Ag-Bearing Tetrahedrite-(Cd), (Cu,Ag)6(Cu4Cd2)Sb4S13, from Galenite-Fluorite Deposit Kon-Dara (South-Western Pamir) – First Discovery in Tajikistan
- Authors: Lyubimtseva N.G.1, Bortnikov N.S.1, Gekimyants V.M.2, Borisovsky S.E.1, Plechov P.Y.2
-
Affiliations:
- Institute of Geology of Ore Deposits, Petrography, Mineralogy, and Geochemistry of the Russian Academy of Sciences
- Fersman Mineralogical Museum of the Russian Academy of Sciences
- Issue: Vol 518, No 2 (2024)
- Pages: 275-292
- Section: MINERALOGY
- Submitted: 24.01.2025
- Accepted: 24.01.2025
- Published: 15.10.2024
- URL: https://ogarev-online.ru/2686-7397/article/view/277841
- DOI: https://doi.org/10.31857/S2686739724100097
- ID: 277841
Cite item
Full Text
Abstract
Tetrahedrite-(Cd), with the ideal formula Cu10Cd2Sb4S13, is a member of the tetrahedrite series of the tetrahedrite group with a predominance of Cd at the C position typically occupied by divalent metals. Cadmium end-members from the tetrahedrite group are rare: they were found in 15 deposits and ore occurrences. The article reports on a new discovery site of Ag-bearing tetrahedrite-(Cd) at the Kon-Dara mineral deposit (Southwestern Pamirs, Tajikistan) and summarizes the known data on rare Cd-bearing fahlores with Cd content from 1 to 12.31 wt. %. Ag-bearing tetrahedrite-(Cd) at the Kon-Dara deposit occurs as xenomorphic segregations 10–35 µm in size in association with tetrahedrite-(Fe), tetrahedrite(Zn), galena, polybasite, and chalcopyrite, which replace bournonite. According to the EPMA data, its composition averaged over seven analyzes (in wt. %) is as follow: Ag 16.17, Cu 25.19, Cd 10.09, Fe 0.38, Zn 0.09, Pb 0.13, Sb 25.55, As 0.18, S 22.34. The empirical formula calculated based on 29 atoms per the unit is (Cu7.40Ag2.80)Σ10.20(Cd1.68Fe0.13Zn0.03Pb0.01)Σ1.84(Sb3.92As0.04)Σ3.96S13.00. The composition of the tetrahedrite-(Cd) from Kon-Dara is similar to those from the Tyndrum Pb-Zn mineralization in Scotland, the Clara baryte-fluorite-(Ag,Cu) mine in Germany, and the Xaitishan Pb-Zn deposit in China. The formation temperature of Ag-bearing tetrahedrite-(Cd) at the Kon-Dara deposit is estimated to has been at about (170-140) ± 20°C.
Full Text
ВВЕДЕНИЕ
Исследование образца фрейбергита из галенит-флюоритового (галенит-плавикового) месторождения Кон-Дара1 (Западный Памир, Таджикистан) из коллекции Минералогического музея имени А.Е. Ферсмана РАН (Москва, Россия) привело к обнаружению тетраэдрита с высоким содержанием кадмия. Его название в соответствии с действующей номенклатурой группы тетраэдрита [1], одобренной Комиссией по новым минералам, номенклатуре и классификации Международной минералогической ассоциации (CNMNC IMA), – тетраэдрит-(Cd) (минеральный символ Ttr-Cd [2]). Авторы имеют отличные от CNMNC IMA взгляды относительно названия “группы минералов тетраэдрита”: считают, что у CNMNC IMA не было необходимости придумывать новое название для этой группы минералов, и настаивают на сохранении исторического названия “блёклая руда”2.
Блёклые руды (минералы группы тетраэдрита) – наиболее распространённые сульфосоли во многих типах гидротермальных рудных месторождений. Эти халькогениды образуют сложный изотипический ряд с общей структурной формулой M(2)A6M(1)(B4C2)X(3)D4S(1)Y12S(2)Z, где A = Cu+, Ag+, Z (вакансия) и кластер (Agfi)4+; B = Cu+ и Ag+; C = Zn2+, Fe2+, Hg2+, Cd2+, Ni2+, Mn2+, Cu2+, Cu+ и Fe3+; D = Sb3+, As3+, Bi3+ и Te4+; Y = S2и Se2-; Z = S2-, Se2и Z [1]. Сложный химический состав минералов группы блёклой руды обусловлен различными гомои гетеровалентными изоморфными замещениями, которые часто используются в качестве индикаторов условий минералообразования.
Кадмий в блёклой руде не редкое явление, однако, чаще его содержание не превышает 0.3–0.6 мас. %, а его экономически значимым концентратором в месторождениях является сфалерит. Благодаря своему халькофильному поведению Cd концентрируется главным образом в сульфидах, в которых обычно изоморфно замещает Zn. Это происходит из-за близости ковалентных радиусов и подобия атомно-ионной структуры Cd и Zn. Поэтому эти два элемента демонстрируют схожее геохимическое поведение.
Блёклые руды, содержащие высокие концентрации Cd (химические составы с преобладанием Cd в позиции С) описывались ранее. Согласно нынешней номенклатуре группы тетраэдрита [1], одобренной CNMNC IMA, это тетраэдрит-(Cd) [3–9], теннантит-(Cd) [10–12], аргентотетраэдрит-(Cd) [3, 13–16] и хакит-(Cd) [17]. Синтетические аналоги тетраэдрита с преобладанием Cd были изучены Патриком и Холлом [18]. Кроме того, в литературе встречаются блёклые руды, в которых кадмий не играет видообразующей роли, но содержится в значительных концентрациях (от 1 до 3–5 мас. %) (например, [19, 20], [21, приложение 5]; ссылки выше и др.).
Имеющихся данных по Cd-содержащим минералам группы блёклой руды недостаточно, чтобы установить предел вхождения Cd в структуру тетраэдрита, но на основании сходства Cd с Zn и Hg предполагается, что предел вхождения Cd в структуру тетраэдрита составляет два атома на единицу формулы ([22], приложение 5).
Цель статьи – описание первой находки редкого минерала Ag-содержащего тетраэдрита-(Cd) на территории Таджикистана и его необычных тесных срастаний с другими крайними членами серии тетраэдрита: тетраэдрита-(Fe) и тетраэдрита-(Zn), предполагающих уникальные условия их образования.
КРАТКОЕ ОПИСАНИЕ МЕСТОРОЖДЕНИЯ
Ag-содержащий тетраэдрит-(Cd) обнаружен в образце из галенит-флюоритового месторождения Кон-Дара (Таджикистан), находящегося на южном склоне Гиссарского хребта в 28 км к северу от г. Душанбе, вблизи автодороги, соединяющей г. Душанбе и г. Худжанд. Оно находится близ Варзобской горно-ботанической станции “Кондара”, которая была основана в 30-х годах прошлого века советскими учёными и функционирует и по сей день.
Гиссарский хребет является частью складчатой области Тянь-Шаня, в строении которой принимают толщи, различные по возрасту, степени дислоцированности и составу. Рудные жилы месторождения залегают в гранитах Южно-Варзобского интрузива. Известно, что по минеральному составу рудных тел и условиям их образования месторождение Кон-Дара схоже с более крупным месторождением Такоб3 ([23], приложение 5), с которым находится на расстоянии примерно 8 км.
ОБРАЗЕЦ И МЕТОДЫ
Характеристика образца
Образец хранится в коллекции Минералогического музея имени А.Е. Ферсмана РАН как фрейбергит из месторождения Кон-Дара (Таджикистан) под номером FMM_1_74896. Он поступил в музей в 1973 году от Г.С. Аверьянова, который работал в должности главного геолога Памирской геологоразведочной экспедиции с 1969 по 1992 гг.
Образец представляет собой агрегат равномернозернистого средне-крупнокристаллического (0.2–0.5 см) белого кварца и крупных (до нескольких см в поперечнике) выделений гигантокристаллического сидерита (размер отдельных индивидов достигает 1 см и более) (рис. 1). Сфалерит в виде отдельных зёрен (не более 1 мм) или их гнезд (от 2–3 до 10 мм) образует обильную равномерную вкрапленность в кварце. Бурнонит, содержащий тетраэдрит в тесных срастаниях с полибазитом, галенитом, и халькопиритом, слагает отдельные вытянутые гнёзда размером от 1 до 3 см.
Рис. 1. Образец FMM_1_74896 из месторождения Кон-Дара (Юго-Западный Памир, Таджикистан) с Ag-содержащим тетраэдритом-(Cd). Коллекция Минералогического музея им. А.Е. Ферсмана РАН (Москва, Россия). Обозначения минералов в соответствии с [2]: Bnn — бурнонит, Sp — сфалерит, Qz — кварц, Sid – сидерит
Исследование музейного образца “фрейбергита” было предпринято с целью усовершенствования существующих представлений о кристаллохимических особенностях фрейбергитовой серии блёклых руд. Из образца была выделена монофракция блёклой руды, состоящая из нескольких зёрен, которые были запрессованы в шашку для дальнейшего изучения под оптическим и электроно-сканирующим микроскопами и с помощью РСМА. В одном из этих зёрен (из монофракции FMM_FN1086 из образца FMM_1_74896) был диагностирован Ag-содержащий тетраэдрит-(Cd).
