Ансамблевое моделирование динамики ледовых щитов в последнем ледниковом цикле
- Авторы: Плосков А.Н.1,2, Елисеев А.В.1,2,3, Мохов И.И.1,2
-
Учреждения:
- Московский государственный университет имени М.В. Ломоносова
- Институт физики атмосферы им. А.М. Обухова Российской академии наук
- Казанский федеральный университет
- Выпуск: Том 510, № 1 (2023)
- Страницы: 99-105
- Раздел: КЛИМАТИЧЕСКИЕ ПРОЦЕССЫ
- Статья получена: 14.10.2023
- Статья опубликована: 01.05.2023
- URL: https://ogarev-online.ru/2686-7397/article/view/135856
- DOI: https://doi.org/10.31857/S2686739722602873
- EDN: https://elibrary.ru/FFJOIY
- ID: 135856
Цитировать
Полный текст
Аннотация
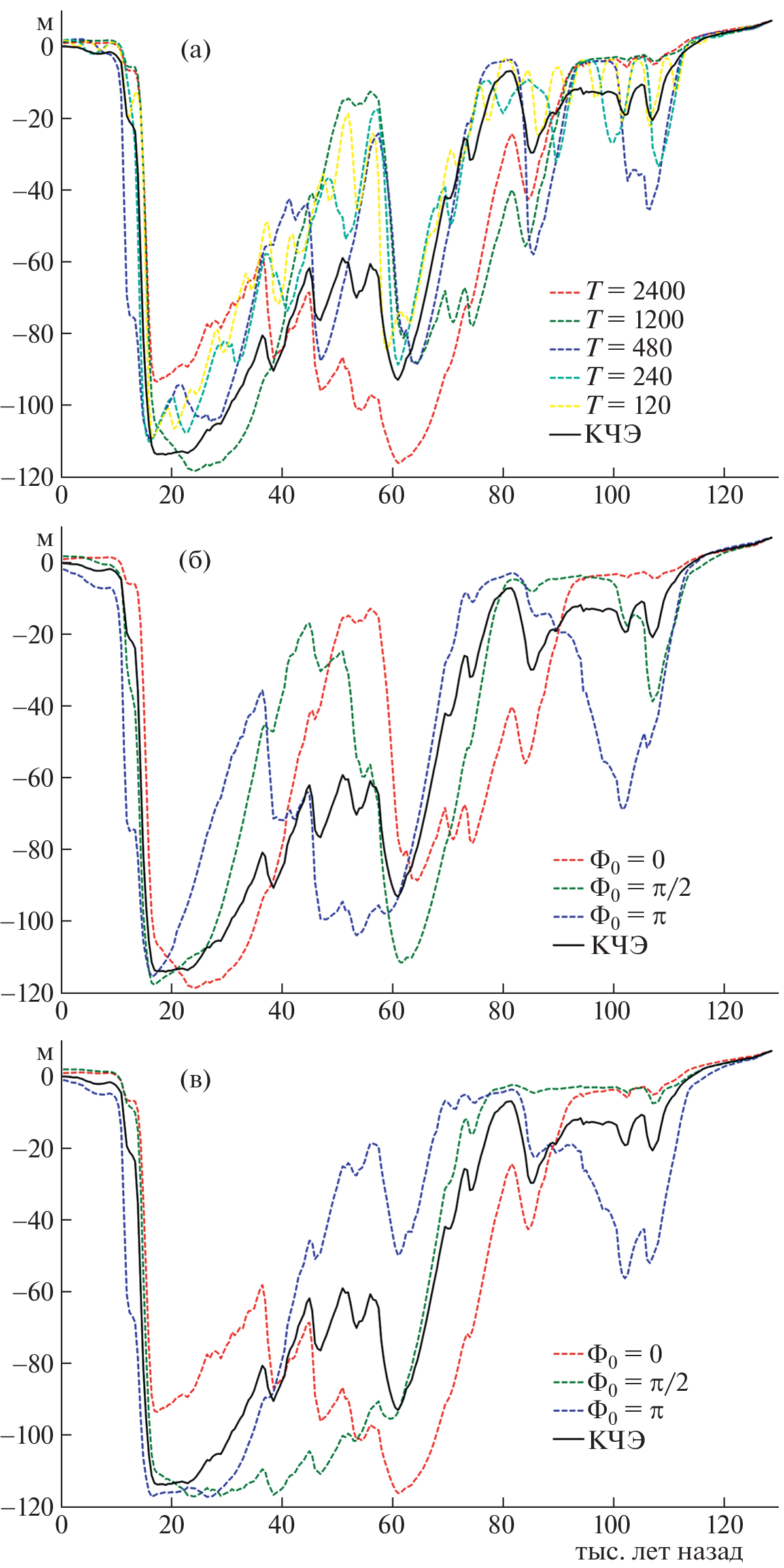
Проведены ансамблевые (с учетом неопределенности климатических палеореконструкций) численные эксперименты с моделью динамики ледовых щитов для последнего ледникового цикла (128 тыс. лет). Модель в целом удовлетворительно воспроизводит пространственное распределение ледовых щитов и высоты их куполов в Северном полушарии, а также соответствующие изменения уровня океана. При возмущении с достаточно большой амплитудой палеоклиматических данных в модели выявляются существенные различия результатов моделирования ледовых щитов Северного полушария от полученных для исходной палеореконструкции, в том числе для периода последнего ледникового максимума и для временного интервала 58–51 тыс. лет назад (начальная часть MIS3). Согласно модельным результатам, неопределенность глобальных реконструкций для последнего ледникового цикла составляет 2°С, что согласуется с имеющимися оценками.
