Vertical distribution of thiosulfate and sulfite in the Black Sea
- Authors: Rimskaya-Korsakova M.N.1, Dubinin A.V.1
-
Affiliations:
- Shirshov Institute оf Oceanology, Russian Academy of Sciences
- Issue: Vol 517, No 1 (2024)
- Pages: 61-67
- Section: GEOCHEMISTRY
- Submitted: 13.12.2024
- Accepted: 13.12.2024
- Published: 15.05.2024
- URL: https://ogarev-online.ru/2686-7397/article/view/273057
- DOI: https://doi.org/10.31857/S2686739724070076
- ID: 273057
Cite item
Full Text
Abstract
We obtained the data on the vertical distribution of thiosulfate and sulfite by derivatization with monobromobimane in the water column of the Black Sea for the first time. Thiosulfate and sulfite appeared in detectable quantities below the redox interface along with the appearance of hydrogen sulfide. On the continental slope, the concentration of sulfite reaches 1.12 µM, and thiosulfate 0.53 µM in sea water with a potential density of 16.40–16.80 kg/m3. In the deep part of the sea at a depth of 400 m (potential density 16.96 kg/m3), the concentrations of sulfite and thiosulfate reach their maximum of 1.74 µM and 0.98 µM, respectively. A comparison of data on thiosulfate obtained after filtration and without filtration showed that in the upper part of the anoxic layer, up to 100% of thiosulfate is associated with bacterioplankton. Microbial bound thiosulfate in the cell gradually decreases to a depth of 600 m. These data and the correlation with sulfite and particulate organic carbon suggest that in the upper part of the anoxic zone, thiosulfate and sulfite are predominantly a result of the activity of chemoautotrophic bacteria.
Keywords
Full Text
ВВЕДЕНИЕ
В основе анаэробных процессов в морской среде лежит микробиологическое восстановление сульфата до сульфида в сочетании с окислением органических веществ. Окисление сероводорода обратно в сульфат замыкает цикл серы. Химические превращения соединений серы в крайних степенях окисления – сульфида S2– и сульфата SO42– происходят поэтапно через ряд биохимических реакций, что приводит к образованию широкого спектра соединений серы в промежуточных степенях окисления. Основные промежуточные формы серы в морской воде представлены тиосульфатом S2O32– и сульфитом SO32–, наряду с элементной серой и полисульфидами.
Концентрации тиосульфата и сульфита в природных водах, как правило, не превышают ~10 µM, что свидетельствует о коротком времени пребывания SO32– и S2O32– в бассейнах с анаэробными условиями [4]. Данных по распределению тиосульфата и сульфита в водной толще анаэробных бассейнов не так много. Наиболее обширные исследования проведены во впадине Кариако у берегов Венесуэлы [6, 9, 11, 18]. Сероводород в этом бассейне появляется на глубинах 200–350 м [9]. Концентрации тиосульфата и сульфита растут с глубиной, впервые появляясь в субкислородной зоне, до величин 6.5 и 4.5 µM для SO32– и S2O32– соответственно. Предполагалось, что тиосульфат и сульфит образуются в результате интрузий вод, содержащих кислород. Уменьшение их концентраций во времени связывается с потреблением SO32– и S2O32– хемоавтотрофными микроорганизмами [6, 9]. Определение тиосульфата и сульфида проводилось методом жидкостной хроматографии (ЖХ) после дериватизации с реагентом 2,2'-дитиобис(5-нитропиридин) (ДТНП). В воде фьорда Мариагер (Дания) (глубина хемоклина – 12 м) обе формы SO32– и S2O32– появлялись только в сероводородной зоне [19] (до 5 µМ тиосульфата и 1.5 µМ сульфита). В Готландской впадине Балтийского моря (глубина появления H2S – 125–135 м), был исследован только тиосульфат, и он демонстрировал рост концентраций с глубиной до ~3 µМ [8]. Его образование связывалось с окислением сероводорода вначале кислородом и далее с ростом глубины взвешенными оксидами марганца и железа. Для определения концентраций сульфита и тиосульфата в Мариагер-фьорде и Готландской впадине использовали для дериватизации реагент монобромбиман (MBB).
