О ФОРМАХ РАВНОВЕСИЯ НАЧАЛЬНО-ИЗОГНУТОЙ БАЛКИ БЕРНУЛЛИ–ЭЙЛЕРА ПРИ ЭЛЕКТРИЧЕСКИХ И ТЕПЛОВЫХ ВОЗДЕЙСТВИЯХ
- Авторы: Морозов Н.Ф.1,2, Индейцев Д.А.2,3, Можгова Н.В.3, Лукин А.В.3, Попов И.А.3
-
Учреждения:
- Санкт-Петербургский государственный университет
- Институт проблем машиноведения Российской академии наук
- Санкт-Петербургский политехнический университет
- Выпуск: Том 508, № 1 (2023)
- Страницы: 35-41
- Раздел: МЕХАНИКА
- URL: https://ogarev-online.ru/2686-7400/article/view/135914
- DOI: https://doi.org/10.31857/S268674002301008X
- EDN: https://elibrary.ru/UNMSTC
- ID: 135914
Цитировать
Полный текст
Аннотация
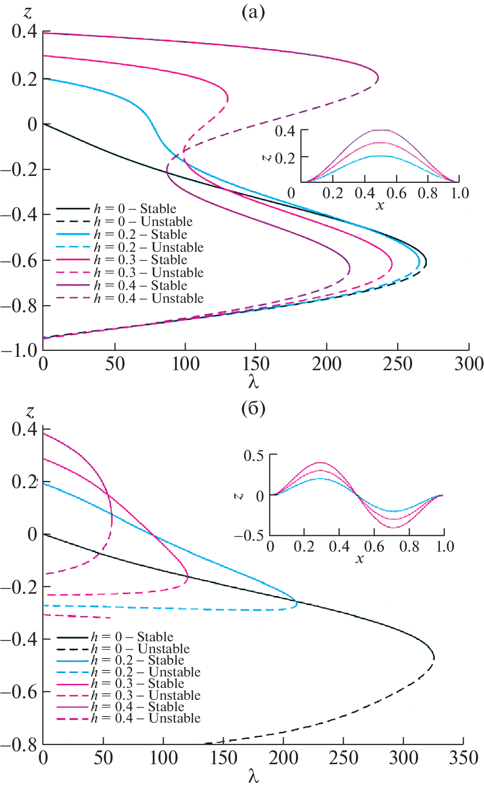
На основе геометрически нелинейной модели балки Бернулли–Эйлера исследовано влияние амплитуды и формы начальной погиби на характер и устойчивость положений статического равновесия системы в условиях электростатических и тепловых воздействий. С помощью численных методов теории бифуркаций выполнен полный параметрический анализ диаграмм эволюции положений равновесия для балок с начальной погибью по симметричной и несимметричной нижним формам свободных колебаний. Определены области в пространстве параметров величин осевой силы механической или температурной природы и напряженности электростатического поля, в которых упругая система обладает свойством бистабильности. Отмечена перспектива использования рассмотренного класса конструкций с проектируемыми возмущениями геометрии в качестве чувствительных элементов высокоточных микроэлектромеханических сенсоров различных физических величин.
Ключевые слова
Об авторах
Н. Ф. Морозов
Санкт-Петербургский государственный университет; Институт проблем машиноведенияРоссийской академии наук
Автор, ответственный за переписку.
Email: n.morozov@spbu.ru
Россия, Санкт-Петербург; Россия, Санкт-Петербург
Д. А. Индейцев
Институт проблем машиноведенияРоссийской академии наук; Санкт-Петербургский политехнический университет
Email: lukin_av@spbstu.ru
Россия, Санкт-Петербург; Россия, Санкт-Петербург
Н. В. Можгова
Санкт-Петербургский политехнический университет
Email: lukin_av@spbstu.ru
Россия, Санкт-Петербург
А. В. Лукин
Санкт-Петербургский политехнический университет
Автор, ответственный за переписку.
Email: lukin_av@spbstu.ru
Россия, Санкт-Петербург
И. А. Попов
Санкт-Петербургский политехнический университет
Email: lukin_av@spbstu.ru
Россия, Санкт-Петербург
Список литературы
- Amal Hajjaj et al. Linear and nonlinear dynamics of micro and nano-resonators: Review of recent advances // Intern. J. of Non-Linear Mechanics. 2019. Oct. 119.
- Пановко Я.Г., Губанова И.И. Устойчивость и колебания упругих систем. URSS, 2006.
- Giuseppe Rega, Walter Lacarbonara, Ali Nayfeh. Reduction Methods for Nonlinear Vibrations of Spatially Continuous Systems with Initial Curvature. Jan. 2000. P. 235–246.
- Cao D.Q., Liu Dongsheng, Wang Charles. Nonlinear dynamic modelling for MEMS components via the Cosserat rod element approach // J. of Micromechanics and Microengineering. 2005. June. 15. P. 1334.
- Walter Lacarbonara, Hiroshi Yabuno. Refined models of elastic beams undergoing large in-plane motions: Theory and experiment // Intern. J.of Solids and Structures. 2005. Oct. 43.
- Narakorn Srinil, Giuseppe Rega, Somchai Chucheepsakul. Two-to-one resonant multi-modal dynamics of horizontal / inclined cables. Pt I. Theoretical formulation and model validation // Nonlinear Dynamics. 2007. May. 48. P. 231–252.
