Energy-Independent Heating System with Improved Energy Efficiency for Agricultural Premises
- Authors: Levtsev A.P.1, Lysyakov A.I.1
-
Affiliations:
- National Research Mordovia State University
- Issue: Vol 32, No 1 (2022)
- Pages: 110-125
- Section: Technologies and Means of Agricultural Mechanization
- Submitted: 03.06.2025
- Accepted: 03.06.2025
- Published: 31.03.2022
- URL: https://ogarev-online.ru/2658-4123/article/view/294999
- DOI: https://doi.org/10.15507/2658-4123.032.202201.110-125
- ID: 294999
Cite item
Full Text
Abstract
Introduction. The article is concerned with increasing the efficiency of energyndependent heat supply systems in agriculture through using a heat recovery unit with a thermomechanical energy converter. The most promising is a thermomechanical energy converter with a thermodynamic cycle of periodic action to drive a diaphragm pump. For heaters and boilers, the use of pulsating mode of the heat carrier has a double effect: it increases heat transfer and reduces the formation of deposits on the heat transfer surfaces.
Materials and Methods. Using the thermodynamic method and the possibilities of impulse technologies, a thermodynamic cycle and a device of periodic action were proposed. In this device, three thermodynamic processes are sequentially implemented: isochoric heating and evaporation of the working substance, adiabatic performance of work, and isobaric condensation. Thermodynamic cycles are constructed for five known working substances (R11; R21; R113; R114; R123) on lgP-h thermodynamic state diagrams and their parameters at characteristic points are calculated.
Results. There has been performed frequency matching of the thermal-mechanical converter with the hydraulic parameters of the heat source and heat-consuming unit. Such matching was based on the frequency responses. To describe the hydrodynamics of the heat supply system, a system of differential equations with constant coefficients was used, which was solved using the Laplace transformation.
Discussion and Conclusion. A scheme of a heat supply system with the independent connection of the heat-consuming unit to a heat source is proposed. On the example of a heat source with a power of 100 kW, graphical dependences of the heat source minimum pressures on the change in the consumption of a heat carrier and the active hydraulic resistance of the heat network are obtained. An algorithm for determining the power increment from the use of a heat exchanger with a thermomechanical converter is proposed. It has been determined that the efficiency of the heat recovery unit will be higher for low-power boilers.
Full Text
Введение
Энергонезависимые системы отопления широко используются в сельском хозяйстве для обогрева различных помещений из-за простоты в обслуживании, надежности и независимости от сетей электроснабжения. Такие системы в свиноводстве, например, по численности занимают более 60 % от всех систем отопления. С переходом на высокоинтенсивные технологии получения продукции свиноводства к таким системам предъявляются повышенные требования в части обеспечения температурного режима помещений, который, как показывает практика проведения энергетических обследований, часто не соблюдается. Согласно нормативным документам температура в свиноводческих помещения должна поддерживаться на уровне 15–20 °С, отклонение как в меньшую, так и большую сторону приводит к потере продуктивности свиней и увеличению расхода корма [1–3].
К основным причинам, приводящим к нарушениям температурного режима в энергонезависимых системах теплоснабжения, можно отнести неточности проектных расчетов относительно радиуса сети отопления; несвоевременные промывки теплоиспользующего оборудования; некачественную режимную наладку котлоагрегатов и др. В результате указанных причин снижается отпуск тепловой энергии с отопительных приборов, и в итоге страдает потребитель. Кроме того, завышенный перепад температур возвращающегося теплоносителя к теплоисточнику ухудшает в нем теплопередачу, в результате чего повышается температура уходящих газов и падает КПД теплоисточника и потребитель несет дополнительные затраты на топливо.