В Чёрном море (глубина редокс-интерфейса 90–165 м, толщина субкислородной зоны 10–50 м) первые определения тиосульфата и сульфита были проведены методом дистилляции сероводорода [16] после восстановления Cr(II), при котором тиосульфат и сульфит определялись в виде суммы. Содержание суммы форм (SO32– + + S2O32–) росло с глубиной от верхней границы анаэробной зоны [1].
Раздельно профили распределений сульфита и тиосульфата в Чёрном море были получены методом ЖХ после дериватизации этих анионов с ДТНП [14]. При этом оба соединения появлялись в сероводородной зоне и их концентрации росли с глубиной, достигая 2 µM SO32– и 3 µM S2O32–. Попытка повторить подобное определение с использованием ДТНП показала, что достоверно в черноморской воде можно определить лишь тиосульфат [2]. Распределение тиосульфата демонстрировало рост концентраций с глубиной, при этом максимальная из измеренных концентрация составила 0.34 µM S2O32–.
Из представленного короткого обзора становится понятным, что имеющиеся данные по тиосульфату и сульфиту в воде Чёрного моря крайне скудны. Полученные результаты имеются либо в виде суммы форм, либо только для тиосульфата. Основная цель данной работы – представить первые раздельные данные по тиосульфату и сульфиту в воде Чёрного моря.
МАТЕРИАЛЫ И МЕТОДЫ
Пробы морской воды для исследований отбирали в ходе экспедиции “Чёрное море-2022” на станции Ашамба-28 (13.07.2022) с координатами 44.489° с. ш., 37.869° в. д. в 7 милях от Голубой бухты г. Геленджика с борта МНИС “Ашамба” (глубина дна 1200 м). Пробы из глубоководной части моря были отобраны в 124-м рейсе НИС “Профессор Водяницкий” 04.10.2022 на станции 237 с координатами 43.545°с. ш. 32.062°в. д. (глубина дна 1966 м). Пробы отбирали батометрами Нискина (Sea Bird Electronics, объёмом 4 л и General Oceanics объёмом 8 л на МНИС “Ашамба” и НИС “Профессор Водяницкий” соответственно). Гидрофизические параметры водной толщи измеряли зондом “Sea Bird 19+” на МНИС “Ашамба” и комплексом IdronautOceanseven 320 PlusM. Во время пробоотбора батометры заполняли аргоном.
Основанием для раздельного определения SO32– и S2O32– послужила методика из работ [15, 19]. Из каждого батометра отбирали по две пробы. Образец морской воды объемом 500–мкл для определения SO32– и S2O32– отбирали из батометра газонепроницаемым шприцем (Gamilton) и помещали в виалу тёмного стекла, заполненную аргоном. Затем туда же немедленно добавляли для дериватизации последовательно 50 мкл буфера HEPES-EDTA (pH 8, 500 мM и 50 мM) и 50 мкл реагента MBB (Sigma; 45 мM в ацетонитриле). Через 30 минут реакцию дериватизации останавливали добавлением 50 мкл метансульфоновой кислоты (324 мМ). Образцы сразу замораживали и хранили до анализа в ближайшие несколько дней при температуре не выше –15°С.
Определение проводили на хроматографе Shimadzu LC-20AD с флюоресцентным детектором (ФЛД) RF-10Axl (λ возбуждения – 380 нм, детектирования – 480 нм) и спектрофотометрическим детектором (СФД) SPD-20AV (λ = 250 нм). Используемая колонка – LiChrospher 60 RP-select B (125×4.0 мм, 5 μм) и предколонка – Supelguard Discovery C18 (2 см×4.0 мм, 5 μм). Объём образца для анализа 50–100 мкл. Элюент А – 0.25% уксусная кислота (хч), доведённая 5М NaOH до рН 3.5, элюент B – метанол 100% (HPLC-grade), скорость подвижной фазы 1 мл/мин. Колонка термостатируется при +35°С. Используемая градиентная схема была заимствована из [13] c незначительными изменениями: старт, от 10% B до 12% B 7 min; от 12% B до 30% B 8 мин; 30% B 4 мин; от 30% B до 50% B 4 мин; от 50% B до 100% B 7 мин; 100% B 3 мин; от 100% B до 10% B 4 мин; 10% B 2 мин.
