Оценка экологических свойств рапсовых масел для применения в качестве моторного топлива сельскохозяйственного трактора
- Авторы: Плотников С.А.1, Кантор П.Я.1, Козлов И.С.1, Втюрина М.Н.2
-
Учреждения:
- ФГБОУ ВО «Вятский государственный университет»
- ФГБОУ ВО «Вятская государственная сельскохозяйственная академия»
- Выпуск: Том 30, № 1 (2020)
- Страницы: 43-59
- Раздел: Процессы и машины агроинженерных систем
- Статья получена: 11.08.2025
- Статья одобрена: 11.08.2025
- Статья опубликована: 15.08.2025
- URL: https://ogarev-online.ru/2658-4123/article/view/304242
- DOI: https://doi.org/10.15507/2658-4123.030.202001.043-059
- ID: 304242
Цитировать
Полный текст
Аннотация
Введение. Актуальность исследования диктуется необходимостью оценки влияния смесевого топлива, включающего дизельное и биотопливо (рапсовое масло), на экологические показатели дизеля сельскохозяйственного трактора при выполнении полевых и транспортных работ.
Цель исследования – прогнозирование, получение и проверка количественных зависимостей выхода токсичных компонентов при работе дизеля трактора «Беларус-922» на смесевом топливе при выполнении операций в сельском хозяйстве.
Материалы и методы. Для достижения цели проведены: определение количественных показателей компонентного состава образцов рапсового масла различного происхождения, теоретическая оценка, сравнение расчетных и экспериментальных экологических характеристик тракторного двигателя с использованием необходимого оборудования.
Результаты исследования. Впервые получены количественные значения показателей компонентного состава образцов рапсового масла различного происхождения. Анализ показал, что наиболее предпочтительным для использования в качестве топлива является образец с максимальной долей непредельных кислот в его составе, что позволит иметь максимальную скорость и полноту сгорания. Расчеты показывают снижение рабочей температуры вследствие добавки рапсового масла на 200 К, что должно приводить к уменьшению константы скорости реакции и концентрации оксидов азота приблизительно в 2,7 раза. На концентрацию оксидов азота в отработавших газах существенно влияет эндогенное происхождение соединений азота.
Обсуждение и заключение. На основе анализа механизмов образования оксидов азота при сгорании рапсового масла теоретически обосновано и экспериментально подтверждено выражение расчета константы скорости реакции, показывающее их результат на полуколичественном уровне.
Полный текст
Введение
Актуальность исследования диктуется необходимостью оценки влияния смесевого топлива (СТ), включающего дизельное (ДТ) и биотопливо – рапсовое масло (РМ) – на экологические показатели дизеля сельскохозяйственного трактора при выполнении полевых и транспортных работ. Цель исследования – прогнозирование, получение и проверка количественных зависимостей выхода токсичных компонентов при работе дизеля трактора «Беларус-922» на СТ, включающем ДТ и РМ, предназначенного для выполнения операций в сельском хозяйстве. Для этой цели проведены лабораторные и теоретические исследования образцов РМ и составов СТ. В результате впервые получены сравнительные количественные результаты хроматографического анализа нескольких образцов рапсового масла, произведенного в РФ, странах ближнего зарубежья и Западной Европы. Анализ полученных масс-спектров путем подбора и сравнения с максимально сходными масс-спектрами из электронных библиотек позволил установить образец РМ, позволяющий, предположительно, обеспечивать наибольшую скорость и полноту сгорания впрыснутого в цилиндр дизеля смесевого топлива. В результате теоретического анализа механизмов образования оксидов азота (NOх) при сгорании РМ обосновано выражение расчета константы скорости реакции, показывающее результат на полуколичественном уровне. Данные расчетов подтверждаются экспериментально – в случае сгорания смеси, содержащей 55 % РМ, концентрация NOх снижется в 2–2,5 раза. Полученные аналитические и экспериментальные результаты объясняют противоречивость и неоднозначность данных различных литературных источников, доказывают экологическую целесообразность применения РМ в качестве моторного топлива для сельскохозяйственного трактора, позволяют прогнозировать уровень выбросов оксидов азота в отработавших газах (ОГ) тракторного дизеля. В связи с изменением условий и параметров работы двигателя на смеси ДТ и РМ такого рода анализ будет способствовать оптимизации режима работы дизеля и минимизации вредных экологических последствий.
Жиры (глицериды), входящие в состав растительных масел, представляют собой сложные эфиры трехатомного спирта глицерина и высших карбоновых кислот, содержащих, как правило, четное количество атомов углерода1. Жиры растительного происхождения содержат в большом количестве остатки непредельных карбоновых кислот, которые встречаются в природе только в цис-форме. Углеводородная цепь молекулы такой кислоты имеет характерный излом в области двойной связи с углом около 120о между прямолинейными фрагментами. Более сложная по сравнению с прямолинейными молекулами предельных кислот форма затрудняет формирование из молекул растительных жиров компактной кристаллической структуры, вследствие чего последние при комнатной температуре существуют в виде густых жидкостей или масел.