Методы исследования
Оптическая и электроно-сканирующая микроскопия. Исследование и фотографии минералов в отражённом свете выполнены на микроскопе Olympus BX-53, оснащённым цифровой камерой, с программным обеспечением SIAMS в лаборатории геоинформатики ИГЕМ РАН. Изучение минералов в обратно-рассеянных электронах и качественная диагностика минералов проведено в лаборатории кристаллохимии минералов ИГЕМ РАН (аналитик Л.А. Иванова) с помощью электронного микроскопа “JSM-IT500” (Япония) при ускоряющем напряжении в 20 кВ и рабочем расстоянии до образца 10 мм. Использовались следующие характеристические линии: Kα для S, Fe, Cu, Zn, As; Lα для Ag, Cd, Sb; Mα для Pb. Карты распределения элементов по блёклой руде и сфалериту накапливались в течение 1 часа для каждого минерала. Результаты съёмки обработаны при помощи программы Smile View Lab версии V1.4.9 японской фирмы JEOL Ltd.
Рентгеноспектральный микроанализ (РСМА) выполнен с использованием электронно-зондового микроанализатора “JEOL” JXA-8200 в лаборатории анализа минерального вещества (Центр Коллективного пользования “ИГЕМ-аналитика”). Микроанализатор оборудован пятью волновыми спектрометрами. Анализы проводились при ускоряющем напряжении 20 кВ, токе зонда на цилиндре Фарадея 20 нА и диаметре зонда 1 мкм; анализ полибазита ‒ при токе зонда 10 нА и расширенном диаметре зонда 10 мкм. Время экспозиции при анализе главных элементов составляло 10 с, для элементов-примесей – 20 с. Использовались следующие аналитические линии: Lα для Sb, Se, Ag, As и Te; Kα для Zn, S, Cu и Fe; Mα для Hg, Bi и Pb; Lβ для Cd. Использовались кристаллы-анализаторы TAP (для As и Se), LIF (для Fe, Cu и Zn) и PET (для Sb, S, Ag, Te, Cd, Hg, Pb и Bi). Стандартами служили AgSbS2 для Sb, Ag и S, CdSe для Se, CdS для Cd, ZnS для Zn, GaAs для As, HgS для Hg, CuFeS2 для Fe, PbS для Pb и сплавы химически чистых элементов для Cu, Bi и Te. Точность измерений ± 2% для главных элементов и ± 3–5% для элементов-примесей. Дискриминатор импульсов использовался в режиме dif mode для S, As, Se, Sb, Ag, Te, Hg, Pb и Bi и в режиме int для Fe, Cu, Zn и Cd. Расчёт поправок осуществлялся по методу ZAF с использованием программы фирмы “JEOL”.
РЕЗУЛЬТАТЫ
Минеральная ассоциация и особенности срастаний
Ag-содержащий тетраэдрит-(Cd) обнаружен в тонких прожилках, мощностью 0.1‒0.3 мм, рассекающих агрегаты бурнонита-I, который находится в ассоциации со сфалеритом, галенитом-I и пиритом (рис. 2, 3). Прожилки сложены мелкозернистыми агрегатами тесно срастающихся друг с другом Ag-содержащими блёклыми рудами (тетраэдритом-(Cd), тетраэдритом-(Fe) и тетраэдритом-(Zn)), галенитом-II, халькопиритом, бурнонитом-II и полибазитом. Эти минералы образуют парагенетическую минеральную ассоциацию, отложившуюся близко по времени, в результате замещения бурнонита-I.
Рис. 2. Срастания минералов в аншлифе из образца FMM_1_74896 (Кон-Дара, Таджикистан). (а, б) Срастание бурнонита-I (Bnn), галенита-I (Gn), сфалерита (Sp) и пирита (Py). Бурнонит-I сечётся полиминеральными прожилками; (в) Сфалерит содержит сеть прожилков (систему трещин), заполненных пиритом, галенитом-II и халькопиритом. Пирит слагает прожилки мощностью 20–60 мкм. Галенит-II развивается по прожилкам мощностью 10–50 мкм в сфалерите и внутри прожилков пирита, частично замещая его. Халькопирит выполняет прожилки мощностью менее 5 мкм, которые секут сфалерит и прожилки пирита; (г) Бурнонит-I содержит галенит-халькопиритовые (10–20 мкм) и мономинеральные тетраэдритовые (5–10 мкм) прожилки, в раздувах которых тесные ксеноморфные срастания галенита-II, халькопирита и тетраэдрита (Ttr); (д, е) Участок полиминерального прожилка с раздувом мощностью 300 мкм в бурноните-I и его увеличенный фрагмент. Тесные срастания галенита-II, халькопирита, тетраэдрита и бурнонита-II. Фотографии в отражённом свете
Рис. 3. Зерно из монофракции FMM_FN1086 (образец FMM_1_74896, Кон-Дара, Таджикистан), в котором был обнаружен Ag-содержащий тетраэдрит-(Cd). (а) Бурнонит-I (Bnn) замещается агрегатом, сложенным галенитом-II (Gn), халькопиритом (Ccp), тетраэдритом (Ttr), полибазитом (Plb) и бурнонитом-II. Фрагмент прожилка, подобного тем, которые представлены на рис. 2. Изображение в отражённом свете; (б) То же в скрещенных николях. В бурноните-I проявлено полисинтетическое двойникование; (в) То же в обратно-рассеянных электронах (BSE). Центральная часть прожилка сложена галенитом и приуроченным к нему халькопиритом. Тетраэдрит выполняет интерстиции между зёрнами галенита и халькопирита, тяготея к периферийной части прожилка. Полибазит развит вдоль контакта тетраэдрита (и/или галенита-II) и бурнонита-I
Блёклые руды (Ag-содержащие тетраэдриты) обнаружены в прожилках в бурноните-I, в которых встречены в тесных срастаниях с галенитом-II, халькопиритом, полибазитом и бурнонитом-II. Они выполняют интерстиции между зернами галенита и халькопирита, тяготея к периферийной части прожилков, к контакту с бурнонитом-I. К выделениям тетраэдритов приурочены агрегаты полибазита, совместно с которым они замещают и корродируют галенит (рис. 2г–е). Замещая галенит, тетраэдрит наследует включения бурнонита, содержащиеся в галените (рис. 4в).
Рис. 4. Увеличенные фрагменты зерна, представленного на рис. 3, с Ag-содержащим тетраэдритом-(Cd). (а) Увеличенный фрагмент зерна с рис. 3а. Тесные срастания тетраэдрита, галенита-II, халькопирита и полибазита внутри агрегата бурнонита-I. Халькопирит имеет дендритоподобные выделения, которые внедряются и секут галенит-II, а также врастают в тетраэдрит. (б-г) Укрупнённые фрагменты рис. 3в и 4а: (б) Полибазит образует тесные срастания с тетраэдритом и галенитом-I на контакте с бурнонитом-II. (в‒г) Тесные срастания тетраэдрита, сложенного тремя крайними Fe-, Znи Cd-членами тетраэдритового твёрдого раствора, галенита-II, полибазита, бурнонита-II и халькопирита внутри агрегата бурнонита-I. Тетраэдрит-(Cd) образует тесные срастания с полибазитом и располагается ближе всех из трёх тетраэдритов к контакту бурнонита-I. Вдоль границы тетраэдрита-(Cd) и бурнонита-I характерно наличие пор и отсутствие непосредственного контакта этих двух минералов. Тетраэдрит-(Fe) тяготеет к контакту с халькопиритом. Тетраэдрит-(Zn) занимает промежуточное между тетраэдритом-(Cd) и тетраэдритом-(Fe) положение. Бурнонит-II присутствует в галените, тетраэдрите и полибазите в виде вытянутых включений
Ag-содержащий тетраэдрит-(Cd) образует ксеноморфные зёрна размером 10‒35 мкм, приуроченные к выделениям тетраэдрита-(Fe) и тетраэдрита-(Zn). Малые размеры зёрен и тесные взаимопрорастания с другими минералами, в том числе и с блёклыми рудами не позволили провести рентгеновские исследования. Под микроскопом минерал изотропный. Его цвет тёмно-серый без оттенков, очень схож и не отличим от цвета тетраэдрита-(Fe) и тетраэдрита-(Zn) (рис. 4а). Отражение тетраэдрита-(Cd) ниже, чем у галенита и бурнонита. Следовательно, оптические свойства этого минерала идентичны таковым для минералов из группы блёклых руд. На изображениях в обратно-рассеянных электронах (BSE) тетраэдрит-(Cd) серого цвета, который несколько светлее более тёмных тетраэдрита-(Fe) и тетраэдрита-(Zn) (рис. 4б–г). Выделения тетраэдрита-(Cd) совместно с тетраэдритом-(Fe) и тетраэдритом-(Zn) и полибазитом образуют тесные срастания. Тетраэдрит-(Cd) имеет нечёткую размытую границу с тетраэдритом-(Fe) и тетраэдритом-(Zn) и чуть более чёткую границу с полибазитом. Тетраэдрит-(Cd), располагается ближе всех из трёх тетраэдритов к выделениям бурнонита-I, но не имеет непосредственного контакта с ним. Вдоль границы тетраэдрита-(Cd) и бурнонита-I присутствуют поры и полости (рис. 4).