Хроматографический сигнал параллельно снимали с двух детекторов. Поскольку в аналогичных исследованиях мы не встречали спектрофотометрического детектирования, то в рамках настоящего исследования провели оценку его возможного использования. Данные с двух детекторов показали хорошую сходимость – отличие составило не более 6% для концентраций тиосульфата более 0.2 μМ. Пределы обнаружения составили для SO32– и S2O32– соответственно: 0.27 µМ и 0.04 µМ (ФЛД) и 0.54 µМ и 0.04 µМ (СПД). Поскольку сигнал от холостого опыта был равен нулю, то предел обнаружения оценивали с помощью стандартного отклонения градуировочной зависимости. Сероводород в пробах воды определяли спектрофотометрически с N,N-диметил-п-фенилендиамином; кислород – титриметрически по методу Винклера [2].
РЕЗУЛЬТАТЫ
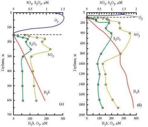
Верхняя граница появления сероводорода на станции Ашамба-28 находилась на глубине 153 м (табл. 1). Стандартное отклонение, рассчитанное на основе анализа параллельных проб из каждого батометра, в среднем было заметно ниже для тиосульфата (0.02 µM) по сравнению с сульфитом (0.05 µM).
Таблица 1. Концентрации растворённых кислорода, сероводорода, тиосульфата и сульфита в морской воде на станции Ашамба-28
Глубина, м | σθ кг/м3 | H2S µM | O2 µM | SO3 µМ | S2O3 µМ |
141 | 16.02 | н.о. | 2 | <ПО | <ПО |
148 | 16.12 | н.о. | 2 | <ПО | <ПО |
153 | 16.19 | 0.4 | н.о. | 0.35 | <ПО |
160 | 16.28 | 4 | н.о. | 0.48 | 0.14 |
170 | 16.34 | 9 | н.о. | 0.72 | 0.29 |
180 | 16.41 | 14 | н.о. | 0.95 | 0.44 |
200 | 16.53 | 25 | н.о. | 0.87 | 0.39 |
250 | 16.70 | 49 | н.о. | 1.12 | 0.53 |
300 | 16.79 | 68 | н.о. | 0.54 | 0.29 |
400 | 16.92 | 110 | н.о. | 0.59 | 0.27 |
500 | 17.00 | 150 | н.о. | 0.62 | 0.28 |
601 | 17.08 | 192 | н.о. | 0.70 | 0.29 |
Примечание. н.о. – не определяли; ПО – предел обнаружения.
Тиосульфат и сульфит были обнаружены только в сероводородной зоне моря. Концентрации тиосульфата становятся ниже предела обнаружения на горизонте, соответствующем редокс интерфейсу (условная плотность ~16.2 кг/м3), а сульфита – при σθ = 16.0 кг/м3 (табл. 1). Сульфит на глубинах с условной плотностью 16.02 и 16.12 кг/м3 (табл. 1) присутствует в следовых количествах в виде незначительных пиков на хроматограммах.
Распределение тиосульфата и сульфита в зависимости от глубины имеет сходный вид, при этом тиосульфата примерно в 2 раза меньше (рис. 1 а). Такое же соотношение тиосульфата и сульфита близкое 0.5 обнаружено в анаэробной зоне впадины Кариако [9]. На профиле распределения SO32– и S2O32– наблюдается чёткий максимум в верхней части сероводородной зоны, до слоя условной плотности 16.80 кг/м3 (глубина 300 м), ниже которого концентрация тиосульфата практически не меняется 0.28±0.01 µM, а сульфита меняется с небольшим ростом концентраций примерно на 10%.
Рис. 1. Распределение сероводорода, кислорода, тиосульфата и сульфита с глубиной в Чёрном море на станции Ашамба-28 (13.07.2022) (а) и на станции 237 (04.10.2022) (б).