Одним из методов повышения эффективности энергонезависимых систем теплоснабжения в сельском хозяйстве является включение в их тепловую схему теплообменников-теплоутилизаторов и циркуляционных насосов с приводом от различных нетрадиционных источников. Кардинальным решением данной проблемы является использование совместно с теплообменником-теплоутилизатором тепломеханических преобразователей, среди которых наиболее перспективными являются преобразователи с фазовым переходом, работающие по принципу круговых термодинамических циклов в пульсирующем режиме. Использование пульсирующих замкнутых термодинамических циклов не только расширяет возможности их использования, но и упрощает схемные решения для их реализации. Для отопительных приборов и котлов использование пульсирующего режима движения теплоносителя дает двойной эффект: увеличивает теплопередачу и снижает образование отложений на теплопередающих поверхностях [4; 5]. В связи с этим исследование, направленное на создание эффективной системы теплоснабжения на основе оснащения теплоутилизатора тепломеханическим преобразователем импульсного типа для привода мембранного насоса, является актуальным и практически значимым.
Обзор литературы
Анализ публикаций, касающихся наращивания объемов продукции животноводства, показывает, что одним из прогрессивных направлений снижения затрат является наиболее полная реализация генетического потенциала животных. В настоящее время такой потенциал используется только на 75–80 %. Основной причиной этого являются системы жизнеобеспечения (отопление, вентиляция), которые не обеспечивают эффективность в широком диапазоне изменения внешних погодных условий. Не оправдан и положительный опыт зарубежных производителей отопительного и вентиляционного оборудования из-за существенного отличия климатических условий [1]. В связи с этим на российском рынке можно встретить более широкий ассортимент отопительного и вентиляционного оборудования, который требует грамотного технико-экономического обоснования.
Анализ энергетических балансов свиноводческих комплексов, расположенных в зонах с холодным и умеренным климатом, показывает, что 60–80 % тепла приходится на нужды отопления. Для повышения эффективности отопления помещений применяются различные системы рекуперации тепла, которые позволяют получить значительную экономию затрат на энергоресурсы [2; 3]. Однако стремление к экономии энергетических затрат не всегда обеспечивает поддержание требуемых пределов параметров микроклимата. При таком подходе отопительно-вентиляционные системы в первую очередь должны удовлетворять качественным показателям, а уже потом показателям энергоэффективности. В связи с этим на первом этапе интерес представляют разработки, направленные на интенсификацию теплопередачи теплообменного оборудования (отопительных приборов), которые не требуют больших затрат на модернизацию систем отопления. Значительным потенциалом повышения теплопередачи теплообменного оборудования обладают импульсные системы тепло- и водоснабжения, которые работают в режимах, приближающихся к гидравлическому удару. Такие системы показали увеличение теплопередачи до 30 % в системах горячего водоснабжения, однако в системах отопления положительного опыта пока не накоплено [4; 6; 7]. Поскольку для энергонезависимых систем отопления характерен ламинарный и частично переходный режим движения теплоносителя, то для них больше подходят пульсации, использование которых в прямоугольных и круглых каналах может также увеличить интенсивность теплопередачи отопительных приборов.
Установлено, что для высокочастотных колебаний зависимости гидродинамических и тепловых величин от частоты имеют примерно одинаковый характер как для круглой трубы, так и для плоского и прямоугольного каналов [8; 9]. Поэтому пульсации теплоносителя можно применять для любых конструкций отопительных приборов. При более низких частотах (менее 1 Гц) хорошо зарекомендовали себя системы отопления общественных зданий с секционными радиаторами, в которых пульсирующий режим создается за счет двухконтурного мембранного насоса. Использование импульсного режима в таких системах при низких температурах теплоносителя (70 °С и ниже) повышает эффективность их теплопередачи на 40–80 % [10].
Что касается систем рекуперации тепла, то, как известно, их потенциал кроется в термодинамике процессов преобразования энергии, при этом ряд исследователей пользуются идеальными циклами. В одной из работ приведены примеры неудачного применения идеальных циклов и даны рекомендации для более корректного использования термодинамического метода [11]. Авторами предложен обобщающий идеальный цикл для тепловых двигателей (двигатели внутреннего сгорания и газотурбинные), базирующийся на реальных интервалах изменения давлений и температур. Такой цикл позволяет получить предельное значение термического КПД идеального цикла, но уже применительно к реальным условиям. Развитие термодинамического метода идет по пути совершенствования термодинамических циклов.