В состав жиров входят преимущественно остатки предельных кислот, пальмитиновой C15H31COOH и стеариновой C17H35COOH, а также остатки непредельных высших карбоновых кислот:
– олеиновой – СН3 – (СН2)7 – СН = СН – (СН2)7 – СООН;
– линолевой – СН3 – (СН2)4 – СН = СН – СН2 – СН = СН – (СН2)7 – СООН;
– линоленовой – СН3 – СН2 – СН = СН – СН2 – СН = СН – СН2 – СН = СН – (СН2)7 – СООН.
Известно, что увеличение числа кратных связей в молекуле органического соединения приводит к его более легкому окислению по сравнению с молекулами, содержащими только одинарные связи [1]. Энергия разрыва одинарной связи C – C составляет в среднем 3,52 эВ (339 кДж/моль), тогда как энергия разрыва π-связи, входящей в состав двойной, равна 2,81 эВ (271 кДж/моль). В силу экспоненциальной зависимости скорости реакции от энергии активации ( ) сравнительно небольшое уменьшение энергии разрыва связи должно приводить к значительному возрастанию скорости горения2. Окисление происходит за счет образования пероксидных мостиков по месту разрыва π-связи и дальнейшей деструкции углеводородного радикала, то есть образования более коротких цепочек (свободных радикалов).
Механизмы дальнейшего окисления (горения) могут быть различными:
– свободные радикалы могут взаимодействовать с образованием новых соединений (углеводородов), в том числе и высокомолекулярных;
– могут образовываться различные кислородсодержащие соединения: альдегиды, кетоны, кислоты, вода, оксид углерода (IV) оксид углерода (II), а также углерод в виде сажи.
Полнота окислительных процессов, а также кинетика окисления, то есть скорость реакции, в значительной степени зависят от количества входящих в состав жиров остатков ненасыщенных карбоновых кислот.
Существующих в литературе данных по исследованию моторных и экологических свойств топливной смеси ДТ и РМ крайне мало.
Обзор литературы
Учеными ФГБОУ ВО «Московский государственный технический университет имени Н. Э. Баумана (национальный исследовательский университет)» был проведен анализ видов биотоплива и их физико-химических свойств, рассмотрены технологии получения биотоплива. Исследованы проблемы снижения токсичности отработавших газов двигателей. Представлены результаты экспериментальных исследований. Установлена возможность применения биотоплива в двигателях транспортных средств3.
Китайскими исследователями была проведена оценка состава масла, экстрагированного из семян рапса, произрастающего на юго-востоке Китая (провинция Хунань) [2]. Исследование проводилось методами газовой и жидкостной хроматографии в сочетании с масс-спектрометрией. Выяснено, что порядка 80 % состава приходится на молекулы, содержащие 54 атома углерода. Из жирных кислот, входящих в состав триацилглицеридов, преобладает олеиновая, на молекулы которой приходится также около 80 % от их общего количества.
Группа польских исследователей проводила оценку состава РМ, выделенного из семян генномодифицированного рапса с низким содержанием полиненасыщенной линоленовой кислоты, произрастающего в Польше (г. Познань) [3]. Была выявлена сильная отрицательная корреляция между наличием мутантных аллелей генов и содержанием линоленовой кислоты. Авторы также отмечают, что масло с низким содержанием линоленовой кислоты, вследствие высокой стабильности, является важным источником сырья для производства биотоплива.
Корреляция между окислительной стабильностью рапсового масла и его химическим составом исследовалась на сортах рапса, произрастающих в Литве [4]. Обнаружено, что наивысшая окислительная стабильность при температуре 110 °С характерна для сортов с максимальным содержанием мононенасыщенных жирных кислот.
В одной из наших работ были исследованы закономерности изменения кинематической вязкости смесей дизельного топлива с рапсовым маслом и влияние на вязкость цетаноповышающей присадки [5]. Построены математические модели формирования вязкости смеси. Показано, что зависимость вязкости от массовой концентрации и от мольной доли рапсового масла удовлетворительно описывается соответственно квадратичной и линейной регрессиями. Кроме того, обнаружен и интерпретирован эффект снижения вязкости смеси за счет добавления цетаноповышающей присадки, возрастающей при повышении концентрации масла.
Иностранными коллегами экспериментально исследовалось влияние различных факторов на содержание диоксида азота NO2 и других оксидов азота NOx в отработавших газах дизельного двигателя. Обнаружено, что при изменении параметров впрыска или состава топливовоздушной смеси выбросы NO2 и NOx ведут себя аналогичным образом, однако с ростом концентрации NOx доля NO2 по отношению к другим оксидам азота уменьшается. Для интерпретации результатов измерений предполагалось, что основную роль в образовании оксидов азота играет механизм Зельдовича [6].
В другой статье тех же авторов отмечается, что образованию NO2 способствует повышение коэффициента избытка воздуха, а также низкая частота вращения коленчатого вала двигателя. Последний факт связывается с увеличением времени образования диоксида азота, причем основную роль в этом процессе, по мнению авторов, играет доокисление NO пероксидными радикалами [7].
