Developing a Quasi-Optimal, in Terms of Transition Time and Energy Consumption, Closed-Loop Control System for an Electrical Installation
- Authors: Khoroshavin V.S.1, Grudinin V.S.1
-
Affiliations:
- Vyatka State University
- Issue: Vol 32, No 2 (2022)
- Pages: 279-294
- Section: Electrical Technologies and Equipment
- Submitted: 09.06.2025
- Accepted: 09.06.2025
- Published: 11.06.2025
- URL: https://ogarev-online.ru/2658-4123/article/view/296313
- DOI: https://doi.org/10.15507/2658-4123.032.202202.279-294
- ID: 296313
Cite item
Full Text
Abstract
Introduction. The efficiency and normal work of electrotechnological processes and installations in their operation dynamic modes is characterized by the time of transition from initial to final state, low energy consumption, accuracy in transients and stability of the desired final state. It is proposed, from a single position on the basis of special optimal control, to combine transition and stabilization systems both in terms of determining the control algorithm with minimal energy consumption in the function of the object states and determining the parameters and conditions of movement with minimal deviation from a given trajectory providing the optimal transmission time and energy saving in a stable closed system of an object control.
Materials and Methods. The principle of maximum is used as the main method for finding optimal program control, which for the study of special modes was supplemented with the apparatus of the position generality conditions for nonlinear objects with the coordinate space expansion, taking into account the occurrence of time and optimality criterion. The position generality apparatus is also used to solve energy-saving problems through using linearization in a large source object. Quasi-optimality in terms of transition time and energy consumption is achieved through minimizing energy according to the program motion parameter, which has a contradictory effect on the transition time and control amplitude.
Results. To assess computational difficulties, transition time, energy saving, accuracy and stability, an example of inertial object control according to various criteria is given. The structure of a closed quasi-optimal system with stationary feedback, which is simple in technical implementation, is obtained.
Discussion and Conclusion. The formalization of the approach to the construction of quasi-optimal systems based on the position generality allows it to be used in multi-criteria optimization tasks and computer-aided design systems for energy-intensive industrial, transport, and agricultural electrical installations.
Full Text
Введение
Для электротехнических процессов и установок актуальна задача повышения эффективности работы, так как 70 % вырабатываемой электроэнергии потребляют электроприводы, 10 % – электротермические установки1. Установки инфракрасного излучения, светотехнические и насосные установки являются энергоемкими в современных технологиях выращивания сельскохозяйственных культур в защищенном грунте [1]. Многие процессы и установки, особенно тепловые, имеют большую инерционность, то есть длительные динамические режимы перехода в устойчивое требуемое выходное состояние. Динамические режимы электроустановок как объектов управления с достаточной точностью описываются обыкновенными дифференциальными уравнениями, а в качестве управляющих воздействий служат ограниченные электрические переменные: обычно амплитуда, частота или скважность напряжения или тока.
В технических приложениях задачи оптимального перехода формулируются как задачи быстродействия, на минимум ресурсов (энерго- и ресурсосбережения) и точности (программного движения). Утверждается, что оптимальное энергосберегающее управление электрической сушильной камерой позволяет при определенных граничных условиях сэкономить до 60 % потребляемой электроэнергии [2]. Но известные алгоритмы оптимального быстродействия и энергосбережения отыскиваются в виде программного (то есть в функции времени) управления, не обеспечивают устойчивости конечного состояния объекта и в лучшем случае могут быть реализованы в форме нестационарной обратной связи.
Цель работы – применить особое оптимальное управление в качестве единого подхода для нахождения алгоритма управления с минимальными энергозатратами в функции состояний объекта, а также определить параметры и условия программного движения, обеспечивающие эффекты быстродействия и энергосбережения в устойчивой замкнутой системе управления электроустановкой.
