Geochemical aspects of the technology for restoration of vegetation cover on industrially contaminated peat soil using serpentine materials
- Authors: Slukovskaya M.V.1,2, Petrova A.G.3, Ivanova L.A.4, Mosendz I.A.1,2, Ivanova T.K.1,2, Drogobuzhskaya S.V.1, Novikov A.I.1, Shirokaya A.A.1, Kremenetskaya I.P.1
-
Affiliations:
- Institute of Chemistry and Technology of Rare Elements and Mineral Raw Materials, Kola Scientific Center of the Russian Academy of Sciences
- Laboratory of nature-inspired technologies and environmental safety of the Arctic region, Center for Nanomaterials Science, Kola Scientific Center of the Russian Academy of Sciences
- Petrozavodsk State University
- Polar-Alpine Botanical Garden-Institute, Kola Scientific Center of the Russian Academy of Sciences
- Issue: Vol 518, No 1 (2024)
- Pages: 185-194
- Section: GEOECOLOGY
- Submitted: 20.01.2025
- Accepted: 20.01.2025
- Published: 15.09.2024
- URL: https://ogarev-online.ru/2686-7397/article/view/277494
- DOI: https://doi.org/10.31857/S2686739724090191
- ID: 277494
Cite item
Full Text
Abstract
Factors influencing the geochemical migration of elements during the development of artificial plant communities on degraded peat soil with high levels of copper and nickel contamination using serpentine-containing materials are considered. Monitoring of reclamation sites during a four-year field experiment showed that the grass cover is capable of sustainable functioning by neutralizing the acidity of industrially polluted peat soil, reducing the toxicity of soil solutions, and eliminating the imbalance of macronutrients. Serpentine minerals act as a alkaline barrier, reducing the intensity of migration of copper and nickel compounds.
Full Text
Одним из крупнейших источников выбросов SO2 и тяжёлых металлов в Арктической зоне Российской Федерации является ОАО “Кольская ГМК”, площадка Мончегорск [1]. В результате деятельности предприятия произошло серьёзное повреждение экосистем, основное внимание в исследованиях этой территории уделяют химическому загрязнению почв такими элементами, как Ag, Al, As, Bi, Cd, Co, Cr, Cu, Fe, Hg, Mn, Mo, Ni, Pb, Sb, Sc, Tl, V, Zn и др. [2], при этом основной проблемой являются высокие концентрации меди и никеля. Благодаря модернизации производственного процесса произошло существенное сокращение выбросов, наблюдаются процессы самовосстановления растительности в окрестностях предприятия. На сильно загрязнённых участках территории из-за высокой токсичности грунта требуется проведение дополнительных рекультивационных мероприятий.
В 2010 году начаты укрупнённые полевые испытания технологии рекультивации техногенно загрязнённой торфяной почвы (РТ) с высоким уровнем загрязнения методом создания насыпного слоя из серпентинсодержащих отходов. Сформированные фитоценозы показали высокую устойчивость в неблагоприятных условиях произрастания, в минеральном слое наблюдаются признаки почвообразовательного процесса [3].
Факторами токсичности РТ для растений являются 1) повышенная кислотность (рН<4.5) и 2) дисбаланс химического состава, а именно экстремально высокое содержание металлов и низкое — кальция и магния. В свою очередь, минеральный и химический состав серпентиновых продуктов обусловливает целесообразность их применения для улучшения свойств РТ, поскольку серпентины обладают способностью вступать в реакцию нейтрализации с растворами кислот, сорбировать металлы и увеличивать содержание кальция и магния в почвенном растворе [4, 5]. Вместе с тем, способ рекультивации путём покрытия загрязнённой почвы минеральным материалом не позволяет в полной мере использовать положительный потенциал таких благоприятных для экосистем свойств торфяной почвы, как высокая влагоёмкость, наличие резерва органического вещества и микробной биомассы и связанных с ними запасов элементов питания, в первую очередь азота.