Бурнонит встречен в виде крупнозернистых агрегатов в ассоциации со сфалеритом, ранним крупнозернистым галенитом-I и пиритом (генерация I) (рис. 2) и в виде включений внутри полиминеральных прожилков, секущих ранний бурнонит-I (генерация II) (рис. 4в). Бурнонит-I сечётся различными по минеральному составу прожилками, среди которых галенит-халькопиритовые, мономинеральные тетраэдритовые и полиминеральными с бурнонит-халькопирит-тетраэдрит-полибазит-галенитовыми срастаниями. На изображениях в скрещенных николях бурнонит-I проявляет блочное строение и полисинтетическое двойникование (рис. 3б). Бурнонит-II присутствует в виде включений различной формы в галените, тетраэдрите, халькопирите и полибазите (рис. 2е, 4в–г). Вероятно, присутствуют 2 типа включений бурнонита-II: одни представляют собой реликты бурнонита-I (они в большем количестве приурочены к выделениям тетраэдрита, имеют трещины и поры), другие являются новообразованным бурнонитом-II (они преимущественно развиты в галените и халькопирите, имеют изометричные и вытянутые формы, чистую без пор поверхность и ровную границу с минералом-хозяином.
Сфалерит слагает крупнозернистые агрегаты с системой трещин, прожилки в которой частично заполнены пиритом, халькопиритом и галенитом (рис. 2а, в), и раздробленные мелкозернистые (размер зёрен ≤50 мкм) агрегаты, цементированные пиритом, халькопиритом и галенитом (рис. 2б).
Пирит слагает раздробленные агрегаты, мелкозернистые мозаичные срастания со сфалеритом и прожилки внутри сфалерита мощностью 20–60 мкм (рис. 2а–в). Крупные зёрна пирита секутся прожилками халькопирита, агрегаты из мелких зёрен пирита в срастании со сфалеритом цементируются халькопиритом.
Галенит, вероятно, присутствуют в виде двух генераций. Галенит-I отлагался в ассоциации со сфалеритом, бурнонитом-I и пиритом (рис. 2а, б). Галенит-II встречен внутри прожилков, замещающих сфалерит и бурнонит-I (рис. 2в, г). В сфалерите галенит-II слагает прожилки мощностью 10–50 мкм и частично внутри пиритовых прожилков замещает пирит (рис. 2в). В прожилках, развитых по бурнониту-I, галенит-II представлен ксеноморфными и угловатыми разобщёнными зёрнами, которые сцементированы тетраэдритом и халькопиритом (рис. 2д, е). Галенит-II содержит изометричные и вытянутые включения новообразованного бурнонита-II (рис. 4в, г).
Халькопирит встречен в виде тонких прожилков мощностью менее 5 мкм секущих сфалерит (рис. 2в), прожилков, замещающих и цементирующих пирит (рис. 2б) и полиминеральных прожилков, секущих бурнонит-I (рис. 2г–е). Внутри последних халькопирит образует дендритоподобные ветвистые с фестончатыми краями выделения, которые внедряются и секут галенит, а также “врастают” в тетраэдрит. Выделения халькопирита всегда приурочены к агрегатам галенита (рис. 2, 4а). К контакту с халькопиритом приурочены выделения тетраэдрита-(Fe) (рис. 4г). На картинах BSE халькопирит имеет неоднородное мозаичное строение.
Полибазит развит вдоль контакта тетраэдрита (или галенита) и бурнонита-I, в виде реакционной каймы, поскольку почти нет участков, в которых тетраэдрит (а также галенит) контактировал бы непосредственно с бурнонитом-I, везде между ними располагаются полибазит или поры (рис. 3, 4б–г). Полибазит тесно срастается с тетраэдритом и галенитом-I на контакте с бурнонитом-I (рис. 4б–г). Полибазит содержит включения галенита и бурнонита-II.
Исходя из описанных взаимоотношений, следует, что минералы, слагающие прожилки в бурноните-I (галенит-II, халькопирит, Ag-содержащие тетраэдриты, полибазит и бурнонит-II), отложились позднее в результате его замещения. Занимаемое одинаковое положение в пространстве (прожилки) и тесные срастания галенита-II, халькопирита, Ag-содержащих тетраэдритов, полибазита и бурнонита-II указывают на одну парагенетическую ассоциацию, минералы в которой отлагались близко по времени. Вновь образованные минералы содержат металлы бурнонита: Cu, Pb, Sb и S, а также металлы, не характерные для бурнонита: Ag, Cd, Fe и Zn. Прожилки, секущие бурнонит-I и сфалерит отличаются. В прожилках, секущих сфалерит, отсутствует тетраэдрит и полибазит, и присутствует пирит. Всё это свидетельствует о преобразовании ранних минералов (перераспределении химических элементов) благодаря ретроградным реакциям в результате поступления позднего флюида и определённых РТ-условий, из-за которых ранние минералы (сфалерит, пирит, бурнонит-I и галенит-I) стали неустойчивы и замещались поздней минеральной ассоциацией.
Расчёт химической формулы минералов группы блёклой руды
Существуют разные подходы к пересчёту химической формулы блёклой руды (M(2)A6M(1) (B4C2)X(3)D4S(1)Y12S(2)Z): на 29 атомов в формуле (1), на Σ(Me + Me2+ + ПМе) = 16 атомов (2), на ΣПMe(As+Sb+Tg+Bi) = 4 атомов (3), на 13 атомов серы (4). Последний подход расчёта формулы, на наш взгляд, изжил себя, поскольку было доказано наличие вакансий серы в позиции S(2). Третий основан на незначительных изменениях идеального числа катионов, находящихся в позиции X(3), отмеченных при наблюдениях Джонсоном с соавторами ([22], приложение 5). Первый подход наиболее универсальный, но может “замаскировать” дефицит серы в позиции S(2), особенно при расчёте химической формулы обогащённых серебром минеральных видов из группы тетраэдрита (например, [24], приложение 5]); и/или дефицит серебра в позиции М(2). Поэтому чаще всего при расчете формул Ag-содержащих блёклых руд, чтобы не пропустить наличие вакансий в позиции S(2) используют второй подход, предполагая отсутствие вакансий в позициях M(2), M(1) и X(3).
Результаты нашего исследования и обзора литературы по Cd-содержащим блёклым рудам показывают, что содержания Ag в них не настолько велико, чтобы в позиции S(2) появлялись значимые содержания вакансий серы (приложение 3). По данным ([24], приложение 5] появление вакансий серы (0.5 ф.к. □ S) начинается при содержаниях серебра к 4.5 ф.к. и выше, а концентрации серебра в известных кадмиевых минералах группы блёклых руд в единичных случаях достигает 6.7 ф.к. и 5.6‒5.1, а в основном меньше 4 ф.к. (см. приложения 3 и 4), что исключает наличие вакансий. Поэтому для блёклой руды из месторождения Кон-Дара был выбран способ пересчёта химической формулы на основе 29 атомов в формуле.
Химический состав
В изученном образце по данным РСМА и согласно номенклатуре группы тетраэдрита [1] обнаружено три практически крайних члена тетраэдритовой серии блёклорудного твёрдого раствора: тетраэдрит-(Cd), тетраэдрит-(Fe) и тетраэдрит-(Zn). Составы тетраэдритов и ассоциирующих с ними минералов приведены в таблицах 1 и 2.