Обзор литературы
Для решения оптимальных задач в технических приложениях используется принцип максимума Понтрягина, так как он, в отличие от классического вариационного исчисления, позволяет найти кусочно-непрерывное управление и учесть ограничения на переменные объекта2. Оптимальное управление отыскивается как функция зависящих от времени вспомогательных переменных, вводимых принципом максимума. Но в задачах быстродействия и на минимум ресурсов, нелинейных по координатам с линейным управлением, возможно существование особого режима, когда принцип максимума не устанавливает однозначной связи между оптимальным управлением и вспомогательными переменными3. Известные способы вычисления особого управления используют вспомогательные переменные непосредственно или с помощью скобок Пуассона [3; 4]. Найти решение для вспомогательных переменных, даже в функции времени, сложно, а для построения замкнутой системы в функции координат, позволяющей компенсировать действующие на объект возмущения, невозможно из-за неразрешимости двухточечной граничной задачи, к которой сводится решение оптимальной задачи. В задачах энергосбережения с квадратичным по управлению критерием особых режимов не возникает, но даже если оптимальное управление в функции времени будет получено, то синтез замкнутой системы осуществляется с помощью зависящих от времени и граничных условий обратных связей [2]. Тогда как для простоты технической реализации системы требуются стационарные обратные связи.
Для достижения предельного быстродействия или минимума ресурсов в задачах с линейным управлением необходимо кусочно-постоянное управление с максимально возможными амплитудами воздействия, что ведет к перерегулированию координат, а моменты переключения определяются нелинейными нестационарными поверхностями переключения или стыковки особых и неособых траекторий [5; 6]. Поэтому алгоритмы оптимального быстродействия неприменимы в задачах программного движения или оптимального по точности управления по достижению минимального отклонения от заданной траектории, особенно для объектов с длительными и частыми динамическими режимами перехода [7]. К тому же при оптимальном быстродействии не обеспечивается устойчивость конечного состояния в отличие от программного движения, гарантирующего ее на полубесконечном интервале времени.
Что касается связи решений задач управления с критериями быстродействия и энергосбережения, то известны противоположные точки зрения: от их полного противопоставления, что объясняется необходимостью больших энергозатрат для увеличения быстродействия, до их полного совпадения, что справедливо при управлении в большом, когда при больших диапазонах задания начального и конечного состояний выхода минимальные энергозатраты получаются при максимально возможном управлении, то есть как в задаче быстродействия4 [8]. Сравнительные анализы оценки критериев быстродействия, энергозатрат и точности (программного движения) выполнены при управлении реальными тепловыми процессами в металлургии и теплоснабжении [9‒11]. На основе анализа особых, в смысле принципа максимума, режимов в задачах с линейным вхождением управления показано, что алгоритмы оптимальных управлений по быстродействию и на минимум ресурсов совпадают, если критерий на минимум ресурсов физически адекватно отражает поступление энергии в управляемый процесс [12].
Исходя из обзора литературы, можно говорить об актуальности разработки подхода по совмещенному определению алгоритма управления на базе принципа максимума и его особенностей в функции состояний объекта. Подход важен для построения устойчивой замкнутой системы управления.
Материалы и методы
Пусть математическое описание объекта управления (электроустановки) задается системой обыкновенных дифференциальных уравнений, нелинейных по координатам с линейным скалярным управлением в векторно-матричной форме:
(1)
где вектор координат объекта; U – управление, 0 ≤ U ≤ 1; элементы вектор-столбцов A(x), B(x) непрерывны и дифференцируемы по x.
Задачами системы управления являются, во-первых, выработка ограниченного управления в функции времени или координат, переводящего объект из начального состояния x(0) в конечное x(T) за незаданное или заранее заданное время и обеспечивающего минимум критерию оптимальности в виде интегрального функционала, учитывающего временные или энергетические затраты или отклонение текущей траектории от заданной (задача оптимального управления); во-вторых, последующая стабилизация конечного состояния в замкнутой системе со стационарными обратными связями (задача устойчивости или, в конечном счете, обеспечения работоспособности установки).
