Аномальное поглощение дымового аэрозоля в видимой и ближней инфракрасной областях спектра
- Авторы: Горчаков Г.И.1, Гущин Р.А.1, Копейкин В.М.1, Карпов А.В.1, Семутникова Е.Г.2, Даценко О.И.1, Пономарева Т.Я.3
-
Учреждения:
- Институт физики атмосферы им. А.М. Обухова Российской академии наук
- Московский государственный университет имени М.В. Ломоносова, Физический факультет
- Гидрометеорологический научно-исследовательский центр России
- Выпуск: Том 510, № 1 (2023)
- Страницы: 92-98
- Раздел: ФИЗИКА АТМОСФЕРЫ И ГИДРОСФЕРЫ
- Статья получена: 14.10.2023
- Статья опубликована: 01.05.2023
- URL: https://ogarev-online.ru/2686-7397/article/view/135854
- DOI: https://doi.org/10.31857/S2686739723600030
- EDN: https://elibrary.ru/FGJJXY
- ID: 135854
Цитировать
Полный текст
Аннотация
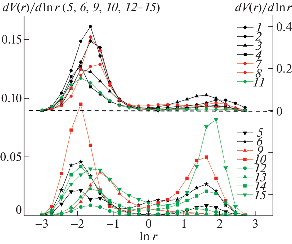
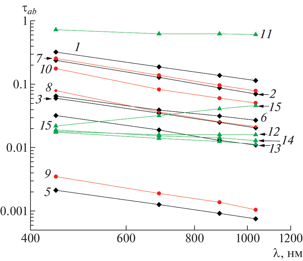
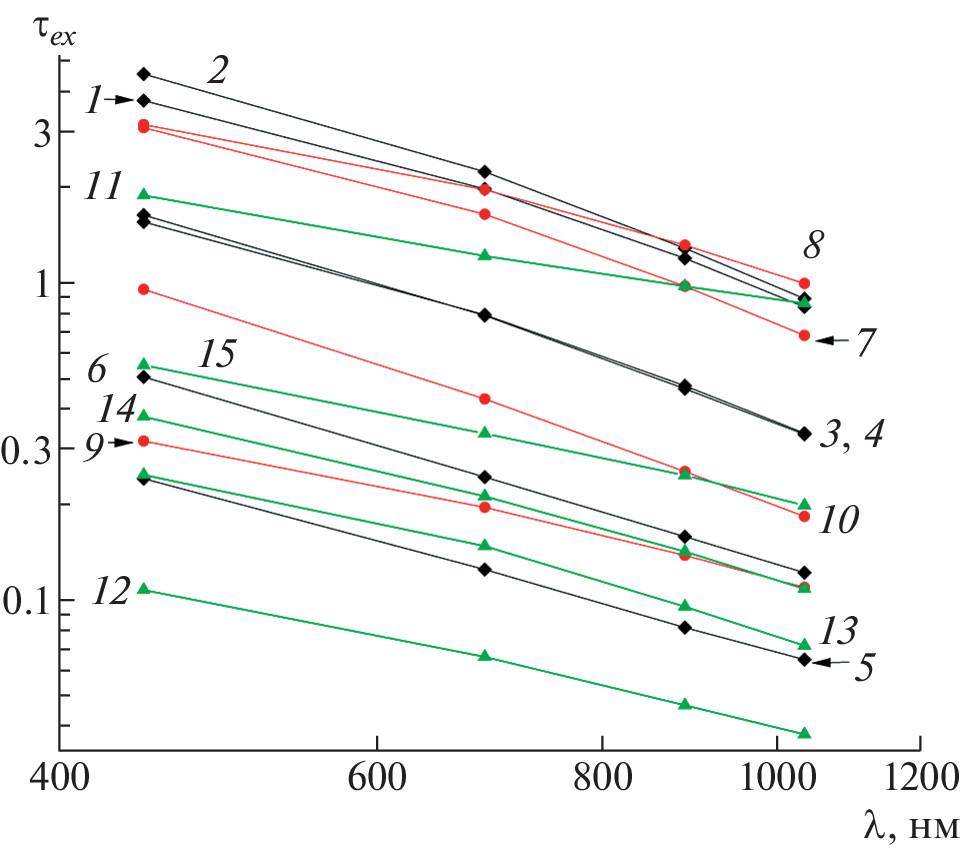
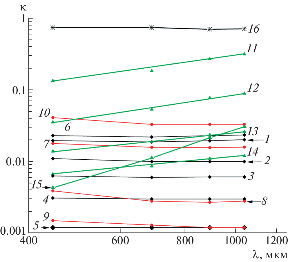
В крупномасштабном задымлении во время массовых пожаров в бореальных лесах Аляски в июле 2019 г. в видимой и ближней инфракрасной областях спектра (440–1020 нм) по данным мониторинга на сети станций AERONET спектральных зависимостей мнимой части коэффициента преломления обнаружено аномальное поглощение тонкодисперсного дымового аэрозоля. Проанализированы вариации спектральных зависимостей аэрозольных оптических толщин ослабления (экстинкции) и поглощения, а также функции распределения частиц аэрозоля по размерам. При аномальном поглощении мнимая часть коэффициента преломления с ростом длины волны света от 440 до 1020 нм увеличивалась в 1.8–7.2 раза, достигнув значения 0.315 для длины волны 1020 нм. Предложена степенная аппроксимация спектральной зависимости мнимой части коэффициента преломления с показателями степени примерно от 0.7 до 2.3.