Таблица 1. Результаты РСМА блёклой руды и ассоциирующих с ней минералов в образце FMM_1_74896 из месторождения Кон-Дара
№ п/п | Минерал | Содержание, мас. % | Сумма | ||||||||
Ag | Cu | Zn | Fe | Pb | Cd | Sb | As | S | |||
1 | Ttr-Cd | 16.28 | 25.10 | – | 0.15 | 0.15 | 10.43 | 25.44 | 0.21 | 22.25 | 100.06 |
2 | Ttr-Cd | 16.18 | 25.21 | 0.16 | 0.49 | 0.20 | 10.36 | 25.81 | 0.12 | 22.34 | 100.88 |
3 | Ttr-Cd | 16.66 | 25.02 | 0.09 | 0.44 | 0.12 | 10.13 | 25.59 | 0.15 | 22.37 | 100.56 |
4 | Ttr-Cd | 16.38 | 25.20 | 0.13 | 0.28 | 0.17 | 10.01 | 25.28 | 0.19 | 22.35 | 99.99 |
5 | Ttr-Cd | 15.59 | 25.37 | 0.06 | 0.36 | 0.17 | 10.00 | 25.50 | 0.18 | 22.37 | 99.60 |
6 | Ttr-Cd | 15.83 | 25.37 | 0.12 | 0.53 | – | 9.93 | 25.51 | 0.22 | 22.36 | 99.85 |
7 | Ttr-Cd | 16.29 | 25.03 | 0.07 | 0.39 | 0.12 | 9.81 | 25.74 | 0.16 | 22.33 | 100.01 |
8 | Ttr-Zn | 15.99 | 27.19 | 5.54 | 0.47 | 0.15 | 1.43 | 26.61 | 0.15 | 23.25 | 100.78 |
9 | Ttr-Zn | 15.54 | 27.38 | 5.51 | 0.39 | 0.10 | 1.40 | 26.76 | 0.09 | 23.39 | 100.56 |
10 | Ttr-Zn | 15.44 | 27.65 | 3.20 | 2.18 | 0.13 | 0.68 | 26.62 | 0.19 | 23.66 | 99.74 |
11 | Ttr-Zn | 15.19 | 27.74 | 5.72 | 0.60 | 0.05 | 0.62 | 26.75 | 0.13 | 23.64 | 100.51 |
12 | Ttr-Fe | 16.00 | 28.36 | 1.02 | 3.58 | 0.09 | 1.12 | 26.66 | 0.25 | 23.71 | 100.76 |
13 | Ttr-Fe | 15.56 | 29.20 | 0.21 | 4.07 | 0.10 | 0.72 | 27.04 | 0.29 | 23.75 | 101.00 |
14 | Ttr-Fe | 15.47 | 28.73 | 1.24 | 4.10 | 0.10 | – | 26.91 | 0.24 | 23.85 | 100.68 |
15 | Ttr-Fe | 17.12 | 26.90 | 0.08 | 5.83 | 0.13 | – | 26.74 | 0.18 | 23.65 | 100.63 |
16 | Ccp (n = 3) | – | 34.15 | 0.02 | 28.79 | – | – | 1.38 | 0.05 | 34.97 | 99.34 |
17 | Ccp (n = 2) | – | 34.19 | 0.02 | 29.28 | – | – | 0.65 | – | 35.22 | 99.36 |
18 | Ccp (n = 3) | – | 34.38 | 0.03 | 30.06 | – | – | 0.34 | – | 35.36 | 100.17 |
19 | Ccp | – | 34.22 | 0.05 | 29.86 | – | – | 0.09 | – | 35.60 | 99.82 |
20 | Bnn (n = 2) | – | 13.21 | 0.05 | – | 41.79 | – | 23.82 | 0.28 | 20.14 | 99.37 |
21 | Gn (n = 3) | 0.04 | 0.11 | – | 0.11 | 85.27 | – | 0.12 | – | 13.52 | 99.22 |
22 | Plb | 61.68 | 7.67 | – | – | 0.10 | – | 10.62 | – | 15.51 | 95.74 |
23 | Plb | 58.41 | 8.31 | 0.06 | 0.04 | 0.24 | – | 11.17 | – | 16.12 | 94.44 |
24 | Plb | 58.38 | 7.87 | – | – | 0.09 | – | 10.38 | – | 15.15 | 92.14 |
25 | Plb | 57.65 | 8.33 | – | 0.04 | 0.07 | – | 10.55 | – | 15.38 | 92.42 |
26 | Plb | 57.56 | 8.26 | – | – | 0.07 | – | 11.15 | – | 15.94 | 93.19 |
27 | Sp (n = 5) | – | 0.18 | 65.16 | 1.20 | – | 0.32 |
|
| 32.58 | 99.51 |
28 | Sp | – | – | 66.12 | 0.13 | – | 0.27 |
|
| 33.12 | 99.75 |
Примечание. Содержание (в мас. %) Hg 0.06 (ан. 13), Bi 0.05 (ан. 1), 0.06 (ан. 7, 25), 0.07 (ан. 11), 0.13 (ан. 24) и 0.08 (ан. 26), Se 0.05 (ан. 14), Te 0.05 (ан. 21), 0.16 (ан. 22), 0.09 (ан. 23), 0.14 (ан. 24, 26) и 0.23 (ан. 26), In 0.06 (ан. 27) и 0.11 (ан. 28). n – количество усреднённых анализов, “–” ниже предела обнаружения 2σ. Пределы обнаружения по 2σ (мас. %): Ag 0.04, Cu 0.05, Hg 0.06, Zn 0.06, Fe 0.04, Pb 0.05, Cd 0.09, Sb 0.06, As 0.07, Bi 0.05, S 0.01, Se 0.05 и Te 0.04. Анализы тетраэдрита 2, 8, 9 относятся к области рис. 4б, ан. 1, 4, 5, 7, 11–14 – рис. 4в, ан. 3, 6, 10, 15 – рис. 4г.
Таблица 2. Формулы блёклой руды и ассоциирующих с ней минералов в образце FMM_1_74896 из месторождения Кон-Дара
№ п/п | Минерал | Формула | Sb/ | Zn/ | Ag/ |
1 | Ttr-Cd | (Cu7.40Ag2.83)Σ10.23(Cd1.74Fe0.05)Σ1.80(Sb3.91As0.05)Σ3.97S13.00 | 0.99 | 0.00 | 0.28 |
2 | Ttr-Cd | (Cu7.37Ag2.79)Σ10.15(Cd1.71Fe0.16Zn0.05)Σ1.94(Sb3.94As0.03)Σ3.97S12.94 | 0.99 | 0.02 | 0.27 |
3 | Ttr-Cd | (Cu7.33Ag2.88)Σ10.20(Cd1.68Fe0.15Zn0.03)Σ1.86(Sb3.91As0.04)Σ3.95S12.99 | 0.99 | 0.01 | 0.28 |
4 | Ttr-Cd | (Cu7.41Ag2.84)Σ10.25(Cd1.66Fe0.09Zn0.04)Σ1.81(Sb3.88As0.05)Σ3.93S13.02 | 0.99 | 0.02 | 0.28 |
5 | Ttr-Cd | (Cu7.47Ag2.70)Σ10.17(Cd1.66Fe0.12Zn0.02)Σ1.82(Sb3.92As0.05)Σ3.97S13.05 | 0.99 | 0.01 | 0.27 |
6 | Ttr-Cd | (Cu7.44Ag2.74)Σ10.18(Cd1.65Fe0.18Zn0.04)Σ1.86(Sb3.91As0.05)Σ3.96S13.00 | 0.99 | 0.02 | 0.27 |
7 | Ttr-Cd | (Cu7.36Ag2.82)Σ10.19(Cd1.63Fe0.13Zn0.02)Σ1.79(Sb3.95As0.04)Σ4.00S13.02 | 0.99 | 0.01 | 0.28 |
8 | Ttr-Zn | (Cu7.62Ag2.64)Σ10.26(Zn1.51Cd0.23Fe0.15)Σ1.90(Sb3.89As0.04)Σ3.93S12.92 | 0.99 | 0.80 | 0.26 |
9 | Ttr-Zn | (Cu7.67Ag2.56)Σ10.23(Zn1.50Cd0.22Fe0.12)Σ1.85(Sb3.91As0.02)Σ3.93S12.98 | 0.99 | 0.81 | 0.25 |
10 | Ttr-Zn | (Cu7.73Ag2.54)Σ10.28(Zn0.87Fe0.69Cd0.11)Σ1.68(Sb3.89As0.04)Σ3.93S13.11 | 0.99 | 0.52 | 0.25 |
11 | Ttr-Zn | (Cu7.72Ag2.49)Σ10.21(Zn1.55Fe0.19Cd0.10)Σ1.84(Sb3.88As0.03)Σ3.92S13.03 | 0.99 | 0.84 | 0.24 |
12 | Ttr-Fe | (Cu7.86Ag2.61)Σ10.47(Fe1.13Zn0.27Cd0.18)Σ1.58(Sb3.86As0.06)Σ3.92S13.03 | 0.99 | 0.17 | 0.25 |
13 | Ttr-Fe | (Cu8.06Ag2.53)Σ10.59(Fe1.28Cd0.11Zn0.06)Σ1.47(Sb3.89As0.07)Σ3.96S12.99 | 0.98 | 0.04 | 0.24 |
14 | Ttr-Fe | (Cu7.91Ag2.51)Σ10.42(Fe1.28Zn0.33)Σ1.62(Sb3.87As0.05)Σ3.92S13.03 | 0.99 | 0.20 | 0.24 |
15 | Ttr-Fe | (Cu7.45Ag2.79)Σ10.24(Fe1.84Zn0.02)Σ1.87(Sb3.86As0.04)Σ3.90S12.98 | 0.99 | 0.01 | 0.27 |
16 | Ccp (n = 3) | Cu1.00(Fe0.96Sb0.02)Σ0.98S2.02 |
|
|
|
17 | Ccp (n = 2) | Cu0.99(Fe0.97Sb0.01)Σ0.98S2.03 |
|
|
|
18 | Ccp (n = 3) | Cu0.99(Fe0.99Sb0.01)Σ1.00S2.02 |
|
|
|
19 | Ccp | Cu0.99(Fe0.98Sb0.02)Σ0.98S2.03 |
|
|
|
20 | Bnn (n = 2) | Cu1.01Pb0.98(Sb0.95As0.02)Σ0.97S3.04 | 0.98 |
|
|
21 | Gn (n = 3) | Pb0.98S1.01 |
|
|
|
22 | Plb | (Ag13.11Cu2.77)Σ15.87Sb2.00S11.09 |
|
|
|
23 | Plb | (Ag12.36Cu2.99)Σ15.35Sb2.09S11.48 |
|
|
|
24 | Plb | (Ag12.81Cu2.93)Σ15.74Sb2.02S11.19 |
|
|
|
25 | Plb | (Ag12.54Cu3.08)Σ15.62Sb2.03S11.26 |
|
|
|
26 | Plb | (Ag12.34Cu3.00)Σ15.34Sb2.12S11.50 |
|
|
|
27 | Sp (n = 5) | (Zn0.98Fe0.02)Σ1.00S1.00 |
|
|
|
28 | Sp | Zn0.99S1.01 |
|
|
|
Примечание. Таблица 2 является приложением к Таблице 1. Номера анализов в табл. 2 соответствуют номерам в табл. 1. Формулы тетраэдрита рассчитаны на 29 атомов. В формулах тетраэдрита не отражены элементы Pb < 0.02 ф.к. и Bi, Se и Te < 0.01 ф.к., чтобы не усложнять их, но они учтены в суммах металлов и полуметаллов. В формуле полибазита содержания (в ф.к.) Te 0.02-0.04, Pb 0.01-0.03, Zn и Fe < 0.02, Bi и Hg < 0.01 также не вставлены в формулу, чтобы не усложнять её.