Значительных успехов достигли модели на базе цикла Стирлинга. Известны две модели двигателя с модифицированным циклом Стирлинга – Раллиса (RMSE) [12; 13]. Представленные авторами работ термодинамический анализ и результаты моделирования показали увеличение теплового КПД модели RMSE I на 38,06 %, а модели RMSE II на 48,42 %. Последнее свидетельствует о том, что потенциал идеальных циклов, с учетом реальных параметров и методов моделирования, получает более глубокое использование.
Применение различных эффектов (магнитных, гидродинамических и др.) может существенно повысить КПД термодинамических циклов, в том числе и цикла Карно [14–16]. Результаты моделирования тепловых двигателей с циклом Стирлинга при расширении внешних условий также дает прирост КПД в пределах 20 % [17–19]. Новые схемные решения, например насоса Стирлинга, тоже обладают потенциалом [20].
Из проведенного анализа видно, что тепловые двигатели, основанные на цикле Стирлинга, имеют потенциал увеличения КПД при существенном расширении температурных режимов. Для тепломеханических преобразователей теплоутилизаторов, работающих в интервале относительно невысоких температур, целесообразнее модификации на основе цикла Карно.
Материалы и методы
Использование термодинамического метода, а также возможности импульсных технологий позволяет предложить термодинамический цикл и устройство периодического действия, в котором последовательно реализуются три термодинамических процесса: изохорное нагревание и испарение рабочего вещества 1-2; адиабатическое совершение работы 2-3; изобарная конденсация 3-1 (рис. 1a).
b) принципиальная схема прототипа теплоутилизатора
Fig. 1 Schemes: a) closed thermodynamic periodic cycle;
b) schematic diagram of the heat exchanger prototype
В данном термодинамическом цикле отсутствуют изобарное кипение и испарение рабочего вещества. Подвод тепловой энергии в цикле осуществляется за счет нагревания рабочего вещества при постоянном объеме.
На основании предложенного термодинамического цикла была разработана принципиальная схема прототипа теплоутилизатора (рис. 1b).
Работа устройства осуществляется следующим образом: в испарителе 1 рабочее вещество кипит за счет тепла уходящих газов котла при постоянном объеме. Постоянный объем обеспечивается сбросным клапаном 2, который установлен на выходе из испарителя 1. При достижении определенного давления в испарителе 1 сбросной клапан 2 открывается и пар рабочего вещества направляется через конденсатор 3 в мембранный насос 4. За счет этого мембранный насос 4 совершает работу по перекачке теплоносителя в системе теплоснабжения.
При этом направление движения теплоносителя задается обратными клапанами 5. Далее давление во всех элементах выравнивается. Вследствие этого сбросной клапан 2 закрывается, а пар рабочего вещества в конденсаторе 3 за счет отдачи тепловой энергии теплоносителю конденсируется. Конденсация происходит при постоянном давлении. Это обеспечивается возвратом мембраны мембранного насоса 4 в исходное положение. В итоге сбросной клапан 2, конденсатор 3 и мембранный насос 4 полностью заполняются конденсатом рабочего вещества. Далее термодинамический цикл повторяется. Возврат конденсата в испаритель 1 осуществляется в момент закрытия сбросного клапана 2 за счет наличия специальных каналов на внутренней его части. При перемещении сбросного клапана конденсат остается в этих каналах и не уносится паром рабочего вещества, а после выравнивания давления во всех элементах теплоутилизатора стекает в испаритель 1.
Конкретный термодинамический цикл удобно рассматривать на диаграммах lgP-h (давление-энтальпия). В качестве примера построен цикл на lgP-h (давление-энтальпия) диаграммах термодинамического состояния для фреона R114 (рис. 2).
Fig. 2. Thermodynamic cycle for the working substance R114
Основные параметры термодинамического цикла периодического действия для пяти рабочих веществ (R11; R21; R113; R114; R123) определены в характерных точках. Результаты расчета представлены в таблице 1.
