SYNTHESIS OF DEUTERIUM-LABELED PYRROLYLCARNOSINE
- Authors: Shevchenko V.P.1, Nagaev I.Y.1, Fedorova T.N.2, Myasoedov N.F.1
-
Affiliations:
- Institute of Molecular Genetics of National Research Centre “Kurchatov Institute” (NRC “Kurchatov Institute” – IMG)
- Research Center of Neurology (RCN)
- Issue: Vol 508, No 1 (2023)
- Pages: 23-29
- Section: Articles
- URL: https://ogarev-online.ru/2686-7389/article/view/135665
- DOI: https://doi.org/10.31857/S2686738922700020
- EDN: https://elibrary.ru/MUUVDR
- ID: 135665
Cite item
Full Text
Abstract
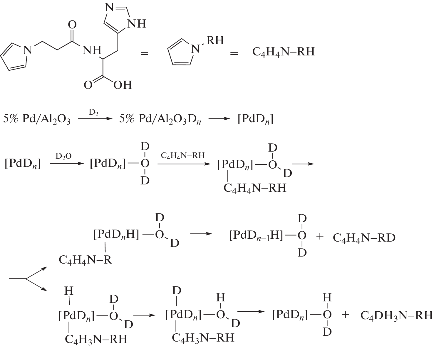
The effect of temperature on the effectiveness of the introduction of deuterium into pyrrolylcarnosine (PC) has been studied. Deuterium gas and heavy water were used as a source of deuterium. Isotope exchange was carried out using solid-phase and liquid-phase methods. It was found that it is better to use isotope exchange with deuterated water to obtain preparative amounts of labeled pyrrolylcarnosine. When using the solid-phase method, the main label is in pyrrole. The inclusion of deuterium at a higher temperature occurs more evenly. In addition, the use of deuterated water made it possible to reduce the amount of unlabeled isotopomer to almost 0%, obtain a product with a yield of 70% and a content of more than 7 deuterium atoms. It is established that the content of deuterium in the substance can be increased by pretreating the reaction mixture with deuterium gas. This approach opens up additional opportunities for synthesis of labeled compounds.
Keywords
About the authors
V. P. Shevchenko
Institute of Molecular Genetics of National Research Centre “Kurchatov Institute” (NRC “Kurchatov Institute” – IMG); Institute of Molecular Genetics of National Research Centre “Kurchatov Institute” (NRC “Kurchatov Institute” – IMG)
Author for correspondence.
Email: nagaev@img.ras.ru
Russian Federation, 123182, Moscow; Russian Federation, 123182, Moscow
I. Yu. Nagaev
Institute of Molecular Genetics of National Research Centre “Kurchatov Institute” (NRC “Kurchatov Institute” – IMG)
Email: nagaev@img.ras.ru
Russian Federation, 123182, Moscow
T. N. Fedorova
Research Center of Neurology (RCN)
Email: nagaev@img.ras.ru
Russian Federation, 125367, Moscow
N. F. Myasoedov
Institute of Molecular Genetics of National Research Centre “Kurchatov Institute” (NRC “Kurchatov Institute” – IMG)
Email: nagaev@img.ras.ru
Russian Federation, 123182, Moscow
References
- Федорова Т.Н., Стволинский С.Л., Мигулин В.А., Лопачев А.В., Хуторова А.В., Куликова О.И., Музычук О.А., Абаимов Д.А. Патент № 2777391, 03.08.2022, Бюл. № 22.
- Boldyrev A., Fedorova T., Stepanova M., Dobrotvorskaya I., Kozlova E., Boldanova N., Bagyeva G., Ivanova-Smolenskaya I., Illarioshkin S. // Rejuvenation Res. 2008. Vol. 11. № 4. P. 821–827.
- Kulikova O.I., Stvolinsky S.L., Migulin V.A., Andreeva L.A., Nagaev I.Yu., Lopacheva O.M., Kulichenkova K.N., Lopachev A.V., Trubitsina I.E., Fedorova T.N. // Daru. 2020. Vol. 28. P. 119–130.
- Adams S.P., Tsang M., Wright J.M. // Cochrane Database Syst. Rev. 2015.
- Bhardwaj V., Gumber D., Abbot V., Dhiman S., Sharma P. // RSC Adv. 2015. Vol. 5. № 20. P. 15233–15266.
- Каратеев А.Е. // Современная ревматология. 2014. Т. 8. № 2. С. 83–89.
- Toth G., Mallareddy J.R., Toth F., Lipkowski A.W., Tourwe D. // Arkivoc. 2012. Vol. 2012. № 5. P. 163–174.
- Rees A.T. // J. Labelled Compd. Radiopharm. 2004. Vol. 47. № 5. P. 318–319.
- Voges R., Heys J.R., Moenius T. “Preparation of Compounds Labeled with Tritium and Carbon-14” United Kingdom: John Wiley & Sons. Ltd. 2009. 664 p.
- Stack D.E., Eastman R. // J. Label. Compd. Radiopharm. 2016. Vol. 59. № 12. P. 500–505.
- Lockley W.J.S., Hesk D. // J. Label. Compd. Radiopharm. 2010. Vol. 53. № 11–12. P. 704–715.
- Lockley W.J.S. // Tetrahedron Lett. 1982. Vol. 23. № 37. P. 3819–3822.
Supplementary files