Также положительными были длительные эксперименты по внесению термоактивированных серпентинов (хризотила и лизардита) в РТ с точки зрения как снижения подвижности приоритетных загрязнителей (меди и никеля), так и устойчивого функционирования экосистем и даже их постепенной трансформации в сторону заселения местной флорой [6]. Вместе с тем, нерешёнными остались вопросы влияния конкретных дозировок серпентиновых материалов.
В 2020 году был начат эксперимент, предусматривающий дробное внесение в РТ серпентинсодержащих материалов с одновременным созданием растительного покрова [7]. Использовано три вида серпентиновых продуктов (мелиорантов), которые были получены из отходов добычи флогопита (г. Ковдор, Мурманская обл.). Пироксеновый (PR) и вермикулит-лизардитовый (VL) продукты отличаются большим содержанием в PR примесных минералов, преимущественно пироксена. Содержание минералов составляет в PR и VL соответственно: лизардита 25 и 31, вермикулита 27 и 33, пироксена 70 и 35 мас. %. Третий продукт (LT) получен термоактивацией VL.
Для формирования экспериментальных площадок торфяную почву изымали на глубину до 10 см, гомогенизировали и смешивали с серпентиновыми материалами, добавленными в количестве 25, 50 и 75 об. % в сериях PR и VL и 1, 5 и 10 об. % в серии LT. Снижение количества серпентинового материала в почвосмесях в серии LT обусловлено большей активностью термоактивированного продуктах при взаимодействии с кислыми растворами. Также из серпентинов формировали площадки с насыпным слоем толщиной 5 см (варианты VL100 и PR100). Растительный покров создавали настилом ковровой дернины из Festuca arundinacea Schreb., предварительно выращенной на слое термовермикулита методом штабелирования [8]. На протяжении четырёх вегетационных сезонов, с нулевого (2020) по третий (2023) год эксперимента, выполнялся мониторинг экспериментальных площадок (рис. 1).
Рис. 1. Карта-схема расположения (а, б), внешний вид экспериментального участка (в) и керна, площадка VL100 (г).
В конце каждого сезона определяли массу надземной части растений, рН водной вытяжки (актуальную кислотность) и анализировали почвосмеси на содержание химических элементов в двух фракциях. Актуально подвижную (водорастворимую) форму компонентов определяли путём обработки образцов дистиллированной водой, потенциально подвижную (доступную для растений) форму — экстрагированием раствором ацетатно-аммонийного буфера (1н NH4CH3COO, рН 4.65) при соотношении почвы и раствора 1:25. Анализировали каждый раз исходные образцы, поэтому в доступной для растений фракции присутствует и водорастворимая фракция.
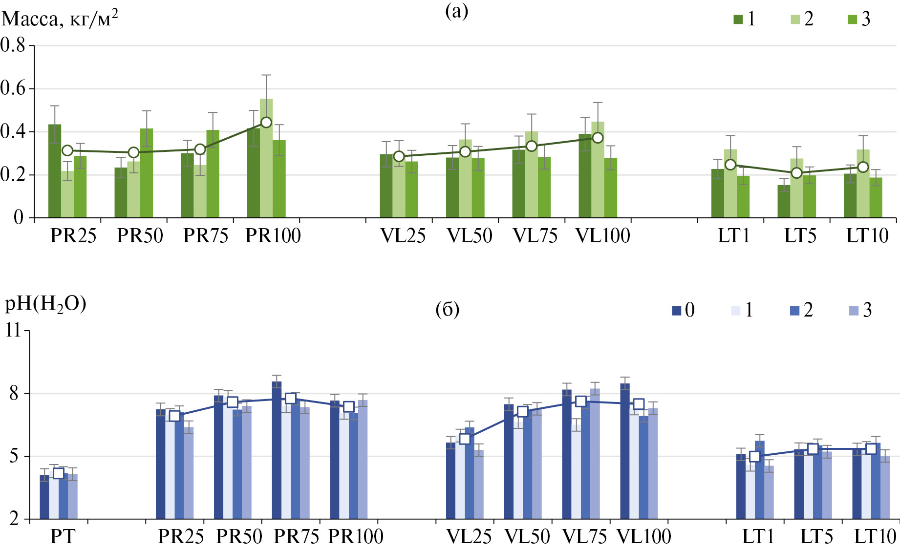
О высокой токсичности РТ свидетельствует полное отсутствие на ней растительности. В вариантах PR и VL травяная дернина приросла к поверхности почвосмеси в течение двух недель. В контрольном варианте (без внесения минеральных материалов) растения погибли в первый год эксперимента, в вариантах LT дернина приросла фрагментарно. В опытах с PR и VL наблюдалась тенденция к увеличению массы растений с увеличением доли мелиорантов в почвосмесях (рис. 2 а). Полученный результат показал, что токсичность почвосмесей снизилась по сравнению с исходной РТ прежде всего за счёт уменьшения содержания в них РТ.