Ag-содержащий тетраэдрит-(Cd) по данным 7 анализов в трёх разобщённых зёрнах имеет примерно одинаковый химический состав (усреднённые содержания, мас. %): Ag 16.17, Cu 25.19, Cd 10.09, Fe 0.38, Zn 0.09, Pb 0.13, Sb 25.55, As 0.18, S 22.34 (табл. 1, ан. 1–7). Эмпирическая формула имеет вид (Cu7.40Ag2.80) Σ10.20(Cd1.68Fe0.13Zn0.03Pb0.01)Σ1.84(Sb3.92As0.04) Σ3.96S13.00 (табл. 2, ан. 1–7), которая близка к идеальной формуле (Cu,Ag)6(Cu4Cd2)Sb4S13. По содержанию Sb (соотношение Sb/(Sb+As) равно 0.99) является крайним сурьмяным членом тетраэдритовой серии. Концентрации Ag (соотношение Ag/(Ag + Cu) равно 0.28) являются высокими для тетраэдрита, что делает его ближе к аргентотетраэдриту. Содержание Fe немного преобладает над Zn, но из-за их низких концентраций и высоких содержаний Cd соотношение Zn/(Fe + Zn + Cd) низкое 0–0.02. Содержания полуметаллов и серы близки к идеальным стехиометрическим значениям. Концентрации одновалентных металлов выше, а двухвалентных ниже стехиометрических. Однако общая сумма металлов почти соответствует стехиометрическим значениям.
Состав Ag–Cd-содержащего тетраэдрита-(Zn) по данным 4 анализов варьирует в следующих интервалах (в мас. %): Ag 15.19–15.99, Cu 27.19–27.74, Zn 3.20–5.72, Fe 0.39–2.18, Cd 0.62–1.43, Pb 0.05–0.15, Sb 26.61–26.76, As 0.09–0.19, S 23.25–23.66; эмпирическая формула (Cu7.73–7.62Ag2.49–2.64)Σ10.21–10.28(Zn1.55– 0.87Fe0.69–0.12Cd0.23–0.10Pb0.01)Σ1.68–1.90 (Sb3.91– 3.88 As0.02–0.04)Σ3.92–3.92S12.92–13.11 (табл. 1, 2, ан. 8–11) близка к идеальной формуле (Cu, Ag)6(Cu4(Zn, Cd)2)Sb4S13. Минерал является крайним сурьмянистым членом тетраэдритовой серии, соотношение Sb/(Sb+As) равно 0.99. Тетраэдрит-(Zn) имеет высокие концентрации Zn (соотношение Zn/(Fe+Zn+Cd) 0.52–0.84).
Состав Ag–Cd-содержащего тетраэдрита-(Fe) по данным 4 анализов варьирует в следующих интервалах (в мас. %): Ag 15.47–17.12, Cu 26.90–29.20, Zn 0.08–1.24, Fe 4.07–5.83, Cd н.п.о.4–1.12, Pb 0.09–0.13, Sb 26.66–27.04, As 0.18–0.29, S 23.65–23.85; эмпирическая формула (Cu8.06–7.45Ag2.51–2.79)Σ10.24–10.59 (Fe1.84–1.13Zn0.33–0.02Cd0.18–0Pb0.01)Σ1.47–1.87 (Sb3.89–3.86As0.04–0.07)Σ3.90–3.96S12.98–13.03 (табл. 1, 2, ан. 12–15) близка к идеальной формуле (Cu,Ag)6(Cu4(Fe,Cd)2)Sb4S13. Тетраэдрит-(Fe) содержит высокие концентрации Sb и Fe (соотношения Sb/(Sb+As) 0.98–0.99 и Zn/(Fe+Zn+Cd) 0.04–0.20). Содержания Cd в нём ниже, чем в сосуществующих с ним тетраэдрите-(Zn) и тетраэдрите-(Cd).
Все обнаруженные блёклые руды являются крайними сурьмяными членами (относятся к тетраэдритовой серии). Содержание Ag во всех трёх тетраэдритах близко между собой, варьирует в незначительном интервале 13.70–18.60 мас. % (2.27–3.15 ф.к.). Главной особенностью обнаруженных на месторождении Кон-Дара блёклых руд является их различие по содержанию двухвалентных металлов: Cd 10.43–9.81 мас. % (1.74– 1.63 ф.к.) в тетраэдрите-(Cd), Fe 5.83–3.58 мас. % (1.84–1.28 ф.к.) в тетраэдрите-(Fe) и Zn 5.72– 3.20 мас. % (1.55–0.87 ф.к.) в тетраэдрите-(Zn). Во всех тетраэдритах присутствует примесь Pb в концентрациях до 0.14 мас. % (0.01 ф.к.). Обращает на себя внимание, что во всех тетраэдритах отмечается дефицит двухвалентных металлов (Cd+Fe+Zn) и избыток одновалентных металлов (Cu+Ag).
На картинах распределения элементов в характеристических лучах видно, что Cd сосредоточен главным образом в блёклой руде: контуры выделений блёклой руды, а также аномалий по Ag и Sb, совпадают с контурами высоких концентраций Cd (Приложение 1).
Бурнонит по данным двух анализов имеет усреднённый состав (в мас. %): Cu 13.21, Pb 41.79, Sb 23.82, As 0.28, S 20.14 и Zn 0.05, который рассчитывается на формулу, близкую к стехиометрической Cu1.01Pb0.98(Sb0.95As0.02)Σ0.97S3.04 (табл. 1, 2, ан. 20).
Полибазит (по данным 5 анализов) имеет следующие вариации состава (в мас. %): Ag 57.65– 61.68, Cu 7.67–8.33, Sb 10.38–11.17, S 15.15–16.12, Te 0.09–0.23, Pb 0.07–0.24, Bi н.п.о. –0.13, Zn до 0.06 и Fe до 0.04 и рассчитывается на формулу (Ag12.34–13.11Cu3.08–2.77)Σ15.34–15.87Sb2.00– 2.12S11.09–11.50 (табл. 1, 2, ан. 22–26). Трудно объяснить заниженные суммы анализов, полученные с помощью РСМА для полибазита: в процессе анализа интенсивность излучения элементов не менялась, а другие элементы на энерго-дисперсионных спектрах (ЭДС), кроме измеренных, не просматривались.
Усреднённый состав галенита по данным 3 анализов содержит (в мас. %): Pb 85.27, S 13.52, Sb 0.12, Cu 0.11, Fe 0.11, Ag 0.04, Te 0.05 (табл. 1, 2, ан. 21). Обнаруженные при анализе галенита элементы Sb, Cu, Fe, Ag и Te, скорее всего, связаны с присутствием в нем мельчайших включений тетраэдрита, бурнонита и/или полибазита в галените.
При анализе халькопирита в его составе обнаружена примесь Sb (табл. 1, 2, ан. 16–19). Содержание Sb в разных зёрнах халькопирита различается: от максимальных 1.38 мас. % до минимальных 0.09 мас. %. По другим элементам химический состав почти не отличается (средний состав по данным 9 анализов, мас. %): Cu 34.24, Fe 29.44, Sb 0.73, Zn 0.03, S 35.22; формула Cu0.99(Fe0.97Sb0.01)Σ0.98S2.02. Природа появления Sb в составе халькопирита неясна, вероятно, это её присутствие может являться следствием замещения бурнонита халькопиритом.
Сфалерит по данным 6 анализов содержит невысокие концентрации Fe и Cd. Его усреднённый состав (мас. %): Zn 65.32, Fe 1.02, Cd 0.32, Cu 0.15, In 0.07 и S 32.67 (табл. 1–2, ан. 27–28). Низкие концентрации Cd и Fe в сфалерите также подтверждаются картинами распределения элементов в характеристических лучах (приложение 2).
Условия образования Аg-содержащих тетраэдритов из месторождения Кон-Дара
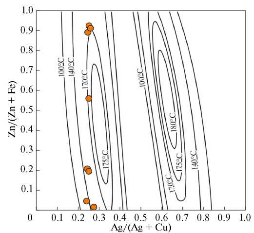
С помощью геотермометра для Аg-содержащих блеклых руд ([25], приложение 5) путём нанесения на график Ag/(Ag+Cu) vs Zn/(Zn+Fe) составов тетраэдрита-(Fe) и тетраэдрита-(Zn) оценены вероятные температуры их отложения (рис. 5). Наиболее высокотемпературным оказался тетраэдрит-(Zn): он мог отложиться при температуре 170 ± 20°С. Затем, при падении температуры до 140 ± 20°С, кристаллизовался тетраэдрит-(Fe). Как было сказано ранее, тесные срастания тетраэдрита-(Fe) и тетраэдрита-(Zn) с тетраэдритом-(Cd), обнаруженные в тончайших прожилках, позволяют предполагать, что тетраэдрит-(Cd) отлагался из того же флюида и при одинаковых условиях, что и тетраэдрит-(Fe) с тетраэдритом-(Zn). Следовательно, кристаллизация тетраэдрита-(Cd) на месторождении Кон-Дара происходила в интервале температур (170-140) ± 20°С.
