HELIUM ISOTOPIC COMPOSITION IN ALKALINE INTRUSIONS OF THE HOVSGOL AREA, NORTHWESTERN MONGOLIA
- Authors: Vrublevskii V.V.1, Kozlov E.N.2, Fomina E.N.2, Gertner I.F.1, Vishnevskii A.V.3,4, Shelepaev R.A.3,4, Semiryakov A.S.1, Sidorov M.Y.2, Gudkov A.V.2, Petlina A.A.1, Udoratina O.V.5
-
Affiliations:
- National Research Tomsk State University
- Geological Institute of Kola Science Centre of Russian Academy of Sciences
- Sobolev Institute of Geology and Mineralogy, Siberian branch of Russian Academy of Sciences
- National Research Novosibirsk State University
- Institute of Geology Komi, Ural branch of Russian Academy of Sciences
- Issue: Vol 512, No 2 (2023)
- Pages: 207-211
- Section: GEOCHEMISTRY
- Submitted: 18.10.2023
- Published: 01.10.2023
- URL: https://ogarev-online.ru/2686-7397/article/view/140409
- DOI: https://doi.org/10.31857/S2686739723600315
- EDN: https://elibrary.ru/MTDLPQ
- ID: 140409
Cite item
Full Text
Abstract
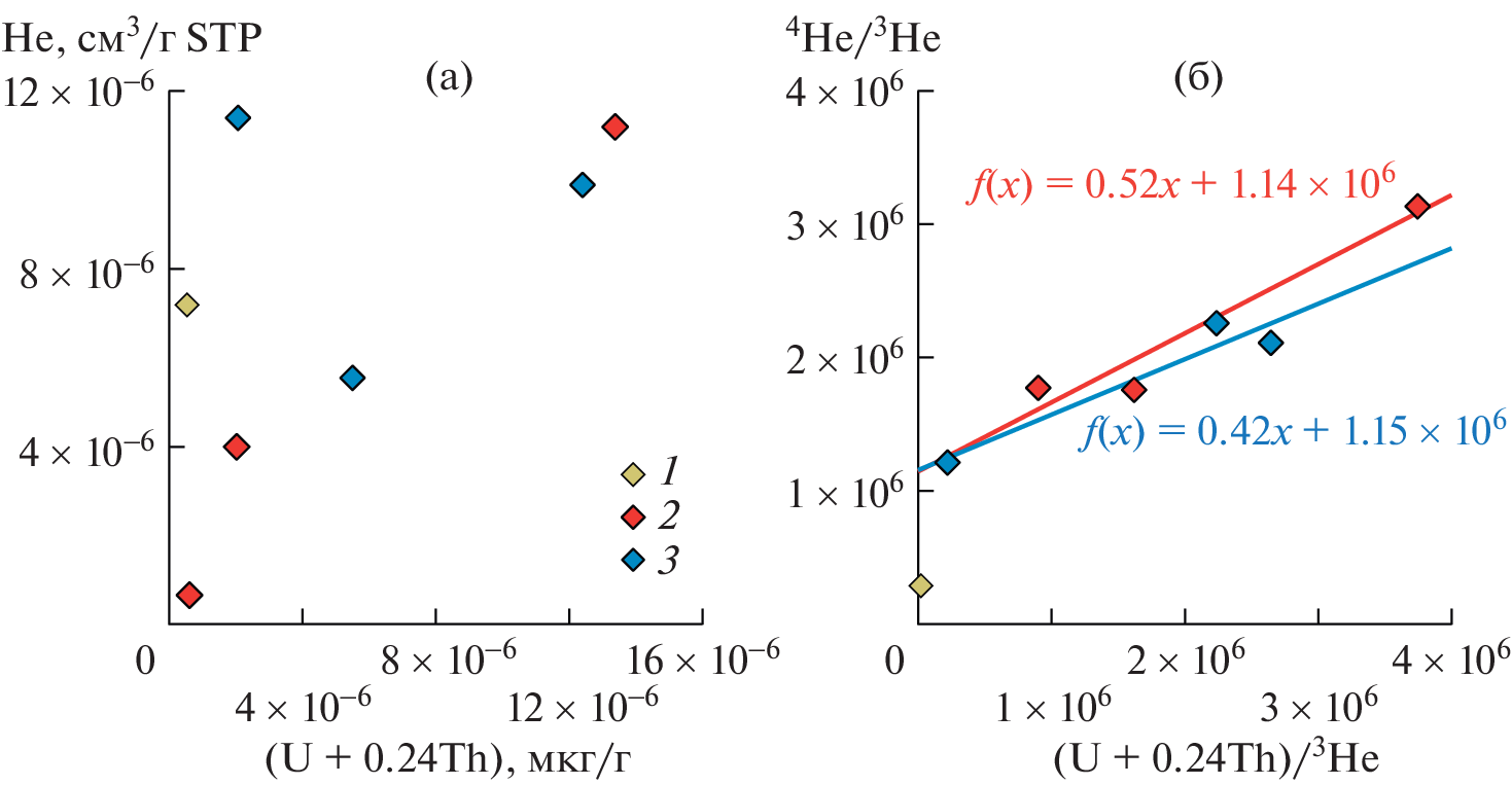
The helium isotope composition of fluid inclusions has been studied in magnetite from alkaline and subalkaline intrusions of the Hovsgol area in NW Mongolia. The measured content of 4He is in the range from 6.6 × 10–7 to 114 × 10–7 см3/г. The 3He/4He isotopic ratio of most samples varies within 0.23–0.59 Ra and may indicate the presence of helium from different sources in the magmatogenic fluid. The largest amount of mantle He (2.51 Ra) is hosted by the magnetite of the subalkaline gabbro. During the generation of primary magma, which probably involved either SCLM-type material or a plume-like reservoir less enriched in 3He, the mantle component accounted for approximately 40–60%. In the evolution of foid and alkali-syenite melts, its share did not exceed ~10–15% due to mixing with crustal radiogenic He. We assume that the intrusions interacted with fragments of Precambrian accretionary-collisional complexes of the Tuva-Mongolian terrane. Such mixing of He isotopes in melts and fluids may be regarded as circumstantial evidence supporting the development of mantle magmatism at the active continental margin.