В работе Л. Новопашина и Л. Денежко было проведено сравнительное исследование мощностных и эксплуатационных показателей, а также токсичности отработавших газов при работе тракторного двигателя Д-144 на чистом дизельном топливе и на смесях этанола с рапсовым маслом. Отмечается, что содержание оксидов азота в отработавших газах при использовании топливной смеси уменьшалось в 2,4…4 раза [8].
Группой ученых из г. Дублина (Ирландия) исследовались моторные свойства топливных смесей, содержащих до 25 % рапсового масла. Отмечается, что при максимальном содержании РМ цетановое число снижалось до 32,4 единицы относительно значения 38,1 единицы для чистого дизельного топлива [9].
Целью исследования С. А. Плотникова и соавторов явилось определение показателей токсичности дизеля на стенде и в составе тракторного агрегата [10]. Проведенные стендовые и полевые исследования и их анализ позволили определить технико-экономическую эффективность применения рапсового масла в дизельном двигателе. Установлено, что при переводе дизеля для работы на смесях рапсового масла с дизельным топливом концентрация сажи при добавлении 45 % рапсового масла уменьшается во всем диапазоне частот на 7–15 % по сравнению с работой на чистом дизельном топливе.
В обзоре испанских исследователей анализируются различные аспекты использования РМ в качестве топлива. Касаясь эксплуатационных свойств РМ, авторы констатируют пониженное (до 37,6 единицы), по сравнению с дизельным топливом (47 единиц), цетановое число, а также более низкое содержание СО и твердых частиц в отработавших газах. Отмечается также, что вопрос о том, понижает или повышает РМ выбросы оксидов азота и углеводородов, требует дополнительного исследования [11].
Й. Меркиш измерил параметры автобусного дизельного двигателя, работающего на метиловом эфире рапсового масла в условиях г. Познань (Польша). Измерения показали снижение выбросов твердых частиц на 9 %, углеводородов на 14 % и угарного газа на 19 % по сравнению с работой на дизельном топливе. В то же время наблюдалось увеличение выбросов оксидов азота на 7 %. Причины указанных изменений не анализируются [12].
К. Туцким и соавторами исследовалось влияние давления и начальной температуры в камере сгорания на самовоспламенение и дальнейшее горение рапсового масла и его смесей с дизельным топливом. Обнаружено, что понижение температуры приводит к увеличению времени задержки самовоспламенения – тем более значительному, чем выше содержание рапсового масла в смеси [13].
Командой ученых во главе с Ж. М. Дезантом сделана попытка расчета концентрации оксидов азота NO в отработавших газах дизеля с учетом нескольких возможных механизмов его образования: термического, известного также как расширенный механизм Зельдовича, «быстрого» (механизм Фенимора) и так называемого промежуточного механизма, который обусловлен тройными столкновениями молекул реагентов и играет существенную роль при высоких давлениях в бедных рабочих смесях. Показано, что отношение концентрации NO, рассчитанной по термическому механизму, к полной концентрации слабо зависит от условий протекания реакции и может быть аппроксимировано полиномом 4-й степени относительно «термической» концентрации. Это обстоятельство, согласно утверждению авторов, позволяет с высокой точностью предсказать концентрацию оксидов азота в продуктах сгорания любого топлива с использованием сравнительно простого расчета, основанного на термическом механизме [14].
Дж. Янг и соавторы методами химической кинетики выполнили расчет образования NO при сгорании биодизеля. Установлено, что приблизительно 89 % оксидов азота в продуктах сгорания обусловлено термическим механизмом и 11 % – быстрым механизмом. Отмечается также, что при сопоставимых условиях, биодизель дает NO на 10 % больше по сравнению с обычным дизельным топливом. По мнению авторов, это связано с наличием атомов кислорода в молекулах метилового эфира рапсового масла, что приводит к обеднению рабочей смеси [15].
Индийскими исследователями измерялась концентрация загрязняющих выбросов при работе двигателя на смесях дизельного топлива с метиловыми эфирами растительных масел. Отмечается тенденция к некоторому росту концентрации оксидов азота в отработавших газах при увеличении содержания эфира в топливной смеси, что, по мнению авторов, связано с более высокой температурой горения биодизеля по сравнению с чистым дизельным топливом [16].
В статье В. И. Головитчева и Дж. Янга была построена полуэмпирическая модель сгорания органического топлива, включающая 1472 реакции с участием 309 промежуточных веществ, примененная к дизельному топливу и метиловому эфиру рапсового масла. Согласно гипотезе авторов, процесс начинается с расщепления молекулы эфира, содержащей от 17 до 19 атомов углерода, на несколько более мелких фрагментов. Расчет показал уменьшение максимальной температуры с 2790 К при горении дизельного топлива до 2670 К при горении эфира и, как следствие, некоторое снижение концентрации NO в продуктах сгорания в последнем случае [17].