Таблица 1 Результаты расчета термодинамического цикла периодического действия
Table 1 Calculation results of the thermodynamic cycle of periodic action
Величина / Value | R11 | R21 | R113 | R114 | R123 |
Удельная производительность испарителя, кДж/кг / Specific capacity of the evaporator, kJ/kg qисп = h2 − h1 | 86 | 112 | 84 | 72 | 89 |
Удельная работа мембранного насоса, кДж/кг / Specific operation of the diaphragm pump, kJ/kg l = h2 − h3 | 11 | 15 | 10 | 11 | 11 |
Удельная нагрузка конденсатора, кДж/кг / Specific power condenser, kJ/kg qк = h3 − h1 | 75 | 97 | 74 | 61 | 78 |
Коэффициент трансформации / Transformation coefficient | 0,127907 | 0,13393 | 0,11905 | 0,152778 | 0,123596 |
Расход рабочего вещества, кг/с / Consumption of the working substance, kg/s | 0,013636 | 0,01 | 0,015 | 0,013636 | 0,013636 |
Объемная производительность мембранного насоса, м3/с / Volumetric capacity of the diaphragm pump, m3/s | 0,001909 | 0,0011 | 0,0039 | 0,000791 | 0,001909 |
Как видно из таблицы 1, термодинамический цикл для различных рабочих веществ имеет близкие значения параметров. При этом R114 имеет наименьшие удельные нагрузки на испаритель и конденсатор, а следовательно, и наивысшее значение коэффициента трансформации.
Результаты исследования
Термодинамический цикл периодического действия предполагается широко использовать в тепломеханических преобразователях энергонезависимых систем теплоснабжения сельскохозяйственных объектов [21]. Поскольку тепломеханический преобразователь периодического действия обеспечивает гидравлический режим системы теплоснабжения, то необходимо было выполнить его частотное согласование с гидравлическими параметрами теплоисточника и теплопотребляющей установки. Такое согласование удобно проводить на частотных характеристиках. Для описания гидродинамики системы теплоснабжения использовалась система дифференциальных уравнений с постоянными коэффициентами, которая решалась с применением преобразования Лапласа.
Для получения дифференциальных уравнений гидравлического контура теплоисточника и теплопотребляющей установки (тепловой сети) использовали энергетическую цепь (рис. 3), включающую в себя два звена: первое звено гидравлическое (учитывает потери в теплоисточнике с помощью активного сопротивления r1 и массу теплоносителя m); второе звено гидравлическое (учитывает потери на трение в теплосети с помощью активного сопротивления r2 и демпфирующие свойства теплосети с мембранным насосом податливостью l).
Fig. 3. The power circuit of the hydraulic circuit of the heat source and the heating network
Уравнения звеньев цепи
(1)
Вход и выход цепи («черный ящик») изображены на рисунке 4:
Рис. 4. Вход и выход энергетической цепи гидравлического контура теплоисточника и теплосети
Fig. 4. Input and output of the power circuit of the hydraulic circuit of the heat source and heating network
Тогда комплексное сопротивление цепи
В соответствии с входом и выходом цепи в первом уравнении (1) произведем замену V на V1:
(2)
Далее для упрощения уравнения (2) введем коэффициенты
Уравнение (2), с учетом введенных коэффициентов, запишем в виде
Далее переходим к уравнению на изображениях с использованием преобразования Лапласа. Здесь s комплексная переменная, :
(3)
Комплексное сопротивление цепи
(4)
Частотную функцию цепи получаем при замене s на :
(5)
Действительная часть частотной функции
(6)
Мнимая часть частотной функции
(7)
Амплитудно-частотная характеристика (АЧХ) цепи
(8)
Исходные данные для построения АЧХ приведены в таблице 2.
Таблица 2 Исходные данные для построения АЧХ цепи
Table 2 Initial data for constructing the amplitude-frequency response of the circuit
Величина / Value | Значение / Meaning |
P – давление на входе в системы теплоснабжения, кПа / P – pressure at the entrance to the heat supply systems, kPa | 300 |
V – объемный расход, л/с / V – volumetric flow, l/s | 1,13 |
m – масса прокачиваемого хладоносителя, кг / m – mass of the pumped coolant, kg | 300 |
r1 – сопротивление котла, кПа.с/л / r1 – the resistance of the boiler, kPa.s/l | 2,65 |
r2 – сопротивление системы теплоснабжения, кПа.с/л / r2 – Resistance to the heat supply system, kPa.s/l | 13,27 |
l – податливость системы, л/с.кПа / l – elasticity of the system, l/s.kPa | 0,025 |
На основе исходных данных (табл. 2) на рисунке 5 в табличном редакторе Excel построен график АЧХ.