Рис. 5. Составы тетраэдрита-(Fe) и тетраэдрита-(Zn) (отмечены оранжевыми кружками), сосуществующие с тетраэдритом-(Cd), нанесены на график, заимствованный из [25]. Нарисованы изотермы и области несмесимости блёклой руды (Cu,Ag)10(Fe,Zn)2As4S13 при 100, 140, 170, 180 и 185°C, рассчитанные для ΔḠ*3s = 10 кДж/моль (слева) и ΔḠ*3s = -10 кДж/моль (справа)
Полученные данные являются первой оценкой температуры отложения блёклой руды на этом месторождении. Ранее температуры отложения флюорита, галенита и кальцита были определены методом растрескивания минералов ([23], приложение 5), который в настоящее время не считается достоверным и дискредитирован.
ОБСУЖДЕНИЕ
В результате проведённых исследований редкий минерал из группы блёклых руд – Agсодержащий тетраэдрит-(Cd) впервые обнаружен в рудах месторождения на территории Таджикистана. Ранее описанные блеклые руды из месторождений Таджикистана содержали сотые доли или первые проценты кадмия (например, [20]; [21, 26], приложение 5]).
В серебряных и серебросодержащих месторождениях Таджикистана блёклые руды являются одним из основных рудных минералов, содержание которого в отдельных рудных телах может быть выше концентрации других рудных минералов в целом ([26], приложение 5). По данным обобщения составов блёклых руд из месторождений Северного и Центрального Таджикистана, а также Памира, установлено, что наиболее широким распространением пользуются тетраэдриты, а не теннантиты, при этом за редким исключением все блёклые руды сереброносны ([26], приложение 5). Содержание серебра в блёклых рудах всего региона в целом варьирует от 0.13 (Кансай) до 33.91 (Школьное) мас. % ([26], приложение 5), что согласуется с данными изучения блёклых руд из нескольких месторождений Карамазара (от 0.10 до 35.73 мас. % Ag, [20]). До данного исследования максимально оцененное содержание Cd в блёклой руде на территории Таджикистана было установлено в аргентотетраэдрите-(Zn) из месторождения Школьное, и составляло 2.76 мас. % (по данным [21], приложение 5) и из личного сообщения Н.С. Бортникова).
По своему химическому составу Ag-содержащий тетраэдрит-(Cd) из Кон-Дары близок к таковым из Pb–Zn-минерализации Тиндрума (Tyndrum) в Шотландии [4], барит-флюоритового-(Ag,Cu) месторождения Клара (Clara mine) в Германии [8] и Pb–Zn-месторождения Ксайтишань (Xitieshan) в Китае [5].
Ag-содержащий тетраэдрит-(Cd) образовался на месторождении в результате ретроградных реакций замещения раннего бурнонита вновь образованными минеральными агрегатами. При этом часть металлов: Cu, Pb, Sb и S, содержащихся в бурноните, связываются во вновь образованные минералы, а часть металлов: Ag, Cd, Fe и Zn, привносится поздними растворами, проникающими по тонким трещинкам в бурноните. Следовательно, процесс замещения бурнонита скорее был не изохимическим, хотя баланс вещества не рассчитывался.
Вероятные ретроградные реакции, которые могли иметь место при образовании Agсодержащих блеклых руд на месторождении Кон-Дара:
Ag–Cu-обменная реакция между блёклой рудой и полибазитом:
(1)
(реакция 4 в [27], приложение 5)
и реакция обогащения блеклой руды серебром при охлаждении:
(2)
(реакция 45 в [27], Приложение 5).
Самым интересным в обнаруженной в прожилках бурнонита ассоциации является совместное нахождение трёх минералов из группы блёклых руд, трёх тетраэдритов с резко различающимся содержанием в них Cd, Fe и Zn при почти одинаковых концентрациях Ag, Cu и Sb. На небольшом участке (всего 0.7 х 0.4 мм) в тесных срастаниях встречено три практически крайних члена тетраэдритовой серии группы блёклой руды: тетраэдрит-(Cd), тетраэдрит-(Fe) и тетраэдрит-(Zn) без промежуточных составов (рис. 6а). Тесное срастание этих минералов в тонких прожилках свидетельствует об их отложении из одного и того же флюида, одновременно в одних и тех же физико-химических условиях. Вероятнее всего, такие взаимоотношения могут предполагать разрыв смесимости в блёклых рудах между их крайними членами, различающихся по содержанию двухвалентных (Cd, Fe и Zn) металлов. Возможно, одновременная кристаллизация разных по составу минералов из группы блёклых руд на месторождении Кон-Дара произошла в неравновесных условиях.
Рис. 6. Содержания двухвалентных металлов Cd, Zn и Fe в минералах группы блёклой руды из месторождения Кон-Дара (Таджикистан) (данная работа) (а) в сравнении с таковыми из месторождений Тиндрум (Шотландия) (график построен авторами на основании анализов, приведённых в работах [3, 4]) (б) и Баркилья (Испания) (рис. 7 из [6] с дополнениями) (в)
Картина распределения двухвалентных металлов в Ag-содержащих тетраэдритах из месторождения Кон-Дара близка к таковой для составов аргентотетраэдритов и Ag-содержащих тетраэдритов на месторождении Тиндрум (Шотландия) (рис. 5б). На месторождении Баруилья (Испания) мы видим противоположную месторождениям Кон-Дара и Тиндрум картину: составы Cd–Fe–Zn-содержащих тетраэдритов (с содержанием Ag менее 4 мас. %) скученно занимают центральную часть поля (рис. 5в).
Можно предположить, что на распределение двухвалентных металлов в кристаллических структурах тетраэдрита и аргентотетраэдрита влияет содержание Ag. При содержаниях Ag меньше 4 мас. % тетраэдрит с одинаковой способностью готов включать в себя любой из представленных двухвалентных металлов. Содержания Ag выше 6 мас. % делают кристаллические структуры тетраэдрита и аргентотетраэдрита более разборчивыми в выборе двухвалентного металла, и в разное время (вероятно, в зависимости от химического состава флюида и активностей компонентов в нём) тетраэдрит/аргентотетраэдрит включает в себя либо тот, либо другой двухвалентный металл.
Кроме кристаллохимических особенностей блёклой руды, подобное распределение двухвалентных металлов может быть связано с разрывом смесимости в теннантит-тетраэдритовом ряду Ag-содержащих блёклых руд при температурах ниже 170°С, предсказанным Р.О. Сэком ([24], приложение 5 и ссылки там). Составы Ag-содержащих блёклых руд из месторождений Кон-Дара и Тиндрум, а также результаты применения блёклорудного геотермометра для тетраэдритов из Кон-Дары, подтверждают это предсказание Р.О. Сэка.
Проведённые исследования и анализ опубликованных данных по кадмиевым блёклым рудам позволяют сделать некоторые заключения об особенностях их распространения и химического состава. Кадмиевые и Cd-содержащие блёклые руды являются крайне редкими в природе. Известно 19 месторождений и рудопроявлений, в которых обнаружены эти минералы с содержаниями выше 1 мас. % до максимально возможных 12.31 мас. % на основании 101 анализа (см. приложение 3, 4). Среди обогащенных кадмием минералов группы тетраэдрита обнаружено 4 крайних кадмиевых члена блёклорудного твёрдого раствора, которые, согласно принятой CNMNC IMA номенклатуре, определены как самостоятельные минеральные виды [1] (табл. 3).