Об авторах
А. Н. Плосков
Московский государственный университетимени М.В. Ломоносова; Институт физики атмосферы им. А.М. Обухова Российской академии наук
Автор, ответственный за переписку.
Email: ploskovanton92@mail.ru
Россия, Москва; Россия, Москва
А. В. Елисеев
Московский государственный университетимени М.В. Ломоносова; Институт физики атмосферы им. А.М. Обухова Российской академии наук; Казанский федеральный университет
Email: ploskovanton92@mail.ru
Россия, Москва; Россия, Москва; Россия, Казань
И. И. Мохов
Московский государственный университетимени М.В. Ломоносова; Институт физики атмосферы им. А.М. Обухова Российской академии наук
Email: ploskovanton92@mail.ru
Россия, Москва; Россия, Москва
Список литературы
- Calov R., Ganopolski A. Multistability and hysteresis in the climate-cryosphere system under orbital forcing // Geophys. Res. Lett. 2005. V. 32 (21). L21717.
- Berger A., Loutre M.F. Modeling the 100-kyr glacial-interglacial cycles // Glob. Planet. Change. 2010. V. 72 (4). P. 275–281.
- Vizcaino M. Ice sheets as interactive components of Earth System Models: progress and challenges // Wiley Interdiscip. Rev. Clim. Change. 2014. V. 5 (4). P. 557–568.
- Рыбак О.О., Володин Е.М. Использование энерговлагобалансовой модели для включения криосферного компонента в климатическую модель. Часть I. Описание модели и расчеты климатических полей приземной температуры воздуха и осадков // Метеорология и гидрология. 2015. (11). С. 33–45.
- Fyke J., Sergienko O., Löfverström M., Price S., Lena-erts J.T.M. An overview of interactions and feedbacks between ice sheets and the Earth system // Rev. Geophys. 2018. V. 56 (2). P. 361–408.
- Мохов И.И., Малышкин А.В. Аналитическая оценка критического уровня глобального потепления для перехода от роста к уменьшению массы Антарктического ледового щита // ДАН. 2011. Т. 436 (3). С. 397–400.
- Climate Change 2021: The Physical Science Basis. Contribution of Working Group I to the Sixth Assessment Report of the Intergovernmental Panel on Climate Change / Masson-Delmotte V., Zhai P., Pirani A., Connors S.L., Pèan C., Berger S., Caud N., Chen Y., Goldfarb L., Gomis M.I., Huang M., Leitzell K., Lonnoy E., Matthews J.B.R., Maycock T.K., Waterfield T., Yelekęi O., Yu R., Zhou B. Cambridge: Cambridge University Press, 2022. 2406 c.
- Аржанов М.М., Мохов И.И. Оценки степени устойчивости континентальных реликтовых метангидратов в оптимуме голоцена и при современных климатических условиях // Доклады Академии наук. 2017. № 4. С. 456–460.
- Rahmstorf S., Crucifix M., Ganopolski A., Goosse H., Kamenkovich I., Knutti R., Lohmann G., Marsh R., Mysak L.A., Wang Z., Weaver A.J. Thermohaline circulation hysteresis: A model intercomparison // Geophys. Res. Lett. 2005. V. 32 (23). L23605.
- Annan J.D., Hargreaves J.C., Mauritsen T. A new global surface temperature reconstruction for the Last Glacial Maximum // Clim. Past. 2022. V. 18. № 8. P. 1883–1896.
- Tierney J.E., Zhu J., King J., Malevich S.B., Hakim G.J., Poulsen C.J. Glacial cooling and climate sensitivity revisited // Nature. 2020. V. 584 (7822). P. 569–573.
- Neff B., Born A., Stocker T.F. An ice sheet model of reduced complexity for paleoclimate studies // Earth Syst. Dyn. 2016. V. 7 (2). P. 397–418.
- Schoof C., Hewitt I. Ice-sheet dynamics // Ann. Rev. Fluid Dyn. 2013. V. 45. P. 217–239.
- Spratt R.M., Lisiecki L.E. A Late Pleistocene sea level stack // Clim. Past. 2016. V. 12 (4). P. 1079–1092.
- Malakhova V.V., Eliseev A.V. The role of heat transfer time scale in the evolution of the subsea permafrost and associated methane hydrates stability zone during glacial cycles // Glob. Planet. Change. 2017. V. 157. P. 18–25.
- Simms A.R., Lisiecki L., Gebbie G., Whitehouse P.L., Clark J.F. Balancing the last glacial maximum (LGM) sea-level budget // Quaternary Sci. Rev. 2019. V. 205. P. 143–153.
- Kleman J., Fastook J., Ebert K., Nilsson J., Caballero R. Pre-LGM Northern Hemisphere ice sheet topography // Clim. Past. 2013. V. 9 (5). P. 2365–2378.
Дополнительные файлы