Рис. 2. Сухая масса растений (а) и значения рН (б) по вариантам эксперимента, столбцами показаны данные по годам, линией с маркерами — усреднённые значения.
Внесение серпентинов увеличивает рН почвосмесей по сравнению с исходной РТ (рис. 2 б). Можно отметить тенденцию снижения показателя после первой зимы, тогда как в дальнейшем рН либо не изменялся, либо увеличивался по сравнению с предыдущим годом. При содержании серпентиновых материалов в интервале 25–75 об. % в первый год эксперимента значения рН были тем выше, чем выше доля минерального материала; такая же закономерность наблюдалась и для усреднённых по годам данных. Варианты PR75 и PR100 (как и VL75 и VL100) не отличались по актуальной кислотности. В вариантах PR75 и VL75 массовая доля РТ составляла всего 5–10 мас. %, что позволило мелиорантам полностью нейтрализовать кислотность торфа. Между биомассой и значением рН почвосмесей наблюдалась линейная корреляция (рис. 3 а).
Рис. 3. Зависимость сухой массы растений от рН (а), цифрами отмечены годы эксперимента, Мср – усреднённые по годам значения, и сухой массы растений и рН от модуля токсичности Мт (б).
Значение рН тем больше, чем меньше содержание в водорастворимой фракции основных химических компонентов, за исключением Si. Концентрации не только Al, Cu, Ni, Fe, Mn, Fe, но и Ca в наиболее подвижной водорастворимой форме связаны отрицательной корреляционной зависимостью с рН почвосмесей. В то же время, обнаружена значимая (p <0.05) зависимость рН от содержания компонентов в потенциально подвижной фракции, при этом корреляция является отрицательной с концентрацией металлов (r = –0.65–0.90) и положительной с концентрацией Ca (r = 0.75).
Комплексным показателем токсичности почвосмесей является модуль токсичности Мт [6, 9]. Показатель рассчитывался как отношение суммы концентраций (моль/кг) Cu и Ni к сумме Ca и Mg в доступной для растений форме, увеличенное в сто раз. Модуль токсичности почв экспериментального участка был тесно связан со значением рН (рис. 3 б). Биологическая продуктивность фитоценозов коррелировала с Мт, однако степень корреляции была ниже, чем между Мт и рН, что отражает влияние на накопление биомассы дополнительных факторов помимо химического состава почвосмесей.
В исходном РТ содержание Ca в водорастворимой форме (С1 = 240 мг/кг) было выше, а в доступной (С2 = 1250 мг/кг) — ниже по сравнению с серпентинсодержащими почвосмесями. Между формами Ca в почвосмесях наблюдается отрицательная корреляционная зависимость (рис. 4). Из совокупности данных можно заключить, что водорастворимая фракция С1 связана с торфом, а часть доступной фракции (С2 – С1) ассоциирована с мелиорантами.
Рис. 4. Соотношение между содержанием водорастворимой (С1, мг/кг) и доступной для растений (С2, мг/кг) фракций макрокомпонентов почвосмесей.