- Cao D.Q., Tucker Robin. Nonlinear dynamics of elastic rods using the Cosserat theory: Modelling and simulation // International Journal of Solids and Structures. 2008. Jan. 45. P. 460–477.
- Luo A.C.J. On a nonlinear theory of thin rods // Communications in Nonlinear Science and Numerical Simulation. 2010. Feb. 15.
- Nicholas Vlajic et al. Geometrically exact planar beams with initial pre-stress and large curvature: Static configurations, natural frequencies, and mode shapes // Intern. J. of Solids and Structures. 2014. Oct. 51. P. 3361–3371.
- Yang Zhou, Zhuangpeng Yi, Ilinca Stanciulescu. Nonlinear Buckling and Postbuckling of Shallow Arches With Vertical Elastic Supports // J. of Applied Mechanics. 2019. Feb. 86. P. 1.
- Samir Emam, Walter Lacarbonara. Buckling and postbuckling of extensible, shear-deformable beams: Some exact solutions and new insights // Intern. J. of Non-Linear Mechanics. 2021. Jan. 129. P. 103667.
- Medina Lior, Gilat Rivka, Krylov Slava. Symmetry breaking in an initially curved micro beam loaded by a distributed electrostatic force // Intern. J. of Solids and Structures. 2012. June. 49. P. 1864–1876.
- Medina Lior, Gilat Rivka, Krylov Slava. Symmetry breaking in an initially curved pre-stressed micro beam loaded by a distributed electrostatic force // Intern. J. of Solids and Structures. 2014. Feb. 51. P. 2047.
- Milad Shojaeian, Yaghoub Tadi Beni, Hossein Ataei. Size-dependent snap-through and pull-in instabilities of initially curved pre-stressed electrostatic nano-bridges // J. of Physics D. Applied Physics. 2016. June. 49.
- Medina Lior, Seshia Ashwin. Bistability and simultaneous mode actuation in electrostatically actuated initially curved coupled micro beams // Intern. J. of Non-Linear Mechanics. 2020. July. 126. P. 103549.
- Medina Lior et al. Single Electrode Bidirectional Switching of Latchable Prestressed Bistable Micromechanical Beams // IEEE Sensors Journal. 2021. Aug. PP. P. 1–1.
- Walter Lacarbonara, Haider Arafat, Ali Nayfeh. Non-linear interactions in imperfect beams at veering // Intern. J. of Non-Linear Mechanics. 2005. Sept. 40. P. 987–1003.
- Amal Hajjaj, Nouha Alcheikh, Mohammad Younis. The static and dynamic behavior of MEMS arch resonators near veering and the impact of initial shapes // Intern. J. of Non-Linear Mechanics. 2017. July. 95.
- Mergen Ghayesh, Hamed Farokhi. Bistable nonlinear response of MEMS resonators // Nonlinear Dynamics. 2017. Nov. 90.
- Amal Hajjaj et al. Theoretical and experimental investigations of the crossover phenomenon in micromachined arch resonator. Pt I. Linear problem // Nonlinear Dynamics/ 2020. Jan.
- Amal Hajjaj et al. Theoretical and experimental investigations of the crossover phenomenon in micromachined arch resonator. Pt II. Simultaneous 1:1 and 2:1 internal resonances // Nonlinear Dynamics. 2020. Jan. 99.
- Medina Lior et al. Open Loop, Self-Excitation in a Bistable Micromechanical Beam Actuated By a DC Electrostatic Load. 2017. Jan.
- Medina Lior, Gilat Rivka, Krylov Slava. Bistable behavior of electrostatically actuated initially curved micro plate // Sensors and Actuators A: Physical. 2016. July. 248.
- Shahid Saghir, Mohammad Younis. An investigation of the mechanical behavior of initially curved microplates under electrostatic actuation // Acta Mechanica. 2018. July. 229.
- Mergen Ghayesh, Hamed Farokhi. Nonlinear behaviour of electrically actuated microplate-based MEMS resonators // Mechanical Systems and Signal Processing. 2018. Sept. 109. P. 220–234.
- Dhooge Annick, Govaerts Willy, Kuznetsov Yu.A. MATCONT: a MATLAB package for numerical bifurcation analysis of ODEs // ACM Transactions on Mathematical Software (TOMS). 2003. 29.2. P. 141–164.
- Лукин А.В., Попов И.А., Скубов Д.Ю. Нелинейная динамика и устойчивость элементов микросистемной техники // Научно-технический вестник информационных технологий, механики и оптики. 2017. № 17 (6). С. 1107–1115.
- Лукин А.В., Морозов Н.Ф., Индейцев Д.А., Попов И.А., Привалова О.В., Штукин Л.В. Устойчивость балки Бернулли–Эйлера в связанных электрических и тепловых полях // ДАН. 2018. Т. 481. № 6. С. 619–624.
- Морозов Н.Ф., Индейцев Д.А., Игумнова В.С., Лукин А.В., Попов И.А., Штукин Л.В. Нелинейная динамика МЭМС-акселерометра с балочными чувствительными элементами, основанного на явлении модальной локализации // Вестник СПбГУ. Математика. Механика. Астрономия. 2021. № 8.2. С. 233–246.
- Морозов Н.Ф., Индейцев Д.А., Игумнова В.С., Беля-ев Я.В., Лукин А.В., Попов И.А., Штукин Л.В. Модель микромеханического акселерометра, основанного на явлении модальной локализации // Доклады РАН. Физика, технические науки. 2020. Т. 494. № 1. С. 51–56.
Дополнительные файлы