About the authors
V. V. Vrublevskii
National Research Tomsk State University
Author for correspondence.
Email: vasvr@yandex.ru
Russian, Tomsk
E. N. Kozlov
Geological Institute of Kola Science Centre of Russian Academy of Sciences
Email: vasvr@yandex.ru
Russian, Apatity
E. N. Fomina
Geological Institute of Kola Science Centre of Russian Academy of Sciences
Email: vasvr@yandex.ru
Russian, Apatity
I. F. Gertner
National Research Tomsk State University
Email: vasvr@yandex.ru
Russian, Tomsk
A. V. Vishnevskii
Sobolev Institute of Geology and Mineralogy, Siberian branch of Russian Academy of Sciences; National Research Novosibirsk State University
Email: vasvr@yandex.ru
Russian, Novosibirsk; Russian, Novosibirsk
R. A. Shelepaev
Sobolev Institute of Geology and Mineralogy, Siberian branch of Russian Academy of Sciences; National Research Novosibirsk State University
Email: vasvr@yandex.ru
Russian, Novosibirsk; Russian, Novosibirsk
A. S. Semiryakov
National Research Tomsk State University
Email: vasvr@yandex.ru
Russian, Tomsk
M. Yu. Sidorov
Geological Institute of Kola Science Centre of Russian Academy of Sciences
Email: vasvr@yandex.ru
Russian, Apatity
A. V. Gudkov
Geological Institute of Kola Science Centre of Russian Academy of Sciences
Email: vasvr@yandex.ru
Russian, Apatity
A. A. Petlina
National Research Tomsk State University
Email: vasvr@yandex.ru
Russian, Tomsk
O. V. Udoratina
Institute of Geology Komi, Ural branch of Russian Academy of Sciences
Email: vasvr@yandex.ru
Russian, Syktyvkar
References
- Ernst R.E. Large igneous provinces. Cambridge: Cambridge University Press, 2014. 630 p.
- Gwalani L.G., Moore K., Simonetti A. Carbonatites, alkaline rocks and the mantle: a special issue dedicated to Keith Bell // Mineralogy and Petrology. 2010. V. 98. P. 5–10.