Таблица 3. Кадмиевые блёклые руды, обнаруженные в природе, и их реальные составы
Минеральный вид (формула) | Кол-во мест находок | Место находки (страна) | Формула минерала | Ссылка |
Тетраэдрит-(Cd) Cu6 (Cu4Cd2)Sb4S13 | 8 | 1 – Тиндрум (Шотландия), 2 – рудопроявление Красное (Россия), 3 – Xitieshan (Китай), 4 – Radĕtice (Чехия), 5 – Claramine (Германия), 6 – Кон-Дара (Таджикистан), 7 – Barquilla (Испания), 8 – Змеиногорское (Россия) | 1 – (Cu8.72Ag1.04)Σ9.76Cd2.01(Sb3.95As0.16)Σ4.11S13.02 2 – (Cu7.12Ag2.65)Σ9.77(Cd2.02Zn0.05Fe0.05)Σ2.12(Sb4.16As0.16)Σ4.32S12.80 3 – (Cu6.84Ag2.95)Σ9.79(Cd1.82Zn0.15Fe0.15)Σ2.12(Sb4.06As0.25)Σ4.31S12.79 4 – (Cu9.71Ag0.34)Σ10.05(Cd1.74Hg0.07Zn0.07Fe0.06)Σ1.94Sb4.08S12.91 5 – (Cu8.28 Ag2.74)Σ11.02(Cd1.74Fe0.36)Σ2.10Sb3.52S12.36 6 – (Cu7.40Ag2.83)Σ10.23(Cd1.74Fe0.05)Σ1.79(Sb3.91As0.05)Σ3.96S13.00 7 – (Cu9.64Ag0.34)Σ9.98(Cd1.71Fe0.25Zn0.09)Σ2.05(Sb3.57As0.52)Σ4.09S12.87 8 – (Cu9.61Ag1.12)Σ10.73(Cd1.04Mn0.26Zn0.10Fe0.04)Σ1.44(Sb3.25As0.61)Σ3.86S12.97 | 1 – [4]; прил. 3-4, ан. 31 2 – [7]; прил. 3-4, ан. 50 3 – [5]; прил. 3-4, ан. 35 4 – [9]; прил. 3-4, ан. 52 5 – [8]; прил. 3-4, ан. 36 6 – авторы; табл. 2, ан. 1; прил. 3-4, ан. 37 7 – [6]; прил. 3-4, ан. 53 8 – [9]; прил. 3-4, ан. 55 |
Аргентотетраэдрит-(Cd) Ag6(Cu4Cd2)Sb4S13 | 5 | 1 – Rudno nad Hronom (Словакия), 2 – минерализация Mavrokoryfi (Греция), 3 – Тиндрум (Шотландия), 4 – Ушкатын-III (Казахстан) 5 – Tunaberg (Швеция) | 1 – (Cu6.86Ag3.17)Σ10.03(Cd1.88Fe0.06Zn0.04)Σ1.98(Sb3.70As0.25)Σ3.95S13.04 2 – (Cu6.66Ag3.52)Σ10.18(Cd1.45Fe0.12)Σ1.57(Sb3.44As0.64)Σ4.08S13.05 3 – (Cu6.69Ag3.11)Σ9.80(Cd1.40Fe0.47Zn0.12)Σ1.99(Sb4.13As0.01)Σ4.14S13.07 4 – (Cu6.84 Ag3.16)Σ10.00(Cd0.99Fe0.71Zn0.14)Σ1.84(Sb3.94As0.17)Σ4.11S13.04 5 – (Cu6.46Ag3.61)Σ10.07(Cd0.86Mn0.78Fe0.43)Σ2.07(Sb3.81Bi0.14)Σ3.95S12.91 | 1 – [16]; прил. 3-4, ан. 1 2 – [15]; прил. 3-4, ан. 16 3 – [3]; прил. 3-4, ан. 14 4 – [13]; прил. 3-4, ан. 18 5 – [14]; прил. 3-4, ан. 21 |
Теннантит-(Cd) Cu6(Cu4Cd2)As4S13 | 2 | 1 – Томинское (Россия), 2 – Berenguela (Боливия) | 1 – (Cu9.90 Ag0.01)Σ9.91(Cd1.68Zn0.09Fe0.05)Σ1.82(As2.63Sb1.25)Σ3.88S13.31 2 – (Cu9.96Ag0.01)Σ9.97(Cd1.57Zn0.46Fe0.01)Σ2.04As3.96S13.03 | 1 – [11]; прил. 3-4, ан. 73 2 – [12] прил. 3-4, ан. 75 |
Хакит-(Cd) Cu6(Cu4Cd2)Sb4Se13 | 1 | Příbram (Чехия) | (Cu9.95Ag0.16)Σ10.11(Cd1.36Zn0.53Hg0.07Fe0.03)Σ1.99(Sb4.06Bi0.16)Σ4.22(Se12.28S0.39)Σ12.67 | [17]; прил. 3-4, ан. 88 |
Примечание. Формулы минералов рассчитаны на 29 атомов.
Среди минералов блёклых руд самое высокое содержание кадмия 12.31 мас. % (2.01 ф.к.) выявлено в тетраэдрите-(Cd) из кварцевых жил рудопроявления золота Красное (Бодайбинский район) ([7] и по данным личного сообщения Е.Е. Паленовой) (приложения 3 и 4, ан. 50).
В нём присутствует 6.12 мас. % Ag (1.04 ф.к.), а концентрации Fe и Zn оказались ниже минимальных пределов обнаружения. Вероятно, этот минерал является крайним кадмиевым природным членом блёклорудного твёрдого раствора.
Рассмотрение совокупности анализов (n = 101) не выявило каких-либо чётких взаимосвязей содержаний кадмия с тем или иным элементом в химическом составе Cd-содержащих блёклых руд (рис. 7). Тем не менее, некоторые особенности их состава проявляются. Среди блёклых руд наиболее обогащённым кадмием минералом (до 2.02 ф.к. или 12.31 мас. % Cd) является тетраэдрит, чуть меньшие содержания Cd (1.88 ф.к. или 11.15 мас. %) встречены в аргентотетраэдрите, ещё меньше (1.68 ф.к. или 11.79 мас. %) – в теннантите, а всех меньше, содержание Cd в хаките – не превышает 1.36 ф.к. или 6.55 мас. % (приложение 3, 4 и ссылки там).
Рис. 7. Содержания Cd против содержаний Ag (а), Sb (б), Fe (в) и Zn (г) (в ф.к.) в кадмиевых блёклых рудах. Графики построены на основании обобщённой таблицы анализов (приложения 3 и 4), полученных из различных источников. Формульные коэффициенты в минералах рассчитаны на основании 29 атомов в формуле
Среди кадмиевых блёклых руд встречаются как богатые серебром (аргентотетраэдрит и Agсодержащий тетраэдрит), так и почти полностью бессеребряные минералы (теннантит и хакит) (рис. 7а). При этом обращает на себя внимание график распределения Cd vs Ag, на котором фиксируется отсутствие Cd-содержащих блеклых руд с содержанием Ag от 1 до 2.5 ф.к. (~ от 6 до 13.7 мас. %) (рис. 7а). В Cd-содержащей блёклой руде максимальное содержание Ag, равное 6.66 ф.к. (35.82 мас. %), обнаружено в аргентотетраэдрите-(Cd) из минерализации Маврокорифи (Mavrokoryfi) (Греция) [15]. Паттрик и Холл изучали замещение Ag в синтетическом тетраэдрите, содержащем Zn, Cd и Fe, и сделали вывод, что для Cd-содержащих блёклых руд максимально возможное содержание Ag равно 7.02 ф.к [18].
Рисунок 7б позволяет сделать вывод, что Cd предпочтительнее концентрируется в сурьмяных блёклых рудах. При этом, вероятнее всего, что присутствие значимых содержаний серебра в тетраэдрите-(Cd) и аргентотетраэдрите-(Cd) связано с тем, что Ag предпочтительнее концентрируется в сурьмяных блёклых рудах.
Картины распределения двухвалентных металлов в Cd-содержащих блёклых рудах на графиках Cd vs Fe и Cd vs Zn схожи (рис. 7в, г). Не наблюдается приуроченность концентраций кадмия в блёклых рудах к Fe или Zn: встречаются как железистые, так и цинкистые крайние члены Cd-содержащих тетраэдрита, аргентотетраэдрита и теннантита (рис. 7в, г, 8). Исключением является хакит-(Fe), в котором пока ещё не было обнаружено значимых (более 1 мас. %) концентраций Cd.
Рис. 8. Распределение двухвалентных металлов Cd, Zn и Fe в Cd-содержащих блёклых рудах, известных в мире. На график нанесены все анализы из приложений 3 и 4 за исключением Cd-содержащих аргентотетраэдрита-(Mn) и хакита-(Hg)
Тройная диаграмма распределения двухвалентных металлов, построенная по всем известным в природе Cd-содержащим блёклым рудам, демонстрирует относительно небольшое количество анализов в центральной её части (рис. 8). Это говорит о том, что промежуточные Cd–Zn–Fe-содержащие блёклые руды крайне редки. Они обнаружены только на месторождении Barquilla в Испании. Приведённые данные могут свидетельствовать о наличии разрывов смесимости в Cd–Zn–Fe-содержащем теннантиттетраэдритовом твёрдом растворе. Разрыв смесимости может быть обусловлен низкими температурами образования Cd-содержащих блёклых руд (< 200°C), при которых имеет место распад блёклорудного твёрдого раствора на крайние Fe-, Zn- и Cd-члены, либо может быть связан с определёнными физико-химическими условиями кристаллизации Cd–Zn–Fe-содержащих блёклых руд и составом минералообразующего флюида.
Частыми спутниками кадмия в кадмиевых блёклых рудах являются Sb и Ag, а также в меньшем количестве Zn и Fe. Но кроме этих элементов в литературе описывались следующие сопутствующие с Cd элементы: As, Se, Mn, Hg, Bi и Co в Cd-содержащих блёклых рудах (см. приложение 3 и ссылки там).
Редкость кадмиевых блёклых руд может быть связана с низким содержанием Cd в породах коры. Высказывалось мнение, что Cd предпочтительнее встраивается в сокристаллизующиеся с блёклой рудой халькопирит и сфалерит, и что содержание Cd выше в тех образцах блёклой руды, которые кристаллизуются в ассоциациях, не содержащих сфалерита и халькопирита, или в средах, необычно обогащённых Cd ([28], приложение 5). Однако результаты данного исследования показали, что Cd в раннем сфалерите содержится в незначительных количествах (до 0.4 мас. %) и полностью отсутствует в халькопирите, образовавшемся близко-одновременно с Ag-содержащим тетраэдритом-(Cd).
Отмечалось, что в гипергенных условиях Cd, содержащийся изоморфно в сфалерите, легко отделяется от Zn ([29], приложение. 5). Вероятно, в рудах месторождения Кон-Дара имела место ретроградная Fe‒Zn-обменная реакция между сфалеритом и тетраэдритом (реакция 19 в [27], Приложение 5):
(3),
а также подобная ей Cd‒Zn-обменная реакция:
(4).