Станция 237 расположена примерно в 150 км на юго-запад от побережья полуострова Крым, в центре западного антициклонического круговорота. Сероводород в месте расположения станции 237 появляется на глубине примерно 95 м (табл. 2, рис. 1 б). Распределение тиосульфата и сульфита с глубиной имеет общие черты. Максимальных концентраций обе формы достигают на глубине 400 м, при этом область повышенных концентраций обнаружена на интервале глубин 200–800 м. К придонной области от глубины 1000 м концентрации сульфита вырастают в два раза (до 1.26 µM), а тиосульфата в полтора раза (0.64 µM).
Таблица 2. Концентрации растворённых кислорода, сероводорода, тиосульфата и сульфита в морской воде на станции 237
Глубина, м | σθ кг/м3 | H2S µM | O2 µM | SO3 µМ | S2O3 µМ |
84 | 16.11 | н.о. | 3.3 | <ПО | <ПО |
95 | 16.20 | 0.9 | н.о. | <ПО | 0.02 |
100 | 16.25 | 3.6 | н.о. | 0.45 | 0.10 |
110 | 16.32 | 9.7 | н.о. | 0.65 | 0.19 |
121 | 16.40 | 13 | н.о. | 0.79 | 0.26 |
131 | 16.44 | 17 | н.о. | 0.84 | 0.36 |
151 | 16.54 | 26 | н.о. | 0.91 | 0.38 |
200 | 16.69 | 48 | н.о. | 1.32 | 0.90 |
300 | 16.86 | 92 | н.о. | 1.34 | 0.77 |
400 | 16.96 | 147 | н.о. | 1.74 | 0.98 |
801 | 17.16 | 259 | н.о. | 1.36 | 0.58 |
1001 | 17.19 | 262 | н.о. | 0.65 | 0.43 |
1200 | 17.21 | 299 | н.о. | 0.75 | 0.52 |
1401 | 17.21 | 313 | н.о. | 0.77 | 0.45 |
1701 | 17.21 | 344 | н.о. | 1.04 | 0.51 |
1861 | 17.21 | 352 | н.о. | 1.26 | 0.64 |
Примечание. н.о. – не определяли; ПО – предел обнаружения.
Концентрации SO32– и S2O32– статистически значимо коррелируют на обеих станциях: r = 0.96 (n = 9) и 0.90 (n = 14) для станций Ашамба-28 и 237 соответственно. Относительно условной плотности на обеих станциях концентрации SO32– и S2O32– практически одинаковые, начиная с верхней границы сероводородной зоны и до глубины соответствующей σθ~16.6 кг/м3. Глубже этого горизонта в пелагической части моря (ст. 237) концентрации сульфита и тиосульфата постепенно растут в направлении дна (табл. 1 и 2).
ОБСУЖДЕНИЕ РЕЗУЛЬТАТОВ
Имеется заметное отличие распределения концентраций S2O32– в Чёрном море, полученных ранее методом дериватизации с ДТНП [ ] и методом дериватизации с MBB в настоящем исследовании (рис. 2). Они вызваны различиями в пробоподготовке. В методе с ДТНП присутствовала процедура фильтрования образца после проведения дериватизации, а в методе с MBB её не было. Размеры бактериальных клеток превышают размеры пор используемых фильтров 0.45 µM. Следовательно, при фильтровании может быть удалён тиосульфат, ассоциированный с взвешенным веществом (бактериальным планктоном).
Рис. 2. Распределение Mn+3 (1), Mn+4 (2), Fe+3 (3), тиосульфата (дериватизация с MBB) (4) и тиосульфата (дериватизация с ДТНП) (5) в зависимости от σθ. Заштрихованная область – максимальные концентрации от 12.07.2018 и минимальные от 07.07.2021 за 4 года исследований на станциях серии Ашамба [2]. Пунктиром показан редокс интерфейс (σθ 16.20 кг/м3). Марганец и тиосульфат (ДТНП) из работы [2], данные по Fe получены на станции Ашамба-27 (11.07.2022).