Для решения первой задачи оптимального управления с определением существования особого режима и вычисления особого управления в явном виде от координат и параметров нелинейного объекта, что необходимо на практике для синтеза замкнутой системы с обратной связью, применим аппарат условий общности положения (УОП) для нелинейных объектов. УОП был выведен в работе В. А. Олейникова для задач быстродействия и расширен для задач на минимум ресурсов в одном из наших исследований5.
Покажем применение УОП для нелинейных объектов в расширенном пространстве координат в задаче программного движения с критерием
(2)
учитывающим квадратичные отклонения текущей выходной координаты объекта от требуемой [13]. Задача (1), (2) является нелинейной по координатам, поэтому в ней при использовании принципа максимума, даже для линейных объектов, возможно возникновение особых ситуаций, если на некотором интервале времени :
(3)
где ψ – вектор вспомогательных переменных, вводимых принципом максимума, из уравнения
Условие существования особого режима (3) требует анализа вспомогательных переменных ψ(t). Чтобы его избежать, в аппарате УОП вычисляются векторы Bj, j = 2,…, n + 2, по рекуррентному соотношению:
(4)
где
После образования матрицы Dn+2 размером (n + 2) ∙ (n + 2) из векторов (B1 … Bn+2) и приравнивания к нулю определителя det Dn+2 = 0 находятся уравнения особых траекторий и особых управлений, множество которых можно расширить путем приравнивания к нулю функциональных элементов матрицы Dn+2, так как при этом тождественно выполняются условия особого режима (3).
При исследовании функциональных элементов матрицы Dn+2 учитываются не только особые режимы задачи программного движения, но и задач быстродействия и на минимум ресурсов с линейным управлением, так как в матрицу Dn+2 вложены матрицы
проверяемые в этих задачах. Таким образом, свойства оптимального по быстродействию управления являются характерными для объекта и сохраняются при других критериях оптимальности, а в целом проверка УОП позволяет выявить общие свойства оптимального управления в задачах быстродействия, на минимум ресурсов и программного движения.
Интегральный критерий энергозатрат для большинства электротехнических устройств имеет вид
(5)
Как и М. Атанс и П. Фалб, предположим, что «U(t) – скаляр, пропорциональный напряжению или току, тогда величина U 2(t) пропорциональна мощности, а пропорционален энергии, израсходованной на интервале [t0, T ]»6. Такой критерий энергозатрат используется в большинстве работ, но иногда, как заметил Ю. П. Петров, «в задачах частотного управления рекомендуется использовать критерий так как потери на гистерезис и вихревые токи пропорциональны соответственно первой и второй степени частоты электрического сигнала»7.
Задача энергосбережения (1), (5) нелинейна по управлению, поэтому особых режимов в ней не возникает, и при ее решении можно однозначно выразить оптимальное программное управление, как отмечает В. И. Ловчаков, через вспомогательные переменные с помощью принципа максимума или множители Лагранжа в классическом вариационном исчислении или методом динамического программирования [2].
Чтобы исключить трудоемкую операцию нахождения дополнительных переменных, предложен способ поиска дифференциального уравнения для оптимального управления в функции координат объекта, основанный на применении аппарата УОП для нелинейных объектов, для чего производится приведение исходной задачи (1), (5) к редуцированной задаче с линейным вхождением управления, в которой возможно существование особого режима. Как мы писали в одной из предыдущих работ, «УОП для нелинейных объектов в расширенном пространстве координат Rn+2 применяются к редуцированной задаче энергосбережения (1), (5):
Из выражения для детерминанта и элементов матрицы Dn+2 = (B1 B2 … Bn Bn+1 Bn+2), вычисленных с учетом замены U на y по рекуррентному соотношению (4), в общем случае получается множество особых управлений y и его производных по времени в функции координат редуцированного объекта
а после обратной замены переменных управления в редуцированной задаче на переменные управления в исходной задаче
получается дифференциальное уравнение для оптимального программного управления в функции координат исходного объекта»8. А именно:
Постоянные интегрирования в общем решении системы дифференциальных уравнений объекта (1) и дифференциального уравнения для оптимального программного управления (6) определяются из решения двухточечной граничной задачи для заданных состояний выхода объекта и его (n – 1) производных в начальный и конечный фиксированный момент времени T. Получаемое управление и соответствующие фазовые траектории являются трансцендентными функциями от времени, и замкнутая система может быть реализована с помощью нелинейных функциональных преобразователей, нестационарной обратной связи или путем аппроксимации траекторий и управления [2; 14–16].