Цель данного исследования − определение количественных показателей компонентного состава образцов РМ различного происхождения, теоретическая оценка, сравнение расчетных и экспериментальных экологических характеристик тракторного двигателя.
Материалы и методы
Общий вид и перечень используемого оборудования и приборов представлен на рисунках 1, 2 и в таблице 1.
Таблица 1 Приборы и оборудование в составе экспериментальной установки
Table 1 Devices and equipment as a part of experimental installation
Вид исследования / Research | Оборудование / Equipment | Тип, марка / | Примечание / Note |
Хроматомасс-спектрометрия / Chromatography-mass spectrometry | Хроматомасс-спектрометр / Chromatography-mass spectrometer | GCMS–QP2010 «Шимадзу» / Shimadzu | Метод внутренней нормализации / Method of intrinsic normalisation |
Интерпретация масс-спектров / Interpretation of mass spectra | Программное обеспечение / Software | GCMSSolution 2.5 | 250 000 масс-спектров / 250 000 mass spectra |
Стендовые испытания / Bench tests | Автотракторный дизель / Autotractor Diesel | Д-245.5S2 / D-245.S2 | Мощность 70 кВт / Power 70 kWt |
Топливная экономичность / | Расходомер / Flowmeter | АИР-50 / ACE-50 | Точность ± 1 % / Accuracy ± 1 % |
Токсичность ОГ / | Газоанализатор / | MGT 5 | Погрешность ± 3 % / Error ± 3 % |
Fig. 1. Chromatography-mass spectrometer
Лабораторные опыты производились в химической лаборатории ФГБОУ ВО «Вятский государственный университет». Экспериментальные исследования проводились в испытательной лаборатории и на опытном поле УО «Белорусская государственная сельскохозяйственная академия».
В исследованиях использовались пять образцов РМ, произведенных на территории Российской Федерации, Республики Беларусь и Германии.
Подготовка проб проводилась с использованием методики получения метиловых эфиров жирных кислот из триглицеридов переэтерификацией с метанольным раствором гидроокиси калия в соответствии с ГОСТом 31665-20124.
Жирокислотный состав образцов масел исследовался методом капиллярной газовой хроматомасс-спектрометрии на газовом хроматомасс-спектрометре производства Японии с масс-фильтром квадрупольного типа. Прибор был оснащен капиллярной кварцевой колонкой с полидиметилфенилсилоксановой неподвижной жидкой фазой. Относительное процентное содержание кислот в исследуемых маслах определялось по площадям хроматографических пиков соответствующих метиловых эфиров.
Получаемые экспериментальные масс-спектры интерпретировались с помощью программного обеспечения. Анализ нормализованных данных позволил определить образец РМ, обеспечивающий наибольшую скорость и полноту сгорания. Идентификация химических соединений производилась также по их временам (индексам) удерживания, зависящим от природы соединения, неподвижной жидкой фазы колонки и условий проведения эксперимента.
Теоретический анализ образования оксидов азота при сгорании РМ производился с учетом общепринятых путей их образования, известных первичных способов их снижения и процессов дожигания топлива [22]. Получение экспериментальных экологических характеристик осуществлялось при полном нагружении тракторного дизеля при его работе на топливе, содержащем 20 % и 55 % РМ5.
Работа тракторного дизеля исследовалась при номинальной частоте вращения коленчатого вала 1800 мин-1 и частоте вращения, соответствующей максимальному крутящему моменту 1400 мин-16.
Первоначально двигатель прошел обкатку продолжительностью 60 мото-часов на режимах, утвержденных технической документацией завода-изготовителя7. Перед началом проведения испытаний выполнялся прогрев двигателя. После прогрева двигатель выводился на номинальный скоростной режим работы. Этот режим являлся контрольным8. Для уменьшения погрешностей измерений замер показателей при испытаниях в каждом опыте повторялся не менее 3 раз, брался усредненный результат. Полученные данные приводилось к стандартным атмосферным условиям, температуре и плотности топлива согласно ГОСТу 18509-889.
Результаты исследования
В таблице 2 приведены результаты хроматографического анализа нескольких образцов рапсового масла; на рисунке 3 – хроматограмма, соответствующая образцу № 19.