Косвенным подтверждением данного вывода являются результаты факторного анализа методом главных компонент для двух форм геохимической миграции элементов почвосмесей совместно с Мт, рН и массой растений (табл. 1). Суммарно два первых фактора описывают 70–77% дисперсии показателей систем, для первой совокупности данных (водорастворимой фракции) дополнительно выделен третий фактор с вкладом 10%, в котором основная нагрузка приходится на Si. Судя по набору показателей, оказывающих нагрузку на факторы в системе с химическим составом водорастворимой фракции, первый фактор является фактором токсичности, второй — фактором влияния минерального питания на биомассу растений.
Таблица 1. Результаты факторного анализа методом главных компонент для двух форм геохимической миграции элементов
Показатели | Водорастворимая фракция | Доступная для растений фракция | |||
Фактор 1 | Фактор 2 | Фактор 3 | Фактор 1 | Фактор 2 | |
Вклад фактора | 51.48 | 18.72 | 10.30 | 59.65 | 17.39 |
Al | 0.85 | –0.33 | 0.03 | 0.96 | 0.07 |
Ca | 0.76 | 0.59 | –0.03 | –0.88 | 0.28 |
Cu | 0.86 | –0.10 | 0.23 | 0.91 | 0.25 |
Fe | 0.80 | 0.04 | 0.34 | 0.97 | 0.09 |
Mg | 0.70 | 0.67 | 0.05 | 0.01 | 0.92 |
Mn | 0.68 | –0.14 | –0.23 | 0.58 | –0.20 |
Ni | 0.92 | –0.03 | –0.20 | 0.93 | 0.27 |
S | 0.73 | 0.63 | –0.19 | –0.23 | 0.83 |
Si | 0.26 | –0.10 | 0.83 | –0.41 | 0.50 |
Мт | 0.58 | –0.68 | 0.18 | 0.97 | –0.06 |
pH | –0.79 | 0.43 | 0.27 | –0.95 | –0.17 |
Биомасса | –0.35 | 0.49 | 0.37 | –0.66 | 0.00 |
Кальций для обеих совокупностей входит в первый фактор токсичности, однако в первой группе данных кальций влияет на токсичность положительно, а во второй — отрицательно. Поскольку, согласно сделанному нами предположению, водорастворимый кальций связан с РТ, его влияние на токсичность оказывается положительным. Влияние кальция в доступной форме проявляется в снижении токсичности почвенных растворов, что опосредованно положительно воздействует на массу растений.
В РТ магния меньше, чем кальция, содержание актуально подвижной формы составляет 80 мг/кг, потенциально подвижной — 220 мг/кг. Серпентины характеризуются высоким содержанием Mg, в валовом составе серпентинов магния в 15 раз больше, чем Ca. Внесение мелиорантов не повлияло на содержание водорастворимого Mg, при этом происходило значительное увеличение доступной для растений формы (рис. 4), наиболее высокие значения наблюдались в серии VL.
Избыток Mg в почве не оказывает влияния на урожайность большинства сельскохозяйственных культур, если обменного Ca в почве больше, чем Mg. При соотношении Ca/Mg от 1 до 20 доступность Mg в почве остаётся удовлетворительной при достаточном содержании общего Mg [10]. Идеальное соотношение обменных Ca/Mg, по данным разных авторов, варьирует от 2 до 8 в силу того, что почвы различаются по относительной силе связывания этих элементов на катионообменных участках [10]. В экспериментальных почвосмесях отношение Ca/Mg изменяется в пределах от 5 до 10 в серии PR и в интервале 2–4 в сериях VL и LT, что приемлемо для произрастания растений во всех вариантах эксперимента.