(тепловой сети), кПа.с/л
Fig. 5. Amplitude-frequency characteristic of the hydraulic circuit of the heat source
and the heat-consuming unit (heat network), kPa.s/l
Из графика АЧХ (рис. 5) следует, что с увеличением частоты колебаний потока теплоносителя амплитуда комплексного гидравлического сопротивления, а следовательно, и давления в конце цепи (у последнего потребителя) резко снижается, поэтому для обеспечения гидравлического режима частота колебаний потока теплоносителя должна быть в пределах 1,38–2,76 рад/с (0,22–0,44 Гц).
Теоретические предпосылки, полученные выше, открывают широкие возможности для создания энергонезависимых систем теплоснабжения сельскохозяйственных объектов, а также для разработки гидравлических режимов. При этом схемные решения могут быть как с зависимым присоединением теплопотребляющих установок к теплоисточнику, так и с независимым. Наибольший практический интерес представляет схема с независимым присоединением теплопотребляющих установок к теплоисточнику (рис. 6). Энергонезависимая система теплоснабжения с пульсирующей циркуляцией теплоносителя содержит котел, потребителя, испаритель 1 и конденсатор 3, соединенные между собой через сбросной клапан 2. Циркуляция осуществляется мембранным насосом 4.
с пульсирующей циркуляцией теплоносителя
Fig. 6. Schematic diagram of a energy independent heat supply system
with pulsating heat carrier circulation
Энергонезависимая система теплоснабжения с пульсирующей циркуляцией теплоносителя работает следующим образом. Нагрев охлажденного теплоносителя осуществляют в котле и испарителе 1 в процессе утилизации тепла уходящих газов. При утилизации тепла уходящих газов в испарителе 1 испаряют рабочее вещество до определенного давления, образовавшийся при этом пар подают периодически через сбросной клапан 2 в конденсатор 3, расширяют пар в нем. При этом перекачивается вода в гидравлически связанном с конденсатором 3 мембранном насосе 4.
Конденсируют пар в конденсаторе 3, отдавая тепло обратной сетевой воде, и возвращают конденсат рабочего вещества в испаритель 1 за счет гидростатических сил, действующих в период закрытия сбросного клапана 2 на конденсат рабочего вещества.
Из приведенной схемы теплоснабжения следует, что горячая вода будет нагнетаться в систему порциями, которые будут определяться объемом бака мембранного насоса. На АЧХ (рис. 5) было получено входное сопротивление цепи со стороны обратного трубопровода, которое представляет зависимость изменения давления к расходу при различных значениях активных гидравлических сопротивлений:
(9)
Поскольку АЧХ зависит только от параметров динамической системы и частоты, то на ее основе можно получить динамическую характеристику изменения давления от частоты при фиксированном объеме мембранного бака в соответствии с выражением
(10)
где Vб – объем бака мембранного насоса, м3; f – циклическая частота пульсаций теплоносителя, Гц.
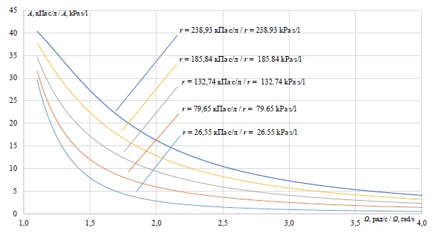
На рисунке 7 приведены зависимости p = f(v) при фиксированном объеме мембранного насоса Vб = 5 л для пяти гидравлических активных сопротивлений тепловой сети.
для пяти гидравлических активных сопротивлений тепловой сети
Fig. 7. Graph p = f(v) with a fixed volume of the membrane tank Vб = 5 l
for five hydraulic resistances of the heat network
Из приведенного графика видно, что с увеличением гидравлического сопротивления тепловой сети располагаемое давление мембранного насоса на теплоисточнике должно быть выше. С увеличением расхода теплоносителя (с ростом частоты пульсаций) происходит снижение давления из-за эффекта демпфирования колебаний самой динамической системы. Данный график позволяет определить, каким должно быть минимальное давление на теплоисточнике в зависимости от изменения расхода теплоносителя и активного гидравлического сопротивления тепловой сети.