Таблица 2 Процентное содержание кислотных остатков в образцах рапсового масла
Table 2 Percentage of the acid rests in samples rape seed oils
Название кислоты / Acid | Число атомов углерода / Number of carbon atoms | Число двойных связей / Number of double links | Образец / Sample | ||||
2 | 3 | 4 | 12 | 19 | |||
Пальмитиновая / Palmitic acid | 16 | Нет / No | 4,67 | 4,72 | 4,73 | 0,69 | 3,92 |
Маргариновая / Margaric acid | 17 | Нет / No | 0,19 | 0,19 | 0,19 | – | 0,17 |
Стеариновая / Stearic acid | 18 | Нет / No | 1,75 | 1,65 | 1,47 | 0,75 | 1,74 |
Олеиновая / Oleic acid | 18 | 1 | 63,55 | 64,74 | 65,10 | 89,86+0,94 | 63,79 |
Линолевая / Linoleic acid | 18 | 2 | 19,58 | 18,71 | 19,65 | 7,52 | 19,27 |
Линоленовая / Linolenic acid | 18 | 3 | 8,15 | 8,10 | 7,83 | – | 9,94 |
Арахиновая / Arachinic acid | 20 | Нет / No | 0,42 | 0,32 | 0,28 | – | 0,41 |
Эйкозеновая / Eicosene acid | 20 | 1 | 1,68 | 1,56 | 0,74 | – | 0,76 |
Бегеновая / Behenic acid | 22 | Нет / No | – | – | – | 0,24 | – |
Fig. 3. Chromatogram
Таблица 3 Данные анализа хроматограммы
Table 3 Data of the analysis of the chromatogramm
Peak# | Height | Ret.Time | Area | Conc. | Units | Name |
1 | 1 614 | 2,349 | 2 442 | 1,573 | % | RT2.349 |
2 | 2 664 | 6,191 | 5 999 | 3,864 | % |
|
3 | 27 | 6,395 | 43 | 0,028 | % | RT6.395 |
4 | 132 | 6,451 | 256 | 0,165 | % | ! |
5 | 1 141 | 7,921 | 2 651 | 1,707 | % | “ |
6 | 38 070 | 8,124 | 97 466 | 62,774 | % |
|
7 | 12 422 | 8,542 | 29 439 | 18,960 | % |
|
8 | 6 409 | 9,115 | 15 185 | 9,780 | % |
|
9 | 228 | 9,573 | 625 | 0,402 | % | # |
10 | 450 | 9,766 | 1 160 | 0,747 | % | $%&' |
Total | 63 157 |
| 155 266 | 100,000 |
|
|
Известно, что добавление РМ приводит к увеличению времени сгорания топливной смеси. В связи с этим предпочтительным для приготовления топливной смеси является образец № 19, поскольку массовая доля непредельных кислот в его составе максимальна (93 %). Данное обстоятельство напрямую влияет на увеличение скорости процесса сгорания.
Цепная реакция горения протекает предположительно по следующему механизму. Молекула кислорода присоединяется по месту двойной связи с образованием пероксида:
(1)
Молекула пероксида крайне неустойчива, происходит ее термическая деструкция с разрывом связей O – O и С – С. Образовавшиеся свободные радикалы химически чрезвычайно реакционноспособны; дальнейшее окисление происходит с образованием различных карбонильных, карбоксильных соединений до H2O и CO2.
Согласно литературным данным, образование оксидов азота, из которых на NO приходится более 90 %, при горении углеводородного топлива в воздухе обусловлено двумя механизмами [18]. Термический механизм предполагает цепную реакцию, основными элементарными актами которой являются10:
O2 ↔ 2Ȯ, (2)
N2 + Ȯ ↔ NO + Ṅ, (3)
Ṅ + O2 ↔ NO + Ȯ, (4)
Ṅ + ȮH ↔ NO + Ḣ, (5)
NCN + O2 ↔ NCO + NO, (7)
NCN + ȮH ↔ HCN + NO, (8)
HCN + Ȯ ↔ NH + CO, (9)
NH + Ȯ ↔ NO + Ḣ. (10)
Как известно, добавка РМ существенно замедляет горение топливной смеси, что в свою очередь приводит к понижению средней температуры. Следовательно, содержание оксидов азота в ОГ двигателя, работающего на топливной смеси, должно снижаться по сравнению с работой на чистом ДТ.
Вследствие высокой энергии диссоциации молекулы кислорода (496 кДж/моль) и энергии активации реакции (2) (316 кДж/моль) указанные реакции протекают при достаточно большой температуре.
В частности, в работе Я. Б. Зельдовича рассматриваются главным образом температуры, характерные для взрыва и достигающие 3000 К и более11. Тогда как максимальная температура в цилиндре дизельного двигателя не превышает 1800 К. По-видимому, при таких температурах существенную роль играет «быстрый» механизм [18; 19] с участием углеводородных радикалов:
ĊH + N2 ↔ NCN + Ḣ. (6)
На полуколичественном уровне этот результат может быть обоснован с использованием полученного Л. В. Москалевой [19] выражения для константы скорости реакции (11):
k3 = 2,22∙107 T1,48 × exp( ─ 11760/T), см3/(моль∙с). (11)
Согласно работе Л. В. Москалевой, указанное выражение справедливо в интервале температур 1500…4000 К при давлении 0,5…2 атм. [19]. Образующийся в результате последующих реакций (2)–(5) оксид азота в высокотемпературной области быстро разрушается; «выживают» лишь те молекулы, которые за время сгорания топливной смеси успевают диффундировать в низкотемпературную пристеночную область цилиндра. Так или иначе, содержание оксида азота в отработавшем газе пропорционально скорости k3 инициирующей реакции (11). При характерной для горения топлива в дизельном двигателе температуре 1800 К значение k3 составляет 2,12∙109 см3/(моль∙с); снижение рабочей температуры вследствие добавки РМ на 200 К должно приводить к уменьшению k3 до 7,88∙108 см3/(моль∙с), то есть приблизительно в 2,7 раза.