В результате последней реакции (4) при остывании флюида блёклые руды обогащались кадмием, вынесенным из сфалерита.
ЗАКЛЮЧЕНИЕ
Впервые обнаружен редкий минерал крайней кадмиевой блёклой руды – Ag-содержащий тетраэдрит-(Cd) – на территории Таджикистана. Его необычные тесные срастания с другими крайними членами группы блёклой руды (тетраэдритом-(Fe) и тетраэдритом-(Zn)) могут свидетельствовать о разрыве смесимости в блёклорудном твёрдом растворе при температурах ниже 200°С.
В блёклых рудах Cd предпочтительнее концентрируется в сурьямяных минералах: тетраэдрите, аргентотетраэдрите, хаките. Кадмиевые блёклые руды часто содержат значимые концентрации Ag, которые, скорее всего, связаны с Sb, а не с Cd.
По имеющимся в литературе анализам Cd-содержащих блёклых руд в твёрдом растворе между тетраэдритом-(Cd) и аргентотетраэдритом-(Cd) не наблюдается полной смесимости: на основании РСМА установлен разрыв смесимости в интервале содержаний Ag от 1 до 2.5 ф.к. (~ от 6 до 13.7 мас. %). На месторождении Кон-Дара разрыв смесимости наблюдался и в Cd–Zn–Fe-содержащем тетраэдритовом твёрдом растворе между двухвалентными металлами.
Оценена температура образования Ag-содержащего тетраэдрита-(Cd) и сосуществующих с ним Ag-содержащих тетраэдрита-(Fe) и тетраэдрита-(Zn) на месторождении Кон-Дара – (170—140) ± 20°С. Образование Ag-содержащего тетраэдрита-(Cd) происходило при остывании флюида в результате ретроградных реакций Cd–Zn-обмена, при которых блёклые руды обогащались кадмием, вынесенным из сфалерита.
ИСТОЧНИК ФИНАНСИРОВАНИЯ
Исследования выполнены при финансовой поддержке проекта № 124022400142-2 “Кристаллохимические особенности, химический состав минералов и их ассоциаций как генетические индикаторы эндогенных и экзогенных процессов” Института геологии рудных месторождений, петрографии, минералогии и геохимии Российской академии наук (ИГЕМ РАН).
Приложения 1–5 доступны в виде электронных приложений по DOI данной статьи.
1 Наряду с названием “Кон-Дара” в литературе для обозначения этого месторождения используется также название “Кан-Дара”.
2 Предложенное CNMNC IMA название “минералы группы тетраэдрита” неудобно при описании минералов этой группы: оно совпадает с названиями серии и минерала; оно вносит путаницу и игнорирует огромное количество данных в опубликованной литературе, в которой название “тетраэдрит” применялось к крайнему сурьмяному члену блёклорудного твёрдого раствора.
3 На месторождении работает Такобский горно-обогатительный комбинат (ОАО “Таджикская алюминиевая компания”), который производит флюоритовый и свинец-цинковый концентраты. https://talco.com.tj/ru/about/talcogroup
4 Н.п.о. – ниже предела обнаружения (2σ). Значения 2σ приведены в Примечании к табл. 1.
About the authors
N. G. Lyubimtseva
Institute of Geology of Ore Deposits, Petrography, Mineralogy, and Geochemistry of the Russian Academy of Sciences
Author for correspondence.
Email: luy-natalia@yandex.ru
Russian Federation, Moscow
N. S. Bortnikov
Institute of Geology of Ore Deposits, Petrography, Mineralogy, and Geochemistry of the Russian Academy of Sciences
Email: luy-natalia@yandex.ru
Academician of the RAS
Russian Federation, MoscowV. M. Gekimyants
Fersman Mineralogical Museum of the Russian Academy of Sciences
Email: luy-natalia@yandex.ru
Russian Federation, Moscow
S. E. Borisovsky
Institute of Geology of Ore Deposits, Petrography, Mineralogy, and Geochemistry of the Russian Academy of Sciences
Email: luy-natalia@yandex.ru
Russian Federation, Moscow
P. Yu. Plechov
Fersman Mineralogical Museum of the Russian Academy of Sciences
Email: luy-natalia@yandex.ru
Russian Federation, Moscow
References
- Biagioni C., George L. G., Cook N. J., Makovicky E., Moëlo Y., Pasero M., Sejkora J., Stanley C. J., Welch M. D., Bosi F. The tetrahedrite group: Nomenclature and classification. Am. Miner. 2020. V. 105. P. 109–122.
- Warr L. N. IMA–CNMNC approved mineral symbols // Mineralogical Magazine. 2021. V. 85. № 3. P. 291–320.
- Pattrick R. A. D. Microprobe analyses of cadmiumrich tetrahedrites from Tyndrum, Perthshire, Scotland // Mineralogical Magazine. 1978. V. 42. № 322. P. 286–288.
- Pattrick R. A. D. Pb-Zn and minor U mineralization at Tyndrum, Scotland // Mineralogical Magazine. 1985. V. 49. № 354. P. 671–681.
- Jia D., Fu Z., Zhang H., Zhao C. The first discovery of Cd-freibergite in China // Acta Miner. Sinica. 1988. V. 8. P. 136–137 (in Chinese with English abstract).
- Pascua M. I., Muriego A., Pellitero E., Babkine J., Dusausoy Y. Sn-Ge-Cd-Cu-Fe-bearing sulfides and sulfosalts from the Barquilla deposit, Salamanca, Spain // Canadian Mineralogist. 1997. V. 35. P. 39–52.
- Паленова Е. Е., Блинов И. А., Заботина М. В. Минералы серебра в кварцевых жилах рудопроявления золота Красное (Бодайбинский район) // Минералогия. 2015. № 2. С. 9–17.
- Bayerl R., Desor J., Möhn G. New Minerals for the Clara mine, Oberwolfach, Germany. 2022. https://www.mindat.org/reference.php?id=16098796
- Sejkora J., Biagioni C., Škácha P., Musetti S., Kasatkin A. V., Nestola F. Tetrahedrite-(Cd), Cu6(Cu4Cd2) Sb4S13, from Radětice near Příbram, Czech Republic: the new Cd member of the tetrahedrite group // European Journal of Mineralogy. 2023. V. 35. № 6. P. 897–907.
- Тихомирова В. Д. Особенности состава блеклых руд месторождений формации медистых песчаников на Севере Урала / Теория, история, философия и практика минералогии: Материалы IV Междунар. минерал. семинара. 2006. С. 193–195.
- Плотинская О. Ю., Ковальчук Е. В. Блеклые руды Cu-(Mo)-порфировых месторождений Урала // Минералогия. 2022. Т. 8. № 3. С. 5–22.
- Biagioni C., Kasatkin A., Sejkora J., Nestola F., Škoda R. Tennantite-(Cd), Cu6(Cu4Cd2)As4S13, from the Berenguela mining district, Bolivia: the first Cd-member of the tetrahedrite group // Mineral. Mag. 2022. V. 86. P. 834–840.
- Воропаев А. В., Спиридонов Э. М., Щибрик В. И. Тетраэдрит-Cd – первая находка в СССР // Доклады АН СССР. 1988. Т. 300. № 6. С. 1446–1448.
- Dobbe R. T. M. Manganoan-cadmian tetrahedrite from the Tunaberg Cu-Co deposit, Bergslagen, central Sweden // Mineral. Mag. 1992. V. 56. P. 113–115.
- Voudouris P. C. Conditions of formation of the mavrokoryfi high-sulfidation epithermal Cu–Ag–Au–Te mineralization (Petrota Graben, NE Greece) // Mineralogy and Petrology. 2011. V. 101. P. 97–113.
- Mikuš T., Vlasáč J., Majzlan J., Sejkora J., Steciuk G., Plášil J., Rößler C., Matthes C. Argentotetrahedrite(Cd), Ag6(Cu4Cd2)Sb4S13, a new member of the tetrahedrite group from Rudno nad Hronom, Slovakia // Mineralogical Magazine. 2023. V. 87. № 2. P. 262–270.
- Škácha P., Sejkora J., Palatinus L., Makovicky E., Plášil J., Macek I., Goliáš V. Hakite from Příbram, Czech Republic: compositional variability, crystal structure and the role in Se mineralization // Mineralogical Magazine. 2016. V. 80. № 6. P. 1115–1128. https://doi.org/10.1180/minmag.2016.080.038
- Pattrick R. A. D., Hall A. J. Silver substitution into synthetic zinc, cadmium, and iron tetrahedrites // Mineralogical Magazine. 1983. V. 47. № 345. P. 441–451.
- Юшкин Н. П. Новая кадмиевая разновидность тетраэдрита // Доклады АН СССР. 1978. Т. 242. № 2. С. 246–249.
- Бортников Н. С., Коваленкер В. А., Гейнке В. Р., Тронева Н. В., Раздолина Н. В. Химический состав и парагенетические ассоциации сульфосолей в серебро-полиметаллических месторождениях Средней Азии / В кн.: Метасоматоз, минералогия и вопросы генезиса золотых и серебряных месторождений. М.: Наука, 1986. С. 146–167.
Supplementary files