Что касается второй задачи, стабилизации, то алгоритмы быстродействия и энергосбережения не обеспечивают устойчивость конечного состояния. Алгоритм программного движения может гарантировать устойчивость, поэтому для его эффективности по быстродействию и энергосбережению предлагается ввести в желаемый закон движения выходной координаты объекта такой параметр τ, который противоречиво влияет на время переходного процесса T и амплитуду управляющего воздействия U. Таким параметром, исходя из физических соображений по второму закону Ньютона, может быть мера инерционности процесса. Если взять апериодическое звено первого порядка с дифференциальной связью , то T прямо пропорционально τ и составляет (3÷4)τ, а амплитуда U обратно пропорциональна τ. Тогда выбор параметра τ дает эффективные решения для значений T и U, так как нельзя уменьшить значение одного, не увеличивая значение другого9. Найти оптимальные значения быстродействия T и энергии E как интеграла от квадрата управления U можно из экстремума энергии E по параметру τ при переходе из начального состояния xнач в конечное xкон за время T по условию
(7)
Если при вычисленном по (7) τопт выполняются ограничения по управлению и координатам, то в задаче программного движения с критерием (2) при
(8)
обеспечивается квазиоптимальное (в смысле локальной оптимальности, в отличие от глобальной оптимальности при оптимальном программном управлении) управление по быстродействию и энергозатратам.
Устойчивость квазиоптимальной системы можно проверить по функции Ляпунова методами качественной теории дифференциальных уравнений или критериев устойчивости [17]. Структура замкнутой квазиоптимальной системы для линейных объектов управления содержит линейные стационарные обратные связи с коэффициентами передачи, зависящими от параметра τопт.
Результаты исследования
Покажем применение предложенных на основе особого оптимального управления подходов в решении задач оптимального и квазиоптимального управления линейным объектом, динамика которого описывается линейным дифференциальным уравнением
(9)
где коэффициент усиления и постоянная времени равны 1, на управление и состояние наложены ограничения 0 ≤ U ≤ 1, 0 ≤ x1 ≤ 1. Граничные условия x1нач = 0, x1кон = xк. Выбор объекта объясняется меньшей громоздкостью вычислений и большей прозрачностью результатов для оценки вычислительных, временных и энергетических затрат и оценки устойчивости получаемых решений.
Задача оптимального энергосберегающего управления
УОП в расширенном пространстве координат R3 применяются к редуцированной задаче
Вычисляются векторы Bj, j = 1, 2, 3, по соотношению (4), и образуется матрица D3:
Из det D3 = 0 определяется особое управление в редуцированной задаче y – x0 = 0, после перехода к оптимальному управлению в исходной задаче решается система дифференциальных уравнений
Общим решением системы дифференциальных уравнений объекта и управления являются
Постоянные интегрирования определяются из граничных условий. Пусть x1(0) = 0, x1кон = 0,5 при T = 2. Графики переходных процессов для координаты x1*(t) = 0,069(et + e–t) и оптимального программного управления U *(t) = 0,138e t приведены на рисунке 1. При этом затраты энергии что на 30,7 % меньше, чем энергозатраты в разомкнутой системе с управлением U*(t) = 0,5 на интервале времени t [0, 3]. Но аналитически выразить U* через x1* из-за трансцендентности невозможно, к тому же нужно будет дополнительно решать задачу стабилизации конечного состояния.
Fig. 1. Trajectories x1 * and U* of optimal programmed control
Задача квазиоптимального управления
Рассмотрим задачу программного движения для объекта (9) с критерием
учитывающим переход из x1(0) = 0 в x1(T → ∞) = xк c минимальными квадратичными отклонениями от переходного процесса апериодического звена с U = xк.