Об авторах
Г. И. Горчаков
Институт физики атмосферы им. А.М. Обухова Российской академии наук
Автор, ответственный за переписку.
Email: gengor@ifaran.ru
Россия, Москва
Р. А. Гущин
Институт физики атмосферы им. А.М. Обухова Российской академии наук
Email: gengor@ifaran.ru
Россия, Москва
В. М. Копейкин
Институт физики атмосферы им. А.М. Обухова Российской академии наук
Email: gengor@ifaran.ru
Россия, Москва
А. В. Карпов
Институт физики атмосферы им. А.М. Обухова Российской академии наук
Email: gengor@ifaran.ru
Россия, Москва
Е. Г. Семутникова
Московский государственный университетимени М.В. Ломоносова, Физический факультет
Email: gengor@ifaran.ru
Россия,
Москва
О. И. Даценко
Институт физики атмосферы им. А.М. Обухова Российской академии наук
Email: gengor@ifaran.ru
Россия, Москва
Т. Я. Пономарева
Гидрометеорологический научно-исследовательский центр России
Email: gengor@ifaran.ru
Россия, Москва
Список литературы
- Мохов И.И., Горчакова И.А. // ДАН. 2005. Т. 400. № 4. С. 528–531.
- Панченко М.В., Журавлева Т.Б., Козлов В.С. и др. Метеорология и гидрология. 2016. № 2. С. 45–54.
- Голицын Г.С., Горчаков Г.И., Гречко Е.И. и др. // ДАН. 2011. Т. 441. № 4. С. 532–538.
- Holben B.N., Eck T.F., Slutsker I., et al // Remote Sensing of Environ. 1998. V. 66. № 1. P. 1–16.
- Dubovik O., King M.D. // J. Geophys. Res. 2000. V. 105. № D16. P. 20673–20696.
- Горчаков Г.И., Аникин П.П., Волох А.А. и др. // ДАН. 2003. Т. 390. № 2. С. 251–254.
- Горчаков Г.И., Аникин П.П., Волох А.А. и др. // Изв. РАН. Физика атмосферы и океана. 2004. Т. 40. № 3. С. 366–380.
- Горчаков Г.И., Свириденков М.А., Семутникова Е.Г. и др. // ДАН. 2011. Т. 437. № 5. С. 686–690.
- Горчаков Г.И., Голицын Г.С., Ситнов С.А. и др. // ДАН. 2018. Т. 482. № 2. С. 209–212.
- Горчаков Г.И., Ситнов С.А., Карпов А.В. и др. // Изв. РАН. Физика атмосферы и океана. 2019. Т. 55. № 3. С. 41–51.
- Eck T.F., Holben B.N., Reid J.S., et al. // J. Geophys. Res.: Atmospheres. 2009. V. 114. D11208.
- Dubovik O., Holben B.N., Eck T.F., et al. // J. Atm. Sci. 2002. V. 59. № 3. Part 2. P. 590–608.
- Зуев В.Е., Креков Г.М. Оптические модели атмосферы. Л.: Гидрометеоиздат. 1986. 256 с.
- Feng Y., Ramanathan V., Kotamarthi V.R. // Atm. Chem. Phys. 2013. V. 13. № 17. P. 8607–8621.
- Горчаков Г.И., Васильев А.В., Веричев К.С. и др. // ДАН. 2016. Т. 471. № 1. С. 91–97.
- Gorchakov G.I., Karpov A.V., Vasiliev A.V., Gorchako-va I.A. // Atmos. Oceanic Opt. 2017. V. 30. № 3. P. 248–254.
- Gorchakov G.I., Sitnov S.A., Sviridenkov M.A., et al. // Int. J. Remote Sens. 2014. V. 35. № 15. P. 5698–5721.
- Bergstrom R.W., Russell P.B., Hignett P. // J. Atm. Sci. 2002. V. 59. № 3. Part P. 567–577.
- Грин Х., Лейн В. Аэрозоли-пыли, дымы и туманы. Л.: Химия. 1969. 427 с.
Дополнительные файлы