Содержание Si, как и Mg, закономерно больше в серии VL по сравнению с PR как в водорастворимой, так и в доступной форме, причём варианты внутри серий отличаются по данному показателю незначительно. В серии PR содержание водорастворимого Si изменяется в узком интервале 20–25 мг/кг, а в серии VL от 30 мг/кг до 45 мг/кг. Доступный для растений Si изменяется в пределах 30–80 мг/кг и не отличается между сериями с разными серпентиновыми продуктами (рис. 4).
Выше было отмечено, что водорастворимый, т.е., согласно [11], актуальный Si оказался выделен в отдельный третий фактор, на этот же фактор достаточно высока нагрузка показателя биомассы растений. По результатам анализа данных для потенциально доступной фракции кремний переместился во второй фактор — фактор минерального питания. В работе [11] показано, что актуальный кремний является самостоятельной характеристикой кремниевого состояния почвы наряду с суммарным (потенциально доступным) кремнием, что подтверждают и результаты, полученные в настоящей работе.
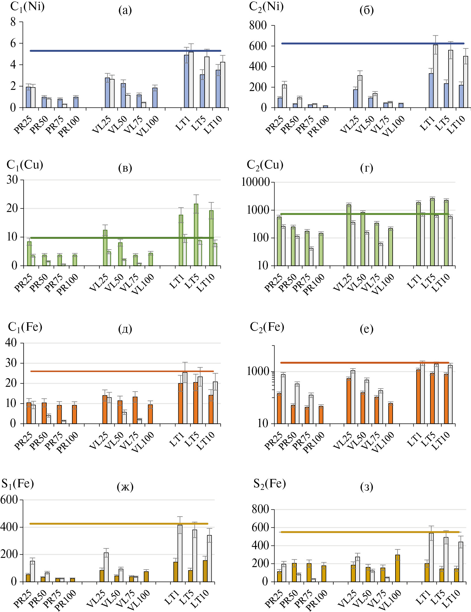
Проведено сравнение усреднённых экспериментальных данных и расчётных значений, полученных на основании данных о массовой доле РТ в вариантах почвосмесей и содержания соответствующей формы элементов в РТ (рис. 5). Содержание водорастворимого Ni изменяется по вариантам эксперимента в узком интервале 1–5 мг/кг и уменьшается в почвосмесях с мелиорантами по сравнению с РТ преимущественно за счёт уменьшения содержания РТ (рис. 5 а). Содержание доступного для растений никеля также уменьшается, однако степень снижения содержания данной формы больше, чем степень разбавления РТ, что свидетельствует о реализации механизмов сорбции никеля серпентиновыми минералами, скорее всего за счёт образования в щелочных условиях силикатов никеля (рис. 5 б).
Рис. 5. Содержание компонентов в водорастворимой (С1, мг/кг) и доступной для растений (С2, мг/кг) форме, цветные столбики — усреднённые по годам экспериментальные значения, серые столбики — расчётные значения, линией показаны данные для исходного торфа.
Обратный процесс увеличения подвижности наблюдается для меди (рис. 5 в, г). Высокая степень неоднородности РТ не позволяет дать исчерпывающее объяснение полученным результатам, однако неоднократный отбор проб грунта и его анализ разными методами подтверждают отмеченные ранее в работах [7, 12] следующие тенденции. Медь в водорастворимой форме связана преимущественно с сульфатом меди. Растворимая медь легко мигрирует, в том числе из прилегающей к площадкам торфяной почвы, и осаждается на локальных участках почвосмесей с высокой щёлочностью (на поверхности частиц серпентиновых минералов), увеличивая содержание потенциально подвижной формы. Аналогичный процесс наблюдается для железа в водорастворимой форме (рис. 5 д). Основная часть меди связана с органическим веществом РТ. При взаимодействии с серпентиновыми минералами происходит разрушение сорбционных связей Cu с органическим веществом РТ с последующим осаждением в щелочной среде малорастворимых соединений.