Применим УОП в расширенном пространстве координат R3 к поставленной задаче
После вычисления векторов Bj, j = 1, 2, 3, по соотношению (4) образуем матрицу D3 = (B1 B2 B3):
из элементов которой
определяются в функции времени особая траектория, совпадающая с желаемой по критерию (10), и особое управление, являющееся оптимальным в задаче программного движения
(11)
После исключения времени в последних находится управление в замкнутой системе, линейно зависящее от координаты x1:
(12)
На рисунке 2 приведена графическая иллюстрация связей между переменными в уравнении (12). Из уравнений (11) и (12) следует, что начальная амплитуда управления U(x1(0) = 0) обратно пропорциональна параметру τ. При τ ≤ τмин (рис. 2) начальный участок управления в программном движении, как в задаче быстродействия, принадлежит ограничению на управление U = 1 и чем больше xк, тем при больших τмин выходим на это ограничение, что следует и из связи . Это означает, что при больших диапазонах заданных граничных условий в программном движении исчезает эффект энергосберегающего управления и оно приближается к оптимальному управлению по быстродействию [2].
Fig. 2. Relationships of variables in the program motion
Величина энергии, затрачиваемой на переход из x1(0) = 0 в xк за время T = 3τ при управлении (13), равна
Минимум энергии Е по параметру τ определится из условия
откуда τопт = 0,58. Отметим, что полученный параметр τопт не зависит от xк. Зависимость энергии E от параметра τ при x = 0,5 показана на рисунке 3. Спадающий в положительном направлении τ участок функции E(τ) характеризует эффективные по быстродействию и энергозатратам режимы [18]. Оптимальное в программном движении решение с τопт = 0,58 дает 9,3 % относительной экономии энергии, по сравнению с управлением в разомкнутой системе с τ = 1, что существенно ниже 30,7 % экономии энергии при оптимальном программном управлении, но при программном движении обеспечивается устойчивость конечного состояния.
При выборе xк > τмин, то есть, когда τмин > τопт (рис. 2, 3), переходим на восходящую ветвь функции E(τ), быстродействие и энергозатраты непротиворечивы, их эффекты хотя и снижаются, но сохраняются по сравнению с τ = 1. Отметим, что выбор меньшего τ дает больший эффект по быстродействию или производительности установки, чем эффект по энергозатратам, что следует из слабой вогнутости кривой E(τ). При больших xк наблюдается более выраженный экстремум в зависимости E(τ). Графики переходных процессов в программном движении с τопт = 0,58 и τ = 1 для xк = 0,5 приведены на рисунке 4.
Fig. 3. Dependence of the energy E on the parameter τ in the program motion
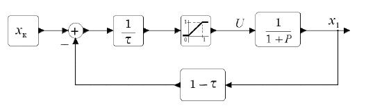
Структура позиционной системы управления, квазиоптимальной по быстродействию и энергозатратам, полученная из (12) с τопт и технически просто реализуемая, приведена на рисунке 5. Если граничные условия xк > τопт или τмин > τопт, то xк > τопт или τмин > τопт, то для ограничения амплитуды управления введено звено насыщения с линейным участком единичного наклона в диапазоне [0, 1].
Fig. 5. Structure of the positional control system
Непосредственное применение результатов данной работы можно показать на примере оптимального энергосберегающего управления сушильной камерой, приведенного в работе В. И. Ловчакова [2]. Хотя поведение объекта описывается дифференциальным уравнением второго порядка, для конкретных граничных условий можно построить адекватную модель первого порядка с помощью метода наименьших квадратов по кривой переходного процесса или частотных характеристик. Далее, применяя пошагово методику данной работы, можно в замкнутой устойчивой системе получить квазиоптимальное по энергозатратам и быстродействию управление, обеспечивающее 10–30 % экономии электроэнергии и в 1,5–2,0 раза большее быстродействие при корректном сравнении с управлением в разомкнутой системе, соответствующим конечному значению выходной координаты.