Однако следует учитывать эндогенное происхождение соединений азота. Содержание фосфолипидов в растительных маслах может достигать 4 %. Кроме того, свое влияние оказывают пигменты группы хлорофилла, которые придают РМ желтовато-зеленоватый оттенок. Их содержание значительно меньше (до 0,008 %). Все они содержат связанный азот, который в процессе горения легко превращается в NOх. И в случае, если рапс усиленно удобряли популярным в этом отношении карбамидом, то содержание азота в РМ и продуктах его сгорания может возрастать.
Одновременно должно наблюдаться увеличение концентрации СО, причем увеличение тем больше, чем выше частота вращения коленчатого вала. Отсюда следует, что желательно также растянуть во времени процесс впрыска топливной смеси в цилиндр. Это должно привести к дополнительному снижению выбросов оксидов азота, увеличению времени горения и, соответственно, уменьшению содержания СО в отработавших газах.
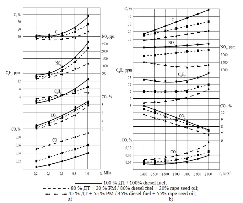
Теоретические выкладки подтверждаются экспериментально: в случае работы на смеси, содержащей 55 % РМ, концентрация NOх снижается в 2–2,5 раза (рис. 4).
а) при переменной нагрузке; b) при переменной частоте вращения коленчатого вала
Fig. 4. Diesel engine environmental performance: a) at variable loading; b) at variable engine speed
Обсуждение и заключение
В результате проведенных исследований впервые получены количественные значения показателей компонентного состава образцов РМ различного происхождения. Анализ полученных масс-спектров позволил установить, что наиболее предпочтительным для использования в качестве моторного топлива является образец № 19 с максимальной долей непредельных кислот в его составе (93 %), что позволит иметь максимальную скорость и полноту сгорания.
Выявлен предположительный механизм протекания цепной реакции горения смесевого топлива. На основе анализа механизмов образования оксидов азота (NOх) при сгорании РМ теоретически обосновано и экспериментально подтверждено выражение расчета константы скорости реакции, показывающее их результат на полуколичественном уровне. Объяснены основные причины, вызывающие рост или снижение выбросов оксидов азота в ОГ двигателя.
Установлено, что на концентрацию оксидов азота NOx в ОГ существенно влияет эндогенное происхождение соединений азота. Наличие в РМ фосфолипидов и пигментов группы хлорофилла может повысить эмиссию оксидов азота при работе двигателя. Тем самым разрешено существующее противоречие научных данных различных исследователей.
Результаты теоретических разработок и анализа экспериментальных данных позволят осуществлять выбор наиболее рациональных путей использования различных видов растительных масел в двигателе внутреннего сгорания.
1 Ребиндер П. А. Поверхностные явления в дисперсных системах. Коллоидная химия. Избранные труды. М.: Наука, 1978. 368 с.
2 Зельдович Я. Б. Теория горения и детонации газов. М.: АН СССР, 1944. 396 с.
3 Биотоплива для двигателей внутреннего сгорания / В. А. Марков [и др.]. М.: НИЦ «Инженер», 2016. 292 с.
4 ГОСТ 31665-2012. Масла растительные и жиры животные. Получение метиловых эфиров жирных кислот.
5 Коробейников А. Т., Лихачёв В. С., Шолохов В. Ф. Испытания сельскохозяйственных тракторов. М.: Машиностроение, 1985. 239 с.
6 Барский И. Б., Анилович В. Я., Кутьков Г. М. Динамика трактора. М.: Машиностроение, 1973. 280 с.
7 Руководство по эксплуатации «Беларус 812/822/912/922» 822-0000010РЭ: утв. ПО «Минский тракторный завод». Минск, 1999. 339 с.
8 Тракторные дизели: справочник / Под общ. ред. Б. А. Взорова. М.: Машиностроение, 1981. 585 с.
9 ГОСТ 18509-88. Дизели тракторные и комбайновые. Методы стендовых испытаний (с Изменением N 1).
10 Зельдович Я. Б., Садовников П. Я., Франк-Каменецкий Д. А. Окисление азота при горении. Москва – Ленинград: Изд-во АН СССР, 1947. 148 с.
11 Там же.
Об авторах
Сергей Александрович Плотников
ФГБОУ ВО «Вятский государственный университет»
Автор, ответственный за переписку.