Данные по содержанию S подтверждают предлагаемую схему трансформации соединений Cu (рис. 5 ж, з). Прежде всего следует отметить, что в РТ потенциально и актуально подвижные формы S отличаются незначительно. Для Cu, Ni и Fe наблюдается линейная зависимость между актуальной и потенциальной формами, причём содержание актуальной формы на два порядка меньше потенциальной (рис. 6 а). Для S также наблюдается корреляционная зависимость, однако по значениям концентраций актуально и потенциально подвижные формы существенно не отличаются, т.е. практически вся потенциально подвижная S является актуально подвижной.
Рис. 6. Соотношение между содержанием водорастворимой (С1, мг/кг) и доступной для растений (С2, мг/кг) формами металлов и серы в почвосмесях (а) и зависимость содержания доступной для растений формы компонентов (С2, мг/кг) от рН (б).
При внесении мелиорантов содержание актуально подвижной S снижается в 4–100 раз, а потенциально подвижной ‒ примерно в два раза, причём содержание потенциально подвижной S между сериями отличается незначительно. В отличие от металлов, содержание которых тем меньше, чем больше рН, кислотно-щелочные условия не влияют на содержание потенциально подвижной S (рис. 6 б). По результатам корреляционного анализа водорастворимая S ассоциирована с токсичными компонентами торфа (Cu, Ni), а доступная для растений – только со щелочными Ca и Mg, которые являются основными компонентами мелиорантов.
С целью уточнения направления и механизмов протекания геохимических процессов трансформации РТ под влиянием серпентиновых минералов выполнен следующий эксперимент. РТ в смеси с серпентиновыми материалами (серии PR, VL, LT) и с песком (контрольная серия PK) были помещены модули трёх типов (n = 3). Содержание РТ в смесях составляло 50 мас. %. В варианте I модули изготовлены из проницаемого геотекстильного материала, в варианте II дно модулей изготовлено из того же материала, а стенки модулей из водонепроницаемого пластика, в варианте III фильтрация была затруднена благодаря изготовлению дна и стенок модулей из пластика. В 2022 году модули были размещены на участке перед установлением снежного покрова и выдержаны в течение одного года.
Проанализировано валовое содержание компонентов в пересчёте на прокалённый остаток. Статистический анализ показал, что относительная ошибка определения компонентов составляла для Cu 20–25%, для Ni 10–15% и для S 10–20%. По результатам эксперимента установлено достоверное (p <0.05) снижение содержания в почвосмесях указанных выше компонентов (рис. 7), причём доля выщелоченной из модулей фракции в вариантах с серпентинсодержащими материалами была меньше по сравнению с контрольным вариантом. В контрольном варианте доля выщелоченной фракции Cu и Ni изменялась в пределах 75–85%, что согласуется с данными работы [12] о содержании фракции, извлекаемой из РТ путём трёхкратной обработки ацетатно-аммонийным буфером.
Рис. 7. Доля выщелоченной фракции С относительно исходного содержания компонентов Сисх в вариантах почвосмесей.
Выщелачивание компонентов из почвосмесей произошло под воздействием атмосферных осадков (дождевых и талых вод). Снижение сорбционной способности РТ может быть обусловлено двумя причинами. Прежде всего, стоит отметить снижение поступления загрязняющих веществ с начала 2000-х гг. по сравнению с предыдущими десятилетиями [1]. Контакт торфяной почвы с растворами с меньшей концентрацией по сравнению с составом растворов в период накопления компонентов приводит к сдвигу адсорбционного равновесия, что сопровождается процессом десорбции. Второй причиной является снижение содержания в РТ сорбционно активного органического компонента. Данный результат обусловлен постепенной минерализацией, т.е. деструкцией органического вещества торфяной почвы при отсутствии поступления свежего органического материала вследствие высокой токсичности почвы [3].
Таким образом, результаты модельного эксперимента подтвердили закономерности, установленные для Cu и Ni в полевом эксперименте. Серпентиновые минералы способствуют снижению степени выщелачивания металлов в результате перераспределения содержания форм, связанных с органическим веществом, в минеральные формы.