В работе [2] приводятся данные по тиосульфату, полученные методом дериватизации с ДТНП на станции Ашамба за 4 года наблюдений (2018–2021). Концентрации тиосульфата росли с глубиной, их максимальные и минимальные величины, найденные за время исследования, приведены на рис. 2. Сравнение данных по тиосульфату двух методов позволяет определить долю тиосульфата, связанную с бактериальными клетками. Она равна разнице между концентрациями тиосульфата, которые получены методом с MBB и ДТНП. Очевидно, что тиосульфат, и, вероятно, сульфит, связанный с клетками бактерий, доминирует в верхней части анаэробной зоны и лишь на глубине порядка 600 м (плотность 17.1 кг/м3) данные двух методов становятся практически одинаковыми (рис. 2).
Экспериментально подтверждено, что тиосульфат и сульфит на границе окисленных и восстановленных вод образуются в результате окисления сероводорода [5, 6, 8, 18, 19]. Этот процесс протекает как абиогенным, так и микробиологическим путём. Скорость микробиологического процесса может заметно превышать абиогенный [7].
Окисление сероводорода в Чёрном море растворённым кислородом не реализуется, поскольку анаэробная зона отделена от окисленной зоны слоем субокисленных вод толщиной 10–50 м с исчезающе малым содержанием кислорода (<0.3 µM) [10]. В Чёрном море окислителями сероводорода служат взвешенные формы оксидов марганца (III, IV) и железа (III):
2H2S + 4MnO2 + 6H+ = 4Mn2+ + S2O32– + 5H2O
H2S + 3MnO2 + 4H+ = 3Mn2+ + SO32–+ 3H2O
2H2S + 8FeOOH + 14H+ = 8Fe2+ + S2O32–+ 13H2O
H2S + 6FeOOH + 10H+ = 6Fe2+ + SO32– + 9H2O.
Оксиды марганца и железа во взвешенном состоянии опускаются под действием силы тяжести в анаэробную зону, где окисляют сероводород. Восстановленные Mn2+ и Fe2+ диффундируют вверх в кислородную зону и окисляются растворённым кислородом. Затем цикл повторяется [3]. Максимумы гидрохимических параметров в Чёрном море приурочены к водным горизонтам с определёнными условными плотностями [10]. Изопикны имеют выпуклую форму (dome-shaped) благодаря циклонической завихренности водных масс. Это позволяет сравнивать распределение максимумов гидрохимических параметров в поле плотности вне зависимости от положения станции в акватории Чёрного моря и независимо от времени наблюдения. На рис. 2 приведено распределение тиосульфата с глубиной на станции Ашамба-28. На станции Ашамба-27 (11.07.2022) (здесь и далее координаты станций Ашамба вне зависимости от номера станции одни и те же) было определено Fe(III), а распределение Mn (III, IV) получено тремя годами ранее на станции Ашамба-19 (12.07.2019) [2]. Тиосульфат (и сульфит) могут быть продуктами окисления сероводорода окисленными формами марганца и железа (рис. 2). Максимумы окисленных форм Mn и Fe совпадают по плотности с началом роста концентраций тиосульфата (и сульфита).
Эти окислители используются хемоавтотрофными бактериями для окисления сероводорода в верхней части анаэробной толщи [7, 17]. Косвенно это подтверждается совпадением максимумов тисульфата и сульфита с взвешенным органическим углеродом (POC – particulate organic carbon) (рис. 3) в верхней части анаэробной зоны в поле плотности [17]. Следовательно, их повышенные концентрации могут быть вызваны активностью бактериального сообщества, которое располагается преимущественно на этих же глубинах.
Рис. 3. Изменение концентраций взвешенного органического углерода (1), тиосульфата (×10) (2) и сульфита (×5) (3). Пунктиром показан редокс интерфейс (σθ 16.20 кг/м3). Данные для POC получены на станции Ашамба – 21 (20.07.2020).
Прямым доказательством того, что, по крайней мере, тиосульфат, в значительной степени связан с бактериопланктоном в верхней части анаэробной зоны, может служить соотношение форм тиосульфата, полученных на основании методики определения с ДТНП (растворённая форма) и с MBB (сумма растворённой и взвешенной форм). Для сравнения мы использовали данные по распределению тиосульфата на станции Ашамба-15 от 12.07.2018 [2] (рис. 2). До глубины 180 м (σθ = 16.41 кг/м3) в анаэробной зоне практически весь тиосульфат ассоциирован с бактериопланктоном с размером частиц более 0.45 мкм. Вниз его доля постепенно уменьшается, практически исчезая уже на глубине 600 м.