Поскольку схема (рис. 6) должна в первую очередь обеспечивать периодическую циркуляцию теплоносителя, то и ее общая эффективность (тепловая и механическая) будет исходить из нагрузки тепломеханического преобразователя.
Исходя из этих соображений, ниже приведен алгоритм расчета приращения мощности для энергонезависимой системы теплоснабжения с пульсирующей циркуляцией теплоносителя, оборудованного теплоутилизатором с тепломеханическим преобразователем.
Исходным пунктом является определение расхода теплоносителя, м3/c:
. (11)
Далее находится работа, совершаемая в замкнутом термодинамическом цикле периодического действия, Вт:
, (12)
где Dp ‒ располагаемое давление мембранного насоса, Па (рис. 7).
Далее из термодинамического цикла для конкретного рабочего вещества (рис.1) находим удельную работу сжатия мембранного насоса и рассчитываем расход теплоносителя, кг/с:
. (13)
В итоге находится приращение мощности котла, оборудованного теплоутилизатором с тепломеханическим преобразователем, Вт:
. (14)
Используя выражения (11)–(14), для котла с Δp = 230 кПа и Vб = 5 л приращение мощности составляет ΔQ = 2,258 кВт. Таким образом, использование теплоутилизатора с тепломеханическим преобразователем на котле мощностью 20 кВт повысит эго эффективность на 11,29 %, а на котле мощностью 60 кВт эффективность будет в 3 раза меньше.
Обсуждение и заключение
Таким образом, эффективность энергонезависимой системы теплоснабжения с пульсирующей циркуляцией теплоносителя будет определяться гидравлической нагрузкой тепломеханического преобразователя. При этом расход теплоносителя будет зависеть от объема бака и частоты периодичности работы термодинамического цикла (частоты пульсаций теплоносителя). В связи с этим эффективнее применять теплоутилизатор с тепломеханическим преобразователем на маломощных котлах. Поэтому в тепловой схеме энергонезависимого источника будет рациональным в составе котлов использовать котел малой мощности, оборудованный теплоутилизатором с тепломеханическим преобразователем.
Подводя итог проведенного исследования, стоит отметить следующее:
- Используя термодинамический метод, а также возможности импульсных технологий, нам удалось теоретически обосновать новый термодинамический цикл, в котором последовательно реализуются три термодинамических процесса: изохорное нагревание и испарение рабочего вещества; адиабатическое совершение работы; изобарная конденсация. Построены термодинамические циклы для пяти известных рабочих веществ (R11; R21; R113; R114; R123) на lgP-h диаграммах термодинамического состояния и рассчитаны их параметры в характерных точках. Такой термодинамический цикл существенно упрощает схемные решения для его осуществления. Предложено достаточно простое схемное решение тепломеханического преобразователя.
- Выполнено частотное согласование тепломеханического преобразователя с гидравлическими параметрами теплоисточника и теплопотребляющими установками. Такое согласование проводилось на частотных характеристиках. Для описания гидродинамики системы теплоснабжения использовалась система дифференциальных уравнений с постоянными коэффициентами, которая решалась с применением преобразования Лапласа. Установлена рациональная частота колебаний потока теплоносителя в пределах 1,38–2,76 рад/с.
- Предложена схема системы теплоснабжения с независимым присоединением теплопотребляющих установок к теплоисточнику. На примере теплоисточника мощностью 100 кВт получены графические зависимости минимальных давлений на теплоисточнике от изменения расхода теплоносителя и активного гидравлического сопротивления тепловой сети.
