ВЛИЯНИЕ ИНГИБИТОРА ТИРОЗИЛ-ДНК-ФОСФОДИЭСТЕРАЗЫ 1 НА ПРОАПОПТОТИЧЕСКОЕ И ГЕНОТОКСИЧЕСКОЕ ДЕЙСТВИЕ АНТИРАКОВОГО ПРЕПАРАТА ТОПОТЕКАНА
- Авторы: Чепанова А.А.1, Захаренко А.Л.1, Дырхеева Н.С.1, Чернышова И.А.1, Захарова О.Д.1, Ильина Е.С.1, Лузина О.А.2, Салахутдинов Н.Ф.2, Лаврик О.И.1
-
Учреждения:
- Институт химической биологии и фундаментальной медицины Сибирского отделения Российской академии наук
- Новосибирский институт органической химии им. Н.Н. Ворожцова Сибирского отделения Российской академии наук
- Выпуск: Том 510, № 1 (2023)
- Страницы: 252-258
- Раздел: Статьи
- URL: https://ogarev-online.ru/2686-7389/article/view/135692
- DOI: https://doi.org/10.31857/S2686738922601011
- EDN: https://elibrary.ru/QFLIZI
- ID: 135692
Цитировать
Полный текст
Аннотация
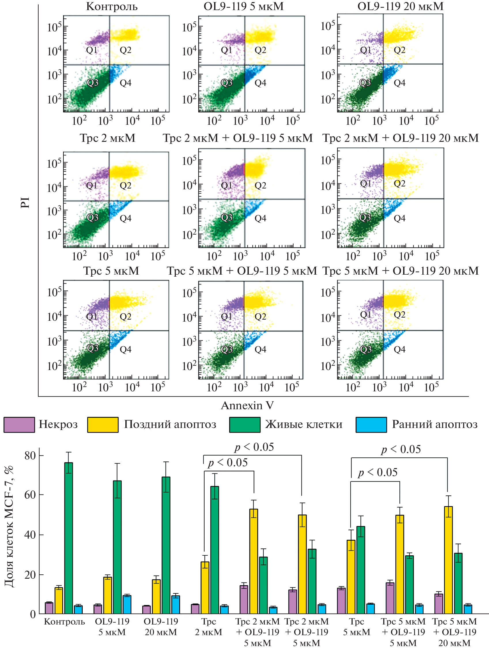
На сегодняшний день предлагаются различные стратегии повышения эффективности терапии онкологических заболеваний. Известно, что активность системы репарации ДНК может обусловливать устойчивость раковых клеток к ДНК-повреждающей химио- и радиотерапии, и одним из путей повышения эффективности терапии является поиск ингибиторов ферментов систем репарации ДНК. Ингибирование фермента репарации ДНК тирозил-ДНК-фосфодиэстеразы1 (Tdp1) приводит к повышению эффективности ингибитора топоизомеразы 1 (Тор1) – противоопухолевого препарата топотекана. Ковалентные комплексы Тор1-ДНК, которые в норме являются короткоживущими и не представляют угрозы для клетки, под воздействием топотекана стабилизируются и приводят к гибели клетки. Такие стабилизированные комплексы устраняет Tdp1 и, таким образом, ослабляет эффект терапии топотеканом. Ранее мы показали, что применение гидразонотиазольного производного усниновой кислоты OL9-119 в комбинации с топотеканом повышало противоопухолевую и антиметастатическую эффективность последнего на модели карциномы легких Льюис мышей. В данной работе показано, что совместное использование топотекана и ингибитора Tdp1 – гидразонотиазольного производного усниновой кислоты OL9-119 приводит к усилению ДНК-повреждающего действия топотекана, применяемого в клинике для лечения онкозаболеваний. Исследование проапоптотического эффекта соединения OL9-119 показало, что само по себе соединение не индуцирует апоптоз, но повышает проапоптотический эффект топотекана. Результаты исследования могут быть использованы для повышения эффективности противоопухолевой терапии и/или для снижения терапевтической дозы топотекана и, следовательно, тяжести побочных эффектов.
Ключевые слова
Об авторах
А. А. Чепанова
Институт химической биологиии фундаментальной медицины Сибирского отделения Российской академии наук
Email: lavrik@niboch.nsc.ru
Россия, Новосибирск
А. Л. Захаренко
Институт химической биологиии фундаментальной медицины Сибирского отделения Российской академии наук
Email: lavrik@niboch.nsc.ru
Россия, Новосибирск
Н. С. Дырхеева
Институт химической биологиии фундаментальной медицины Сибирского отделения Российской академии наук
Автор, ответственный за переписку.
Email: dyrkheeva.n.s@gmail.com
Россия, Новосибирск
И. А. Чернышова
Институт химической биологиии фундаментальной медицины Сибирского отделения Российской академии наук
Email: lavrik@niboch.nsc.ru
Россия, Новосибирск
О. Д. Захарова
Институт химической биологиии фундаментальной медицины Сибирского отделения Российской академии наук
Email: lavrik@niboch.nsc.ru
Россия, Новосибирск
Е. С. Ильина
Институт химической биологиии фундаментальной медицины Сибирского отделения Российской академии наук
Email: lavrik@niboch.nsc.ru
Россия, Новосибирск
О. А. Лузина
Новосибирский институт органической химииим. Н.Н. Ворожцова Сибирского отделения
Российской академии наук
Email: lavrik@niboch.nsc.ru
Россия, Новосибирск
Н. Ф. Салахутдинов
Новосибирский институт органической химииим. Н.Н. Ворожцова Сибирского отделения
Российской академии наук
Email: lavrik@niboch.nsc.ru
Россия, Новосибирск
О. И. Лаврик
Институт химической биологиии фундаментальной медицины Сибирского отделения Российской академии наук
Автор, ответственный за переписку.
