Микроэлементный состав вод устьевого участка р. Колымы
- Авторы: Савенко А.В.1, Савенко В.С.1, Ефимов В.А.1, Покровский О.С.2
-
Учреждения:
- Московский государственный университет имени М.В. Ломоносова
- Национальный исследовательский Томский государственный университет
- Выпуск: Том 509, № 2 (2023)
- Страницы: 272-275
- Раздел: ПРОБЛЕМЫ ВОД СУШИ
- Статья получена: 14.10.2023
- Статья опубликована: 01.02.2023
- URL: https://ogarev-online.ru/2686-7397/article/view/135855
- DOI: https://doi.org/10.31857/S2686739722602800
- EDN: https://elibrary.ru/NZFQEA
- ID: 135855
Цитировать
Полный текст
Аннотация
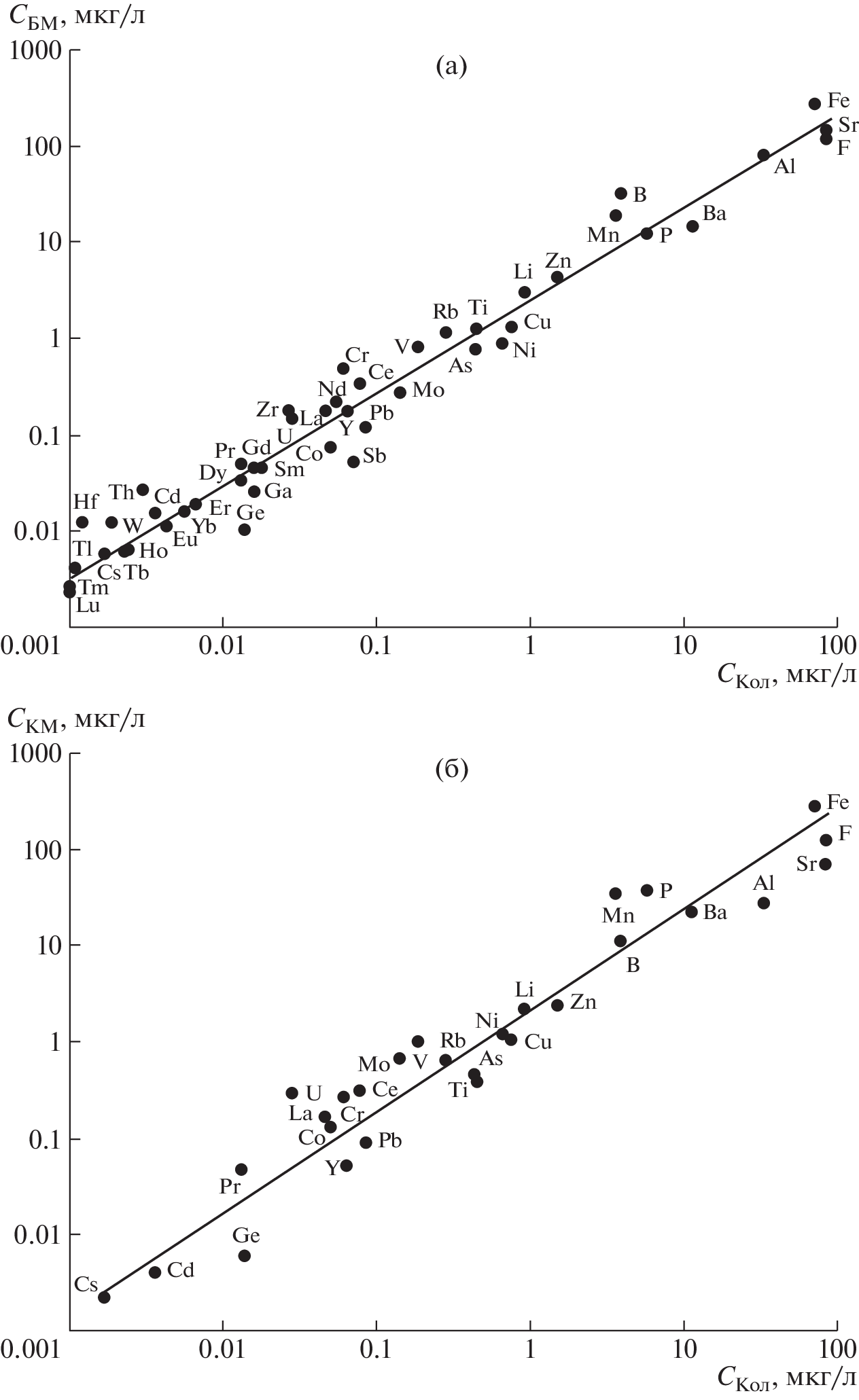
Определено содержание ионов основного солевого состава и 50 растворенных микроэлементов (Li, Rb, Cs, Be, Sr, Ba, Mn, Fe, Co, Ni, Cu, Zn, Cd, Tl, Pb, Al, Sc, Ga, Y, La, Ce, Pr, Nd, Sm, Eu, Gd, Tb, Dy, Ho, Er, Tm, Yb, Lu, Ti, Zr, Hf, Th, U, F, B, Si, Ge, P, V, As, Sb, Cr, Se, Mo, W) в водах устьевого участка р. Колымы во время спада весенне-летнего половодья и летне-осенней межени. Установлено наличие тесной положительной корреляции между концентрациями растворенных микроэлементов в водах р. Колымы и рек водосборов Белого и Карского морей. Различия концентраций растворенных микроэлементов в речных водах Российской Арктики в целом пропорциональны отношению величин их минерализации.
Ключевые слова
Об авторах
А. В. Савенко
Московский государственный университетимени М.В. Ломоносова
Автор, ответственный за переписку.
Email: Alla_Savenko@rambler.ru
Россия, Москва
В. С. Савенко
Московский государственный университетимени М.В. Ломоносова
Email: Alla_Savenko@rambler.ru
Россия, Москва
В. А. Ефимов
