EXPERIMENTAL TESTING OF THE METHOD OF ACOUSTIC THERMOMETRY ON A LONG TRACK IN THE SEA OF JAPAN
- Authors: Dolgikh G.I.1, Morgunov Y.N.1, Bezotvetnykh V.V.1, Burenin A.V.1, Golov A.A.1, Voitenko E.A.1, Razzhivin V.V.1, Tagiltsev A.A.1
-
Affiliations:
- V.I. Il’ichev Pacific Oceanological Institute, Far Eastern Branch, Russian Academy of Sciences
- Issue: Vol 509, No 1 (2023)
- Pages: 95-98
- Section: OCEANOLOGY
- Submitted: 14.10.2023
- Published: 01.03.2023
- URL: https://ogarev-online.ru/2686-7397/article/view/135757
- DOI: https://doi.org/10.31857/S2686739722602459
- EDN: https://elibrary.ru/TIJXGR
- ID: 135757
Cite item
Full Text
Abstract
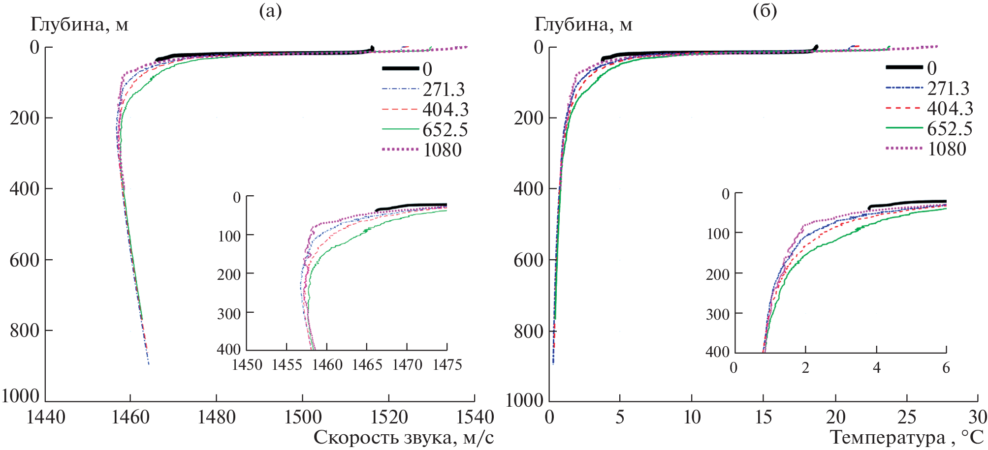
The methodological and technical possibilities of monitoring temperature fields on a thousand-kilometer track in the Sea of Japan using acoustic thermometry methods are presented. The proposed tomographic method for monitoring the dynamics and structure of water is based on the emission and reception of complex phase-shift keyed signals on a diagnosed path with the determination of the propagation time along various ray trajectories, followed by the calculation of the speed of sound and temperature. The physical prerequisites for the practical implementation of thermometric studies at large distances are based on the effect of an acoustic “mudslide” – the phenomenon of the transition of acoustic energy from the near-bottom shelf area to the underwater sound channel of the deep ocean. In the example of the Sea of Japan, a high-precision acoustic thermometry system based on tomographic schemes with mobile and stationary hydroacoustic emitters and receiving systems was proposed and experimentally tested.
About the authors
G. I. Dolgikh
V.I. Il’ichev Pacific Oceanological Institute, Far Eastern Branch, Russian Academy of Sciences
Email: golov_alexander@inbox.ru
Russian Federation, Vladivostok
Yu. N. Morgunov
V.I. Il’ichev Pacific Oceanological Institute, Far Eastern Branch, Russian Academy of Sciences
Email: golov_alexander@inbox.ru
Russian Federation, Vladivostok
V. V. Bezotvetnykh
V.I. Il’ichev Pacific Oceanological Institute, Far Eastern Branch, Russian Academy of Sciences
Email: golov_alexander@inbox.ru
Russian Federation, Vladivostok
A. V. Burenin
V.I. Il’ichev Pacific Oceanological Institute, Far Eastern Branch, Russian Academy of Sciences
Email: golov_alexander@inbox.ru
Russian Federation, Vladivostok
A. A. Golov
V.I. Il’ichev Pacific Oceanological Institute, Far Eastern Branch, Russian Academy of Sciences
Author for correspondence.
Email: golov_alexander@inbox.ru
Russian Federation, Vladivostok
E. A. Voitenko
V.I. Il’ichev Pacific Oceanological Institute, Far Eastern Branch, Russian Academy of Sciences
Email: golov_alexander@inbox.ru
Russian Federation, Vladivostok
V. V. Razzhivin
V.I. Il’ichev Pacific Oceanological Institute, Far Eastern Branch, Russian Academy of Sciences
Email: golov_alexander@inbox.ru
Russian Federation, Vladivostok
A. A. Tagiltsev
V.I. Il’ichev Pacific Oceanological Institute, Far Eastern Branch, Russian Academy of Sciences
Email: golov_alexander@inbox.ru
Russian Federation, Vladivostok
References
- Бреховских Л.М., Гаврилов А Н., Гончаров В.В., Писарев С.В., Михалевский П.Н., Чепурин Ю.А. Результаты эксперимента ACOUS (Arctic Climate Observation using Underwater Sound) // Изв. AH СССР. Физика атмосферы и океана. 2002. Т. 38. № 6. С. 726–737.
- Munk W., Wunsch C. Ocean acoustic tomography: a scheme for large scale monitoring // Deep Sea Research Part A. Oceanographic Research Papers. 1979. V. 26. Iss. 2. P. 123. C. 161.
- Акуличев В.А., Безответных В.В., Буренин А.В., Войтенко Е.А., Моргунов Ю.Н. Эксперимент по оценке влияния вертикального профиля скорости звука в точке излучения на шельфе на формирования импульсной характеристики в глубоком море // Акустический журнал. 2010. Т. 56. № 1. С. 51–52.
- Моргунов Ю.Н., Безответных В.В., Буренин А.В., Войтенко Е.А. Исследование влияния гидрологических условий на распространение псевдослучайных сигналов из шельфа в глубокое море // Акустический журнал. 2016. Т. 62. № 3. С. 341–347.
- Chen C.-T., Millero F.J. Speed of sound in seawater at high pressures // The Journal of the Acoustical Society of America. 1977. V. 62 (5). P. 1129. C. 1135.
- Wolfson M.A., Spiesberger J.L., Tappert F.D. Internal wave effects on long-range ocean acoustic tomography // The Journal of the Acoustical Society of Ame-rica. 1995. V. 97. P. 3235.
- Безответных В.В., Буренин А.В., Голов А.А., Моргунов Ю.М., Лебедев М.С., Петров П.С. Экспериментальные исследования импульсной характеристики волновода Японского моря с использованием псевдослучайных последовательностей в навигации подводных объектов // Акустический журнал. 2021. Т. 67. № 3. С. 291. С. 297.