Обсуждение и заключение
В целом предлагаемый подход к построению оптимальных систем по критериям быстродействия, энергосбережения и точности на основе УОП для нелинейных объектов в расширенном пространстве координат показал свою результативность и эффективность. Квазиоптимальность по энергозатратам и быстродействию в устойчивом динамическом режиме достигается тем, что в задаче программного движения выполняется минимизация энергии по параметру программного движения, противоречиво влияющему на время переходного процесса и амплитуду управляющего воздействия. Формализованность подхода предполагает его использование в задачах многокритериальной оптимизации и системах автоматизированного проектирования.
В дальнейшем предлагается применять подход к объектам большей размерности с учетом структурно-функциональных особенностей, различных представлений дифференциальных уравнений объекта в нормальной форме или с отражением физической сущности. Не решена задача достижения предельного энергосбережения, получаемого при оптимальном программном управлении, с алгоритмом и структурой устройства определения частных решений и обеспечивающего устойчивость замкнутой стационарной системы.
Результаты работы могут быть использованы при исследовании динамических режимов электроустановок в промышленных и сельскохозяйственных тепловых процессах (жилые и нежилые помещения, теплицы, печи, сушильные камеры, автоклавы); в светотехнических установках; на транспорте в автономных электроприводах; в мехатронных и робототехнических устройствах, например для обеспечения мягкого пуска электроприводов, и в других процессах и установках [19; 20].
1 Браславский И. Я., Ишматов Э. Ш., Поляков В. Н. Энергосберегающий асинхронный электропривод : учеб. пособие для вузов. М. : Издательский центр «Академия», 2004. 256 с. URL: http://log-in.ru/books/energosberegayushiiy-asinkhronnyiy-elektroprivod-braslavskiiy-i-ya-ishmatov-z-sh-polyakov-v-n-tekhnika/ (дата обращения: 20.01.2022) ; Автоматическое управление электротермическими установками : учебник для вузов / А. Д. Свенчанский [и др.]. М. : Энергоатомиздат, 1990. 416 с. URL: https://search.rsl.ru/ru/record/01001521815 (дата обращения: 20.01.2022).
2 Математическая теория оптимальных процессов / Л. С. Понтрягин [и др.]. М. : Наука, 1969. 384 с. URL: https://search.rsl.ru/ru/record/01006401476 (дата обращения: 20.01.2022).
3 Габасов Р., Кириллова Ф. М. Особые оптимальные управления. М. : Наука, 1973. 314 с. URL: https://litgu.ru/knigi/tehnicheskie_nauki/308008-osobye-optimalnye-upravleniya.html (дата обращения: 20.01.2022).
4 Макеева А. В. Оптимальное по быстродействию управление одной линейной системой второго порядка // Сборник докладов всерос. науч.-практ. конф. с междунар. участием «Фундаментальные и прикладные проблемы механики, математики, информатики». Пермь : ФГБОУ ВО «Пермский государственный национальный исследовательский университет», 2015. С. 68–71. URL: https://elibrary.ru/item.asp?id=24231084&pff=1 (дата обращения: 24.01.2022).
5 Олейников В. А. Оптимальное управление технологическими процессами в нефтяной и газовой промышленности. Л. : Недра, 1982. 216 с. URL: https://search.rsl.ru/ru/record/01001089712 (дата обращения: 24.01.2022) ; Хорошавин В. С., Зотов А. В. Особое оптимальное управление нелинейными объектами : моногр. Киров : Науч. изд-во ВятГУ, 2019. 219 с. URL: https://www.elibrary.ru/item.asp?id=37523319 (дата обращения: 24.01.2022).
6 Атанс М., Фалб П. Оптимальное управление. М. : Машиностроение, 1968. 734 с. URL: https://search.rsl.ru/ru/record/01005951981 (дата обращения: 24.01.2022).