Email: lavrik@niboch.nsc.ru
Россия, Новосибирск
Список литературы
- Comeaux E.Q., van Waardenburg R.C. Tyrosyl-DNA phosphodiesterase I resolves both naturally and chemically induced DNA adducts and its potential as a therapeutic target. // Drug Metab. Rev. 2014. V. 46. № 4. P. 494–507.
- Yang S.W., Burgin A.B., Jr, Huizenga, B.N., et al. A eukaryotic enzyme that can disjoin dead-end covalent complexes between DNA and type I topoisomerases. // Proc. Natl. Acad. Sci. 1996. V. 93. № 21. P. 11534–11539.
- Staker B.L., Hjerrild K., Feese M.D., et al. The mechanism of topoisomerase I poisoning by a camptothecin analog // Proc. Natl. Acad. Sci. U. S. A. 2002. V. 99. № 24. P. 15387–15392.
- Pommier Y., Huang S.Y., Gao R., et al. Tyrosyl-DNA-phosphodiesterases (TDP1 and TDP2) // DNA Repair (Amst). Elsevier B.V. 2014. V. 19. P. 114–129.
- El-Khamisy S.F., Katyal S., Patel P., et al. Synergistic decrease of DNA single-strand break repair rates in mouse neural cells lacking both Tdp1 and aprataxin // DNA Repair (Amst). Elsevier. 2009. V. 8. № 6. P. 760–766.
- Das B.B., Antony S., Gupta S., et al. Optimal function of the DNA repair enzyme TDP1 requires its phosphorylation by ATM and/or DNA-PK // The EMBO Journal. European Molecular Biology Organization. 2009. V. 28. № 23. P. 3667–3680.
- Hirano R., Interthal H., Huang C., et al. Spinocerebellar ataxia with axonal neuropathy: consequence of a Tdp1 recessive neomorphic mutation? // The EMBO Journal. John Wiley Sons, Ltd. 2007. V. 26. № 22. P. 4732–4743.
- Katyal S., El-Khamisy S.F., Russell H.R., et al. TDP1 facilitates chromosomal single-strand break repair in neurons and is neuroprotective in vivo // The EMBO Journal. EMBO J. 2007. V. 26. № 22. P. 4720–4731.
- Barthelmes H.U., Habermeyer M., Christensen M.O., et al. TDP1 overexpression in human cells counteracts DNA damage mediated by topoisomerases I and II // J. Biol. Chem. J. Biol. Chem. 2004. V. 279. № 53. P. 55618–55625.
- Meisenberg C., Gilbert D.C., Chalmers A., et al. Clinical and cellular roles for TDP1 and TOP1 in modulating colorectal cancer response to irinotecan // Mol. Cancer Ther. 2015. V. 14. № 2. P. 575–585.
- Brettrager E.J., van Waardenburg R.C. Targeting Tyrosyl-DNA phosphodiesterase I to enhance toxicity of phosphodiester linked DNA-adducts // Cancer drug Resist. Alhambra, Calif. 2019. V. 2. № 4. P. 1153–1163.
- Thomas A., Pommier Y. Targeting Topoisomerase I in the Era of Precision Medicine // Clin. Cancer Res. 2019. V. 25. № 22. P. 6581–6589.
- Zakharenko A.L., Luzina O.A., Sokolov D.N., et al. Novel tyrosyl-DNA phosphodiesterase 1 inhibitors enhance the therapeutic impact of topotecan on in vivo tumor models // // Eur. J. Med. Chem. Elsevier Masson SAS. 2019. V. 161. P. 581–593.
- Дырхеева Н.С., Захаренко А.Л., Новоселова Е.С., и др. Противоопухолевая активность комбинации топотекана и ингибитора Тирозил-ДНК-Фосфодиэстеразы 1 на модели асцитной карциномы Кребс-2 мыши // Молекулярная биология. 2021. Т. 55. № 2. С. 273–277.
- Singh N.P., McCoy M.T., Tice R.R., et al. A simple technique for quantitation of low levels of DNA damage in individual cells // Exp. Cell Res. Exp. Cell Res. 1988. V. 175. № 1. P. 184–191.
- Elmore S. Apoptosis: A Review of Programmed Cell Death // Toxicologic Pathology. Toxicol. Pathol. 2007. V. 35. № 4. P. 495–516.
- Galluzzi L., Vitale I., Vacchelli E., et al. Cell death signaling and anticancer therapy // Frontiers in Oncology. Frontiers. 2011. V. 1. № 5. P. 1–18.
- Crowley L.C., Marfell B.J., Scott A.P., et al. Quantitation of Apoptosis and Necrosis by Annexin V Binding, Propidium Iodide Uptake, and Flow Cytometry // Cold Spring Harb. Protoc. 2016. 2016. V. 11.
Дополнительные файлы