Успешное восстановление растительности возможно при условии соответствия технологических приёмов особенностям рельефа и процессам естественного почвообразования. Постепенная минерализация верхнего слоя РТ приводит к утрате РТ своих первоначальных свойств [13]. Потеря органического вещества торфом в перспективе приведет к деградации рекультивационного слоя. Для перезапуска процесса почвообразования в условиях, аналогичным условиям экспериментального участка, целесообразен подход, предусматривающий рекультивацию с применением минеральных субстратов, что позволяет создавать устойчивые искусственные фитоценозы, в которых происходит не потеря, а постепенное накопление органического вещества, т.е. реализуется процесс первичного почвообразования.
БЛАГОДАРНОСТИ
Авторы выражают благодарность ведущему технологу Института химии и технологии редких элементов и минерального сырья КНЦ РАН О.П. Корытной за всестороннюю помощь при проведении исследований.
ИСТОЧНИКИ ФИНАНСИРОВАНИЯ
Исследования выполнены в рамках проекта РНФ № 21-77 10111 (проведение мониторинговых полевых исследований, выполнение химических анализов, интерпретация данных), а также частично – в рамках государственного задания № 1220220400094-6 Института химии и технологии редких элементов и минерального сырья КНЦ РАН (наработка материалов, организация экспериментальных полевых работ).
About the authors
M. V. Slukovskaya
Institute of Chemistry and Technology of Rare Elements and Mineral Raw Materials, Kola Scientific Center of the Russian Academy of Sciences; Laboratory of nature-inspired technologies and environmental safety of the Arctic region, Center for Nanomaterials Science, Kola Scientific Center of the Russian Academy of Sciences
Author for correspondence.
Email: korotaevgren@mail.ru
Russian Federation, Apatity; Apatity
A. G. Petrova
Petrozavodsk State University
Email: korotaevgren@mail.ru
Russian Federation, Petrozavodsk
L. A. Ivanova
Polar-Alpine Botanical Garden-Institute, Kola Scientific Center of the Russian Academy of Sciences
Email: korotaevgren@mail.ru
Russian Federation, Kirovsk
I. A. Mosendz
Institute of Chemistry and Technology of Rare Elements and Mineral Raw Materials, Kola Scientific Center of the Russian Academy of Sciences; Laboratory of nature-inspired technologies and environmental safety of the Arctic region, Center for Nanomaterials Science, Kola Scientific Center of the Russian Academy of Sciences
Email: korotaevgren@mail.ru
Russian Federation, Apatity; Apatity
T. K. Ivanova
Institute of Chemistry and Technology of Rare Elements and Mineral Raw Materials, Kola Scientific Center of the Russian Academy of Sciences; Laboratory of nature-inspired technologies and environmental safety of the Arctic region, Center for Nanomaterials Science, Kola Scientific Center of the Russian Academy of Sciences
Email: korotaevgren@mail.ru
Russian Federation, Apatity; Apatity
S. V. Drogobuzhskaya
Institute of Chemistry and Technology of Rare Elements and Mineral Raw Materials, Kola Scientific Center of the Russian Academy of Sciences
Email: korotaevgren@mail.ru
Russian Federation, Apatity
A. I. Novikov
Institute of Chemistry and Technology of Rare Elements and Mineral Raw Materials, Kola Scientific Center of the Russian Academy of Sciences
Email: korotaevgren@mail.ru
Russian Federation, Apatity
A. A. Shirokaya
Institute of Chemistry and Technology of Rare Elements and Mineral Raw Materials, Kola Scientific Center of the Russian Academy of Sciences
Email: korotaevgren@mail.ru
Russian Federation, Apatity
I. P. Kremenetskaya
Institute of Chemistry and Technology of Rare Elements and Mineral Raw Materials, Kola Scientific Center of the Russian Academy of Sciences
Email: korotaevgren@mail.ru
Russian Federation, Apatity
References
- Лянгузова И. В., Беляева А. И., Катаева М. Н., Волкова Е. Н. Запасы потенциально токсичных элементов в напочвенном покрове сосновых лесов северной тайги при аэротехногенном загрязнении // Ботанический журнал. 2023. Т. 108. № 11. С. 1001–1014.