7 Петров Ю. П. Оптимальное управление электроприводом с учетом ограничений по нагреву. Л. : Энергия, 1971. 144 с. URL: https://search.rsl.ru/ru/record/01007323479 (дата обращения: 24.01.2022).
8 Хорошавин В. С., Зотов А. В. Особое оптимальное управление нелинейными объектами.
9 Евланов Л. Г. Теория и практика принятия решений. М. : Экономика, 1984. 176 с. URL: https://hram-sveta.ru/9189-teoriya-i-praktika-prinyatiya-resheniy.html (дата обращения: 24.01.2022).
About the authors
Valeriy S. Khoroshavin
Vyatka State University
Author for correspondence.
Email: khoroshavin@vyatsu.ru
ORCID iD: 0000-0002-4355-3866
ResearcherId: G-5298-2018
Professor of the Chair of Electric Drive and Industrial Equipment Automation,Dr.Sci. (Engr.)
Russian Federation, 36 Moskovskaya St., Kirov 610000Viktor S. Grudinin
Vyatka State University
Email: grudinin@vyatsu.ru
ORCID iD: 0000-0002-1615-6195
ResearcherId: G-5550-2018
Associate Professor of the Chair of Electric Drive and Industrial Equipment Automation, Cand.Sci. (Engr.)
Russian Federation, 36 Moskovskaya St., Kirov 610000References
- Domanov V.I., Pevcheva E.V. Analysis of the Greenhouse Complex Main Power Grid Nodes and the Ways to Reduce Energy Consumption. Industrial Automatic Control Systems and Controllers.2017;(3):3‒10. Available at: https://www.elibrary.ru/item.asp?id=29115500 (accessed 20.01.2022).(In Russ., abstract in Eng.)
- Lovchakov V.I. Approximation Approach to Synthesis of Control Systems Based on Optimal Program Control. News of the Tula State University. Technical Sciences. 2017;(3):225‒236. Available at:https://clck.ru/h7ejP (accessed 20.01.2022). (In Russ., abstract in Eng.)
- Nikol’skii M.S. Singular Sets of Extremal Controls in Optimal Control Problems. Proceedings of the Steklov Institute of Mathematics. 2019;304:236‒240. doi: https://doi.org/10.4213/tm3970
- Tsintsadze Z. [Computation of Particularly Optimal Control in Quasi-Linear Controlled Systems with Mixed Constraints]. Kompyuternye nauki i telekommunikatsii. 2005;(2):71‒73. Available at: http://gesj.internet-academy.org.ge/ru/list_aut_artic_ru.php?b_sec=&list_aut=1248 (accessed 24.01.2022). (In Russ.)
- Gao Z. On Discrete Time Optimal Control: A Closed-Form Solution. In: Proceeding of the 2004 American Control Conference (30 June – 2 July 2004). Boston; 2004. p. 52‒58. Available at: https://folk.ntnu.no/skoge/prost/proceedings/acc04/Papers/0009_WeA02.6.pdf (accessed 24.01.2022).
- Zhang H., Xie Y., Xiao G., et al. A Simple Discrete-Time Tracking Differentiator and Its Application to Speed and Position Detection System for a Maglev Train. IEEE Transactions on Control Systems Technology. 2018;27(4):1728‒1734. doi: https://doi.org/10.1109/TCST.2018.2832139
- Filimonov N.B. The Problem of Quality of Control Processes: Change of an Optimizing Paradigm.Mechatronics, Automation, Management. 2010;(12):2‒10. Available at: https://www.elibrary.ru/item.asp?id=15510887 (accessed 20.01.2022). (In Russ., abstract in Eng.)
- Tabunshchikov Yu.A., Brodach M.M. [Experimental Study of Optimal Energy Management]. Ventilation,Heating, Air Conditioning, Heat Supply and Building Thermal Physics. 2006;(1):32‒36. Available at: https://www.abok.ru/for_spec/articles.php?nid=3132 (accessed 20.01.2022). (In Russ.)