Email: PlotnikovSA@bk.ru
ORCID iD: 0000-0002-8887-4591
ResearcherId: R-8491-2016
профессор кафедры технологии машиностроения, доктор технических наук
Россия, 610000, г. Киров, ул. Московская, д. 36Павел Яковлевич Кантор
ФГБОУ ВО «Вятский государственный университет»
Email: shawl@list.ru
ORCID iD: 0000-0002-3033-6512
доцент кафедры физики и методики обучения физике, кандидат физико-математических наук
Россия, 610000, г. Киров, ул. Московская, д. 36Илья Сергеевич Козлов
ФГБОУ ВО «Вятский государственный университет»
Email: vz-43@mail.ru
ORCID iD: 0000-0003-1448-5144
аспирант кафедры машин и технологий деревообработки
Россия, 610000, г. Киров, ул. Московская, д. 36Марина Николаевна Втюрина
ФГБОУ ВО «Вятская государственная сельскохозяйственная академия»
Email: vtyurina-60@mail.ru
ORCID iD: 0000-0002-2366-3929
ResearcherId: AAC-7407-2019
доцент кафедры почвоведения, мелиорации, землеустройства и химии, кандидат химических наук
Россия, 610017, г. Киров, Октябрьский проспект, д. 133Список литературы
- Williams, F. A. Combustion theory / F. A. Williams. – [2nd ed.]. – Menlo Park, California : The Benjamin/Cummings Publishing Company, 1985. – 665 p. – ISBN 0-8053-9801-5. URL: http://behineh-sazan.ir/wp-content/uploads/2016/12/Williams-F.A.-Combustion-Theory-2ed.-Benjamin-Pub.-1985.pdf(дата обращения: 20.01.2020).
- Guana, M. A Study on Triacylglycerol Composition and the Structure of High-Oleic Rapeseed Oil / M. Guana, H. Chen, X. Xionga [et al.]. – doi: 10.1016/J.ENG.2016.02.004 // Engineering.– 2016. – Vol. 2, issue 2. – Pp. 258–262. URL: https://www.sciencedirect.com/science/article/pii/S2095809916309523?via%3Dihub (дата обращения: 20.01.2020).
- Bocianowski, J. Determination of Fatty Acid Composition in Seed Oil of Rapeseed (Brassica Napus L.) by Mutated Alleles of the FAD3 Desaturase Genes / J. Bocianowski, K. Mikołajczyk, I. Bartkowiak-Broda. – doi: 10.1007/s13353-011-0062-0 // Journal of Applied Genetics. – 2012. – Vol. 53, issue 1. – Pp. 27–30. URL: https://link.springer.com/article/10.1007%2Fs13353-011-0062-0 (дата обращения:20.01.2020).
- Gruzdienė, D. Chemical Composition and Stability of Rapeseed Oil Produced from Various Cultivars Grown in Lithuania / D. Gruzdienė, E. Anelauskaite // The 11th International Congress of Engineering and Food. – Athens, 2011. – Pp. 1–4. URL: https://www.semanticscholar.org/paper/Chemical-composition-and-stability-of-rapeseed-oil-Gruzdiene%CC%87-Anelauskait%C4%97/11a8693031c52d96ebd81d52b2c204535a070466 (дата обращения: 20.01.2020).
- Плотников, С. А. Исследование моторных свойств смесей дизельного топлива с рапсовым маслом / С. А. Плотников, П. Я. Кантор, И. С. Козлов [и др.] // Труды НГТУ им. Р. Е. Алексеева. –2018. – № 2 (121). – С. 169–174. URL: https://www.nntu.ru/frontend/web/ngtu/files/nauka/izdaniya/trudy/2018/02/2018-02.pdf (дата обращения: 20.01.2020).
- Rößler, M. Formation of Engine Internal NO2: Measures to Control the NO2/NOX Ratio for Enhanced Exhaust After Treatment / M. Rößler, A. Velji, C. Janzer [et al.]. – doi: 10.4271/2017-01-1017 //SAE Int. J. Engines. – 2017. – Vol. 10, issue 4. – Pp. 1880–1893. URL: https://saemobilus.sae.org/content/2017-01-1017/ (дата обращения: 20.01.2020).
- Rößler, M. Mechanisms of the NO2 Formation in Diesel Engines / M. Rößler, T. Koch, C. Janzer[et al.] // MTZ worldwide. – 2017. – Issue 7–8. URL: https://www.fvv-net.de/fileadmin/user_upload/medien/fachzeitschriften/2017-07_08_MTZ_1173_NO2_Formation_Mechanisms_EN.pdf (дата обращения: 20.01.2020).
- Новопашин, Л. А. Получение и исследования свойств биодизеля в качестве топлива для тракторов в условиях Урала / Л. А. Новопашин, Л. В. Денежко // Аграрный вестник Урала. – 2014. –№ 4 (122). – С. 43–49. URL: http://avu.usaca.ru/ru/issues/63/articles/1630 (дата обращения: 20.01.2020).
- McDonnell, K. Properties of Rapeseed Oil for Use as a Diesel Fuel Extender / K. McDonnell,S. Ward, J. J. Leahy, [et al.]. – doi: 10.1007/s11746-999-0001-y // Journal of the American Oil Chemists’Society. – 1999. – Vol. 76, issue 5. – Рp. 539–543. URL: https://aocs.onlinelibrary.wiley.com/doi/abs/10.1007/s11746-999-0001-y (дата обращения: 20.01.2020).