Максимальные скорости темновой фиксации CO2 в Чёрном море были определены в самой верхней части сероводородной зоны до глубин ~150 м в пелагической части Чёрного моря [5]. В той же работе утверждалось, что основным продуктом окисления сульфида является тиосульфат (68–82%). Соотношение SO32– и S2O32– в воде Чёрного моря меняется в водной толще от более 4 в самой верхней части анаэробной зоны до менее 2 на глубине 300 м, причём минимум достигается на обеих станциях на одинаковой глубине. Далее до дна отношение сульфит/тиосульфат мало меняется, оставаясь равным 1.8±0.3. Поскольку сульфит ведёт себя также как тиосульфат, то его основная форма глубже 600 м, вероятно, будет в основном растворённая.
ЗАКЛЮЧЕНИЕ
Методом дериватизации с MBB впервые получены данные по вертикальному распределению тиосульфата и сульфита в воде Чёрного моря. Тиосульфат и сульфит в определимых количествах появляются ниже редокс интерфейса с появлением сероводорода. Их вертикальное распределение на континентальном склоне отличается максимумом в области условной плотности 16.40–16.80 кг/м3, содержание сульфита достигает величины 1.12 µМ, а тиосульфата 0.53 µМ. В центре моря максимум сульфита равен 1.74 µМ, а тиосульфата – 0.98 µМ. Обе формы серы достигают своих максимальных концентраций на горизонте 400 м (условная плотность 16.96 кг/м3). На обеих станциях тиосульфат и сульфит тесно коррелируют, что свидетельствует об их участии в одинаковых процессах в окислительно-восстановительном цикле серы в черноморской воде. Максимум обеих форм серы, вероятно, связан с окислением сульфида хемоавтотрофными бактериями за счёт восстановления окисленных форм марганца и железа. Концентрация тиосульфата, полученная методом с MBB представляет собой валовое содержание тиосульфата (и видимо, сульфита) в оде, в то время как определение S2O32– с ДТНП после процедуры фильтрации приводит к потере тиосульфата, связанного с бактериальными клетками. Исходя из этих данных, можно полагать, что в верхней части анаэробной зоны преобладает тиосульфат внутри клеточных мембран бактерий. Ниже максимума концентраций на обеих станциях тиосульфат и сульфит слабо растут с глубиной в водной толще.
ИСТОЧНИК ФИНАНСИРОВАНИЯ
Исследование выполнено за счёт гранта Российского научного фонда № 23-27-00355, https://rscf.ru/project/23-27-00355
About the authors
M. N. Rimskaya-Korsakova
Shirshov Institute оf Oceanology, Russian Academy of Sciences
Author for correspondence.
Email: korsakova@ocean.ru
Russian Federation, Moscow
A. V. Dubinin
Shirshov Institute оf Oceanology, Russian Academy of Sciences
Email: korsakova@ocean.ru
Russian Federation, Moscow
References
- Дубинин А. В., Демидова Т. П., Римская-Корсакова М. Н. и др. Определение восстановленных форм серы в воде анаэробных бассейнов // Морской гидрофизический журнал. 2019. Т. 35. № 1. С. 37–51. doi: 10.22449/0233-7584-2019-1-37-51.
- Дубинин А. В., Римская-Корсакова М. Н., Очередник О. А., Пахомова С. В. Тиосульфат в верхней части анаэробной зоны Чёрного моря // Океанология. 2023. Т. 63. № 3. С. 382–391.
- Dellwig O., Leipe T., März et al. A new particulate Mn-Fe-P-shuttle at the redoxcline of anoxic basins // Geochim. Cosmochim. Acta. 2010. V. 74. P. 7100–7115.