- Nikiforov A.V., Yarmolyuk V.V. Late Mesozoic carbonatite provinces in Central Asia: Their compositions, sources and genetic settings // Gondwana Research. 2019. V. 69. P. 56–72.
- Vrublevskii V.V., Nikiforov A.V., Sugorakova A.M., Kozulina T.V. Petrogenesis and tectonic setting of the Cambrian Kharly alkaline–carbonatite complex (Sangilen Plateau, Southern Siberia): Implications for the Early Paleozoic evolution of magmatism in the western Central Asian Orogenic Belt // Journal of Asian Earth Sciences. 2020. V. 188. 104163.
- Врублевский В.В., Гертнер И.Ф. Палеозойские щелочно-мафитовые интрузии Кузнецкого Алатау, их источники и условия образования расплавов // Петрология. 2021. Т. 29. № 1. С. 31–63.
- Doroshkevich A.G., Ripp G.S., Izbrodin I.A., Savaten-kov V.M. Alkaline magmatism of the Vitim province, West Transbaikalia, Russia: Age, mineralogical, geochemical and isotope (O, C, D, Sr and Nd) data // Lithos. 2012. V. 152. P. 157–172.
- Izbrodin I., Doroshkevich A., Rampilov M., Lastochkin E., Savatenkov V., Posokhov V., Khubanov V., Redina A. Age and petrogenesis of scapolite gabbro from the Bambuy intrusion (Vitim plateau, Russia) and their tectonic significance // International Journal of Earth Sciences. 2022. V. 111. P. 1859–1883.
- Stuart F.M., Lass-Evans S., Fitton J. G., Ellam R.M. High 3He/4He ratios in picritic basalts from Baffin Island and the role of a mixed reservoir in mantle plumes // Nature. 2003. V. 424. N 6944. P. 57–59.
- Gautheron C., Moreira M. Helium signature of the subcontinental lithospheric mantle // Earth and Planetary Science Letters. 2002. V. 199. P. 39–47.
- Mamyrin B.A., Tolstikhin I.N. Helium isotopes in nature. Amsterdam, New York: Elsevier, 1984. 288 p.
- Яшина Р.М. Щелочной магматизм складчато-глыбовых областей (на примере южного обрамления Сибирской платформы). М.: Наука, 1982. 274 с.
- Vrublevskii V.V., Gertner I.F., Ernst R.E., Izokh A.E., Vishnevskii A.V. The Overmaraat-Gol alkaline pluton in Northern Mongolia: U–Pb age and preliminary implications for magma sources and tectonic setting // Minerals. 2019. V. 9 (3). Art. 170.
- Скиба В.И., Каменский И.Л., Ганнибал М.А., Пахомовский Я.А. Распределение изотопов гелия и аргона в амфиболе из кварц-полевошпатовой жилы контактовой зоны Понойского массива (Кольский полуостров) // Записки РМО. 2018. Т. 147. № 4. С. 96–107.
- Буйкин А.И., Камалеева А.И., Сорохтина Н.В. К вопросу об эффективности разделения захваченных и образованных in situ компонентов благородных газов при дроблении образцов в вакууме // Геохимия. 2018. № 6. С. 586–593.
- Moreira M., Doucelance R., Kurz M.D., Dupré B., Allègre C.J. Helium and lead isotope geochemistry of the Azores Archipelago // Earth and Planetary Science Letters. 1999. V. 169. P. 189–205.
- Kendrick M.A., Burgess R., Pattrick R.A.D., Turner G. Fluid inclusion noble gas and halogen evidence on the origin of Cu-porphyry mineralizing fluids // Geochimica et Cosmochimica Acta. 2001. V. 65. P. 2651–2668.
- Кузьмичев А.Б. Тектоническая история Тувино-Монгольского массива: раннебайкальский, позднебайкальский и раннекаледонский этапы. (Ред. Е.В. Скляров). Москва: ПРОБЕЛ-2000, 2004. 192 с.
- Ярмолюк В.В., Кузьмин М.И., Воронцов А.А. Конвергентные границы западно-тихоокеанского типа и их роль в формировании Центрально-Азиатского складчатого пояса // Геология и геофизика. 2013. Т. 54. № 12. С. 1831–1850.
Supplementary files