- Плотников, С. А. Исследование экономической эффективности от снижения токсичности дизеля 4ЧН 11,0/12,5 путем применения рапсового масла / С. А. Плотников, А. Н. Карташевич,П. Н. Черемисинов [и др.] // Труды НГТУ им. Р. Е. Алексеева. – 2019. – № 1 (124). – С. 204–209.URL: https://cyberleninka.ru/article/n/issledovanie-ekonomicheskoy-effektivnosti-ot-snizheniya-toksichnosti-dizelya-4chn-11-0-12-5-putem-primeneniya-rapsovogo-masla (дата обращения: 20.01.2020).
- Baquero, G. Use of Rapeseed Straight Vegetable Oil as Fuel Produced in Small-Scale Exploitations/ G. Baquero, B. Esteban, J.-R. Riba [et al.]. – doi: 10.5772/18183 // Biofuel’s Engineering Process Technology. – IntechOpen, 2011. URL: https://www.intechopen.com/books/biofuel-s-engineering-process-technology/use-of-rapeseed-straight-vegetable-oil-as-fuel-produced-in-small-scale-exploitations (дата обращения: 20.01.2020).
- Merkisz, J. Rapeseed Oil Methyl Esters (RME) as Fuel for Urban Transport / J.Merkisz, P. Fuć,P. Lijewski [et al.]. – doi: 10.5772/62218 // Alternative Fuels, Technical and Environmental Conditions. –IntechOpen, 2016. URL: https://www.intechopen.com/books/alternative-fuels-technical-and-environmental-conditions/rapeseed-oil-methyl-esters-rme-as-fuel-for-urban-transport (дата обращения: 20.01.2020).
- Tucki, K. The Effects of Pressure and Temperature on the Process of Auto-Ignition and Combustion of Rape Oil and Its Mixtures / K. Tucki, R. Mruk, O. Orynycz [et al.]. – doi: 10.3390/su11123451 // Sustainability.– 2019. – Vol. 11, issue 12. – Рp. 34–51. URL: https://www.mdpi.com/2071-1050/11/12/3451(дата обращения: 20.01.2020).
- Desantes, J. M. Evaluation of the Evaluation of the Thermal NO Formation Mechanism under Low-Temperature Diesel Combustion Conditions / J. M. Desantes, J. J. Lopez, P. Redon [et al.]. – doi: 10.1177/1468087411429638 // International Journal of Engine Research. – 2012. – Vol. 13, issue 6. –Рр. 531–539. URL: https://journals.sagepub.com/doi/10.1177/1468087411429638 (дата обращения:20.01.2020).
- Yang, J. Chemical Kinetic Study of Nitrogen Oxides Formation Trends in Biodiesel Combustion / J. Yang, V. I. Golovitchev, P. R. Lurbe [et al.]. – doi: 10.1155/2012/898742 // International Journal of Chemical Engineering. – 2012. – Vol. 2012. – 22 p. URL: https://www.hindawi.com/journals/ijce/2012/898742/ (дата обращения: 20.01.2020).
- Chaurasiya, P. K. Combustion and Emission Characteristics of Diesel Fuel Blended with Raw Jatropha, Soybean and Waste Cooking Oils / P. K. Chaurasiya, S. K. Singh, R. Dwivedi [et al.]. – doi: 10.1016/j.heliyon.2019.e01564 // Heliyon. – 2019. – Vol 5, issue 5. – Pp. 1–7. URL: https://www.sciencedirect.com/science/article/pii/S2405844019319942?via%3Dihub (дата обращения: 20.01.2020).
- Golovitchev, V. I. Construction of Combustion Models for Rapeseed Methyl Ester Bio-DieselFuel for Internal Combustion Engine Applications / V. I. Golovitchev, J. Yang. – doi: 10.1016/j.biotechadv.2009.04.024 // Biotechnology Advances. – 2009. – Vol. 27, issue 5. – Рp. 641–655. URL: https://www.sciencedirect.com/science/article/pii/S073497500900072X?via%3Dihub (дата обращения:20.01.2020).
- Fenimore, C. P. Formation of Nitric Oxide in Premixed Hydrocarbon Flames / C. P. Fenimore.– doi: 10.1016/S0082-0784(71)80040-1 // Symposium (International) on Combustion. –1971. – Vol. 13, issue 1. – Pp 373–380. URL: https://www.sciencedirect.com/science/article/abs/pii/S0082078471800401?via%3Dihub (дата обращения: 20.01.2020).
- Moskaleva, L. V. The Spin-Conserved Reaction CH+N2→H+NCN: a Major Pathway to Prompt No Studied by Quantum/Statistical Theory Calculations And Kinetic Modeling of Rate Constant /L. V. Moskaleva, M. C. Lin. – doi: 10.1016/S0082-0784(00)80652-9 // Proceedings of the Combustion Institute. – 2000. – Vol. 28, issue 2. – Pp. 2393–2401. URL: https://www.sciencedirect.com/science/article/pii/S0082078400806529?via%3Dihub (дата обращения: 20.01.2020).
Дополнительные файлы