- Findlay A. J., Kamyshny A. Turnover Rates of Intermediate Sulfur Species (Sx2− , S0, S2O32−, S4O62−, SO32−) in Anoxic Freshwater and Sediments // Front. Microbiol. 2017. V. 8. P. 2551. doi: 10.3389/fmicb.2017.02551.
- Jørgensen B. B., Fossing H., Wirsen C. O. et al. Sulfide oxidation in the anoxic Black Sea chemocline // Deep-Sea Res. 1991. V. 38. № 2. S1083-S1103.
- Hayes M. K., Taylor G. T., Astor Y., Scranton M. I. Vertical distributions of thiosulfate and sulfite in the Cariaco Basin // Limnol. Oceanogr. 2006. V. 51. № 1. P. 280–287.
- Henkel J. V., Schulz-Vogt H. N., Dellwig O. et al. Biological manganese –dependent sulfide oxidation impacts elemental gradients in redox-stratified systems: indications from the Black Sea water column // ISME Journal. 2022. V. 16. P. 1523–1533.
- Kamyshny A., Yakushev E. V., Jost G., Podymov O. I. Role of Sulfide Oxidation Intermediates in the Redox Balance of the Oxic–Anoxic Interface of the Gotland Deep, Baltic Sea / In: E. V. Yakushev (Ed.), Chemical Structure of Pelagic Redox Interfaces: Observation and Modeling, Hdb Env Chem (2013) 22: 95–120, doi: 10.1007/698_2010_83.
- Li X., Taylor G. T., Astor Y. et al. Relationship of sulfur speciation to hydrographic conditions and chemoautotrophic production in the Cariaco Basin // Marine Chem. 2008. V. 112. P. 53–64.
- Murray J. W., Yakushev E. The suboxic transition zone in the Black sea / In: Neretin L.N. (ed.). Past and Present Water Column Anoxia. Springer, 2006. P. 105–138.
- Percy D., Li X., Taylor G. T. et al. Controls on iron, manganese and intermediate oxidation cate sulfur compounds in the Cariaco Basin // Marine Chem. 2008. V. 111. P. 47–62.
- Pimenov N. V., Neretin L. N. Composition and activities of microbial communities involved in carbon, sulfur, nitrogen and manganese cycling in the oxic/anoxic interface of the Black Sea / In: Neretin L. N.(Ed.) Past and present water column anoxia. Elsevier, 2006. P. 501–521.
- Rethmeier J., Rabenstein A., Langer M., Fischer U. Detection of traces of oxidized and reduced sulfur compounds in small samples by combination of different high-performance liquid chromatography methods // J. Chromatography A. 1997. V. 760. P. 295–302.
- Vairavamurthy A., Mopper K. Determination of sulfite and thiosulfate in aqueous samples including anoxic seawater by liquid chromatography afterderivatization with 2,2’-dithiobis(5-nitropyridine) // Environment Sci. Technol. 1990. V. 24. P. 333–337.
- Vetter R. D., Matrai E. A., Jarvor B., O’Brian J. Reduced sulfur compounds in the marine environment / In: Saltzman E. S., Cooper W. J. (Eds). Biogenic Sulfur in the Environment (ACS Symposium Series, No. 393). Washington, DC: American Chemical Society, 1989. P. 243–261.
- Volkov I. I., Neretin L. N. Hydrogen sulfide in the Black Sea / In: Kostianoy A. G., Kosarev A. N. (Eds.). The Black Sea environment. Berlin; Heidelberg; New York: Springer-Verlag, 2008. P. 309–331.
- Wakeham S. G., Amann R., Freeman K. H. et al. Microbial ecology of the stratified water column of the Black Sea as revealed by a comprehensive biomarker study // Organic Geochemistry. 2007. V. 38. P. 2070–2097.
- Zhang J-Z., Millero F. J. The chemistry of the anoxic waters in the Cariaco Trench // Deep-Sea Research. 1993. V. 40. № 5. P. 1023–1041.
- Zopfi J., Ferdelman T. G., Jørgensen B. B. et al. Influence of water column dynamics on sulfide oxidation and other major biogeochemical processes in the chemocline of Mariager Fjord (Denmark) // Marine Chemistry. 2001. V. 74. P. 29–51.
Supplementary files





