.A., Rosmej F.B., Lisitsa V.S., Khramov E.S. // Phys. Plasmas. 2020. V. 27. 083301.
Дополнительные файлы