- Кашулина Г. М., Кубрак А. Н., Коробейникова Н. М. Кислотность почв в окрестностях медно-никелевого комбината “Североникель”, Кольский полуостров // Почвоведение. 2015. № 4. С. 486–500.
- Slukovskaya M. V., Vasenev V. I., Ivashchenko K. V., Dolgikh A. V., Novikov A. I., Kremenetskaya I. P., Ivanova L. A., Gubin S. V. Organic matter accumulation by alkaline-constructed soils in heavily metal-polluted area of Subarctic zone // Journal of Soils and Sediments. 2021. V. 21. P. 2071–2088 https://doi.org/10.1007/s11368-020-02666-4
- Cao C. Y., Yu B., Wang M., Zhao Y. Y., Zhao Y. H. Adsorption properties of Pb2+ on thermal-activated serpentine // Separation Science and Technology. 2019. 54(18). 3037–3045. https://doi.org/10.1080/01496395.2019.1565776
- Wang Z., Tian H., Liu J., Wang J., Lu Q., Xie L. Cd (II) adsorption on earth-abundant serpentine in aqueous environment: Role of interfacial ion specificity // Environmental Pollution. 2023. V. 331. Part 2. 15 August 2023. 121845. https://doi.org/10.1016/j.envpol.2023.121845
- Slukovskaya M. V., Kremenetskaya I. P., Mosendz I. A., Ivanova T. K., Drogobuzhskaya S. V., Ivanova L. A., Novikov A. I., Shirokaya A. A. Thermally activated serpentine materials as soil additives for copper and nickel immobilization in highly polluted peat // Environmental Geochemistry and Health. 2023. V. 45. P. 67–83. https://doi.org/10.1007/s10653-022-01263-3
- Slukovskaya M. V., Petrova A. G., Ivanova L. A., Ivanova T. K., Mosendz I. A., Novikov A. I., Shirokaya A. A., Kovorotniaia M. V., Panikorovskii T. L., Kremenetskaya I. P. Serpentine overburden products—nature-inspired materials for metal detoxification in industrially polluted soil // Toxics. 2023. 11(12). 957 https://doi.org/10.3390/toxics11120957
- Пора озеленять Арктику. Инновационные газонные технологии для создания травяного покрова различного назначения в условиях Заполярья: методические рекомендации. Л.А. Иванова, М.В. Слуковская, И.П. Кременецкая, Т.Т. Горбачева. Апатиты: Издательство ФИЦ КНЦ РАН, 2020. 37 с.: ил.
- Евдокимова Г. А. Эколого-микробиологические основы охраны почв Крайнего Севера. Апатиты: Изд-во КНЦ РАН, 1995. 272 с.
- Воеводина Л. А., Воеводин О. В. Магний для почвы и растений // Мелиорация и гидротехника. 2015. № 2 (18). С. 70–81.
- Матыченков И. В., Хомяков Д. М., Пахненко Е. П., Бочарникова Е. А., Матыченков В.В. Подвижные кремниевые соединения в системе почв-растение и методы их определения // Вестник Московского университета. Серия 17: Почвоведение. 2016. № 3. С. 37–46.
- Slukovskaya M. V., Kremenetskaya I. P., Drogobuzhskaya S. V., Novikov A. I. Sequential Extraction of Potentially Toxic Metals: Alteration of Method for Cu-Ni Polluted Peat Soil of Industrial Barren // Toxics. 2020. 8(2). 39. https://doi.org/10.3390/toxics8020039
- Куликов Я. К., Куликова Е. Я. Формирование биологической активности торфяной почвы в условиях ее коренного улучшения // Вестник Белорусского государственного университета. Сер. 2. Химия. Биология. География. 2005. № 1. С. 45–47.
Supplementary files