- Разработан алгоритм расчета приращения мощности для энергонезависимой системы теплоснабжения с пульсирующей циркуляцией теплоносителя, оборудованного теплоутилизатором с тепломеханическим преобразователем. Приращение мощности в такой системе определяется расходом теплоносителя, который зависит от объема бака мембранного насоса и частоты периодичности работы термодинамического цикла (частоты пульсаций теплоносителя). В связи с этим эффективнее применять теплоутилизатор с тепломеханическим преобразователем на маломощных котлах. Поэтому в тепловой схеме энергонезависимого источника будет рациональным в составе котлов использовать котел малой мощности, оборудованный теплоутилизатором с тепломеханическим преобразователем.
About the authors
Alexey P. Levtsev
National Research Mordovia State University
Author for correspondence.
Email: levtzevap@mail.ru
ORCID iD: 0000-0003-2429-6777
ResearcherId: B-8620-2019
Head of the Chair of Heat and Power Systems of Institute of Mechanics and Power Engineering, Dr.Sci. (Engr.), Professor
Russian Federation, 68 Bolshevistskaya St., Saransk 430005Anatoly I. Lysyakov
National Research Mordovia State University
Email: lysyakov_lai@mail.ru
ORCID iD: 0000-0002-4436-4995
Senior Lecturer of the Chair of Heat and Power Systems of Institute of Mechanics and Power Engineering
Russian Federation, 68 Bolshevistskaya St., Saransk 430005References
- Ignatkin I.Yu., Kuryachiy M., Bondarev A., Putan A. Design and Construction Technologies of Pig Farms in Different Climatic Conditions. Innovatsii v selskom khozyaystve = Innovations in Agriculture.2015; (4):237-245. Available at: https://www.elibrary.ru/item.asp?id=25379996 (accessed 10.01.2022).(In Russ., abstract in Eng.)
- Arkhiptsev A.V., Ignatkin I.Yu., Kuryachiy M.G. [Efficient Ventilation System]. Vestnik NGIEI = Bulletin NGII. 2013; (8):10-15. (In Russ.)
- Ilin I.V., Ignatkin I.Yu., Kuryachiy M.G. [Experience in Designing Heating and Ventilation Systems in Pig Farms and Complexes]. Effektivnoe zhivotnovodstvo = Efficient Livestock Breeding. 2011;(6):30-31. Available at: https://www.elibrary.ru/item.asp?id=26661381 (accessed 10.01.2022). (In Russ.)
- Makeev A.N. Theory of Pulse Circulation of the Heater in the Heat Supply System with Independent Subscription of Subscribers. Russian Journal of Building Construction and Architecture.2018; (4):15-25. Available at: http://vestnikvgasu.wmsite.ru/ftpgetfile.php?id=679 (accessed 10.01.2022). (In Eng.)
- Embaye M., AL-Dadah R.K., Mahmoud S. Thermal Performance of Hydronic Radiator with Flow Pulsation – Numerical Investigation. Applied Thermal Engineering. 2015; 80:109-117. (In Eng.) doi:https://doi.org/10.1016/j.applthermaleng.2014.12.056
- Putan A.A., Andreev O.P. Launchers of Heat Disposal with Defrosting System. Mezhdunarodnyy tekhniko-ekonomicheskiy zhurnal = The International Technical-Economic Journal 2020; (2):76-85.(In Russ., abstract in Eng.) doi: https://doi.org/10.34286/1995-4646-2020-71-2-76-85
- Levtsev A.P., Makeev A.N., Kudashev S.F. Pulsating Heat Transfer Enhancement in the Liquid Cooling System of Power Semiconductor Converter. Indian Journal of Science and Technology. 2016;9(11). (In Eng.) doi: https://doi.org/10.17485/ijst/2016/v9i11/89420
- Valueva E.P., Purdin M.S. Hydrodynamics and Heat Transfer for Pulsating Laminar Flow in Channels. Teploenergetika = Thermal Engineering. 2015; (9):24. (In Russ., abstract in Eng.) doi: https://doi.org/10.1134/S0040363615090118
- Valueva Ye.P., Purdin M.S. [Pulsating Laminar Flow in a Rectangular Channel]. Teplofizika i aeromekhanika = Thermophysics and Aeromechanics. 2015; 22(6):761-773. Available at: https://www.sibran.ru/journals/issue.php?ID=166157&ARTICLE_ID=166166 (accessed 10.01.2022). (In Russ.)