Московский государственный университетимени М.В. Ломоносова
Email: Alla_Savenko@rambler.ru
Россия, Москва
О. С. Покровский
Национальный исследовательский Томский государственный университет
Email: Alla_Savenko@rambler.ru
Россия, Томск
Список литературы
- Meybeck M. Global occurrence of major elements in rivers // Treatise on Geochemistry. V. 5. Amsterdam: Elsevier–Pergamon, 2004. P. 207–223.
- Гордеев В.В. Геохимия системы река–море. М., 2012. 452 с.
- Gaillardet J., Viers J., Dupre B. Trace elements in river waters // Treatise on Geochemistry (Second Edition). V. 7. Amsterdam et al.: Elsevier, 2014. P. 195–235.
- Савенко А.В., Савенко В.С., Покровский О.С. Новые данные по содержанию растворенных микроэлементов в водах рек Российской Арктики // ДАН. Науки о Земле. 2020. Т. 491. № 2. С. 82–88.
- Магрицкий Д.В., Фролова Н.Л., Агафонова С.А., Ефимов В.А., Василенко А.Н., Сазонов А.А., Ефимо-ва Л.Е. Гидрологические условия в устье реки Колымы летом 2019 года // Вестн. Моск. ун-та. Сер. 5. География. 2022. № 1. С. 134–151.
- Михайлов В.Н. Устья рек России и сопредельных стран: прошлое, настоящее и будущее. М.: ГЕОС, 1997. 413 с.
- Гордеев В.В., Филиппов А.С., Кравчишина М.Д., Новигатский А.Н., Покровский О.С., Шевченко В.П., Дара О.М. Особенности геохимии речного стока в Белое море // Система Белого моря. Т. 2. Водная толща и взаимодействующие с ней атмосфера, криосфера, речной сток и биосфера. М.: Научный мир, 2012. С. 225–308.
- Gordeev V.V., Andreeva E.N., Lisitzin A.P., Kremer H.H., Salomons W., Marshall Crossland J.I. Russian Arctic Basins. LOICZ Reports and Studies No. 29. Geesthacht: LOICZ, 2006. 97 p.
Дополнительные файлы