- Pleshivtseva Yu.E., Popov A.V., Dyakonov A.I. Two-Dimensional Problem of Optimal with Respect to Typical Quality Criteria Control of through Induction Heating Processes. Samara State TechnicalUniversity Bulletin. Technical Sciences Series. 2014;(2):148‒163. Available at: https://journals.eco-vector.com/1991-8542/article/view/19977/16230 (accessed 25.01.2022). (In Russ., abstract in Eng.)
- Panferov V.I., Anisimova Ye.Yu., Nagornaya A.N. [On the Optimal Management of the ThermalRegime of Buildings]. Bulletin of South Ural State University. Power Engineering Series. 2007;(20):3‒9.Available at: https://cyberleninka.ru/article/n/ob-optimalnom-upravlenii-teplovym-rezhimom-zdaniy (accessed 20.01.2022). (In Russ., abstract in Eng.)
- Biyik E., Kahraman A. A Predictive Control Strategy for Optimal Management of Peak Load,Thermal Comfort, Energy Storage and Renewables in Multi-Zone Buildings. Journal of Building Engineering.2019;25. Available at: https://app.dimensions.ai/details/publication/pub.1117015634 (accessed 20.01.2022).
- Khoroshavin V.S. Comparing Optimal Control Algorithms by Time and Minimum Resources Heat. News of the Tula State University. Technical Sciences. 2020;(7):211‒216. Available at: https://www.elibrary.ru/item.asp?id=43895260 (accessed 20.01.2022). (In Russ., abstract in Eng.)
- Khoroshavin V.S., Grudinin V.S. Synthesis of Programmed Motion Based on Special Optimal Control. Mechatronics, Automation, Control. 2021;22(8):395‒403. (In Russ., abstract in Eng.) doi: https://doi.org/10.17587/mau.22.395-403
- Dubrovin V.S., Nikulin V.V. [A Way of Constructing Controlled Function Generators]. High Tech in Earth Space Research. 2013;5(2):16‒23. Available at: https://www.elibrary.ru/item.asp?id=22897398 (accessed 24.01.2022). (In Russ.)
- Moreau L., Aeyels D. Periodic Output Feedback Stabilization of Single-Input Single-Output Continuous-Time Systems with Odd Relative Degree. Systems & Control Letters. 2004;51(5):395‒406. doi:https://doi.org/10.1016/j.sysconle.2003.10.001
- Shumafov M.M. Stabilization of Linear Control Systems. Pole Assignment Problem. A Survey.Vestnik SPbGU. Matematika. Mekhanika. Astronomiya. 2019;6(4):564‒591. (In Russ., abstract in Eng.)doi: https://doi.org/10.21638/11701/spbu01.2019.404
- Borkovskaya I.M., Pyzhkova O.N. The Problems of Control and Stabilization for Hybrid Dynamic Systems. Trudy BGTU. Seriya 3: Fiziko-matematicheskie nauki i informatika. 2018;(2):5‒9. Availableat: https://elibrary.ru/item.asp?id=36367417 (accessed 24.01.2022). (In Russ., abstract in Eng.)
- Kolesnikov V.L., Brakovich A.I., Zhuk Ya.A. [Solving Pareto-Optimal Multicriteria Problems].Trudy BGTU. Seriya 3: Fiziko-matematicheskie nauki i informatika. 2014;(6):128‒130. Available at:https://elibrary.ru/item.asp?id=27707178 (accessed 24.01.2022). (In Russ.)
- Mahmoud M.S., AL-Sunni F.M. Control and Optimization of Distributed Generation Systems.Cham: Springer; 2015. 578 p. doi: https://doi.org/10.1007/978-3-319-16910-1_1 (accessed 20.01.2022).
- Shamshiri R.R., Jones J.W., Thorp K.R., et al. Review of Optimum Temperature, Humidity, and Vapour Pressure Deficit for Microclimate Evaluation and Control in Greenhouse Cultivation of Tomato:a Review. International Agrophysics. 2018;(32):287‒302. doi: https://doi.org/10.1515/intag-2017-0005
Supplementary files
