- Levsev A.P., Lapin E.S., Zhang Q. Increasing the Heat Transfer Efficiency of Sectional Radiators in Building Heating Systems. Magazine of Civil Engineering. 2019; (8):63-75. (In Eng.) doi: https://doi.org/10.18720/MCE.92.5
- Yerofeev V.L., Zhukov V.A., Pryakhin A.S. Inexactitude of Thermodynamical Definitionsand Terms Is a Way to the Perpetual Engine of the Second Kind. Vestnik Gosudarstvennogo universiteta morskogo i rechnogo flota im. admirala S. O. Makarova = Bulletin of Admiral Makarov State Maritime and River Fleet University. 2016; (6):140-149. (In Russ., abstract in Eng.) doi: https://doi.org/10.21821/2309-5180-2016-8-6-140-149
- Xu W., Jia W., Maolin C., Yan Sh. Liquid Air Fueled Open-Closed Cycle Stirling Engine.Energy Conversion and Management. 2015; 94:210-220. (In Eng.) doi: https://doi.org/10.1016/j.enconman.2015.01.075
- Ranjan R.K., Verma S.K. Thermodynamic Analysis and Analytical Simulation of the Rallis Modified Stirling Cycle. Archives of Thermodynamics. 2019; 40(2):35-67. (In Eng.) doi: https://doi.org/10.24425/ather.2019.129541
- Mashirov A.V., Koledov V.V., Kamantsev A.P., et al. Thermodynamic Parameters of a Magnetic Refrigerator with a Carnot Cycle. In: Proceedings of 8th International Conference on Caloric Cooling (Thermag VIII) (16-20 September). Darmstadt; 2018. p. 90-95. (In Eng.) doi: https://doi.org/10.18462/iir.thermag.2018.0014
- Holubec V., Ryabov A. Work and Power Fluctuations in a Critical Heat Engine. Physical Review E. 2017; 96(3). (In Eng.) doi: https://doi.org/10.1103/PhysRevE.96.030102
- Steyert W.A. Stirling-Cycle Rotating Magnetic Refrigerators and Heat Engines for Use Near Room Temperature. Journal of Applied Physics. 1978; 49(3):1216-1226. (In Eng.) doi: https://doi.org/10.1063/1.325009
- Fan S., Li M., Li S., et al. Thermodynamic Analysis and Optimization of a Stirling Cycle for Lunar Surface Nuclear Power System. Applied Thermal Engineering. 2017; 111:60-67. (In Eng.) doi: https://doi.org/10.1016/j.applthermaleng.2016.08.053
- Yin Y., Chen L., Wu F. Performance Analysis and Optimization for Generalized Quantum Stirling Refrigeration Cycle with Working Substance of a Particle Confined in a General 1D Potential. Physica E: Low-dimensional Systems and Nanostructures. 2018; 97:57-63. (In Eng.) doi: https://doi.org/10.1016/j.physe.2017.10.014
- Gaponenko A.M., Kagramanova A.A. Mathematical Modeling of the Stirling Engine. Izvestiya vysshikh uchebnykh zavedeniy. Severo-Kavkazskiy region. Tekhnicheskie nauki = Bulletin of Higher Educational Institutions. North Caucasus Region. Technical Sciences. 2016; (4):29-35. (In Russ., abstract in Eng.) doi: https://doi.org/10.17213/0321-2653-2016-4-29-35
- Slavin V.S., Bakos G.C., Finnikov K.A. Conversion of Thermal Energy into Electricity Via a Water Pump Operating in Stirling Engine Cycle. Applied Energy. 2009; 86(7-8):1162-1169. (In Eng.) doi:https://doi.org/10.1016/j.apenergy.2008.10.018
- Yerofeyev V.L., Ganin N.B., Pryakhin A.S. Fuel Efficiency Enhancement Resources. Dvigatelestroenie = Engine Building. 2015; (2):33-38. Available at: https://www.elibrary.ru/item.asp?id=23710747(accessed 10.01.2022). (In Russ., abstract in Eng.)
Supplementary files

























