Increasing the Yield and Quality of Winter Wheat Grain through the Use of Innovative Fertilizers and Agricultural Machinery
- Authors: Milyutkin V.A.1, Ovchinnikov V.A.2
-
Affiliations:
- Samara State Agrarian University
- National Research Mordovia State University
- Issue: Vol 33, No 1 (2023)
- Pages: 52-67
- Section: Agricultural Engineering
- Submitted: 23.05.2025
- Accepted: 23.05.2025
- Published: 31.03.2023
- URL: https://ogarev-online.ru/2658-4123/article/view/293226
- DOI: https://doi.org/10.15507/2658-4123.033.202301.052-067
- ID: 293226
Cite item
Full Text
Abstract
Introduction. The article deals with the study of optimizing the process of using liquid nitrogen mineral fertilizers based on a carbamide-ammonia mixture, both in the serial form of CAS-32 and in the innovative CAS+S (with the addition of a mesoelement-sulfur-S), as a top dressing for winter wheat during tillering in spring. The dressing process was carried out superficially on crops with a serial rod sprayer Tuman-2 with large-drop nozzles and an innovative multi-injector unit Tuman-2M.
Aim of the Article. The article aims at justifying rational technologies with the main components of the effective application of CAS on the main types of crops.
Materials and Methods. In the course of the study, there were used a common methodology of field experience, OST and GOST standards for testing machines for fertilization. Liquid nitrogen mineral fertilizers CAS-32 and CAS+S produced by PJSC Kuibyshev-Azot and taken as objects of research were introduced by sprayers Tuman-2 and Tuman-2M manufactured by the company Pegas-Agro LLC.
Results. The field comparative tests of innovative technologies for the use of CAS conducted by Samara State Agrarian University showed an increase in the yield of the winter wheat variety Basis to 59.9% compared with the option of dressing crops with ammonium nitrate. In addition, the use of CAS+S increases the class of wheat in protein from class III to class I, in gluten from class III to class II.
Discussion and Conclusion. In general, liquid mineral fertilizers of CAS have an advantage over ammonium nitrate, especially in dry years that is very topical in the conditions of predicted global warming. The results obtained are of great importance for the wider introduction of this innovative technology in the agro-industrial complex.
Keywords
Full Text
Введение
Современное сельское хозяйство обеспечивает население продовольствием. Оно должно быть разнообразным и качественным. К сожалению, проблема дефицита продовольствия актуальна, и она усугубляется. Российская Федерация, располагая значительными земельными ресурсами, эффективно реформировав агропромышленный комплекс, становится одной из ведущих стран по производству продуктов питания как для собственного населения, так и для экспорта. Существенным фактором, обеспечивающим производство сельскохозяйственной продукции в требуемом количестве, является сохранение и приумножение плодородия почв, что в настоящее время обеспечивается не в полной мере. Для этого отечественной и мировой наукой разрабатываются интенсивные технологии с использованием инновационных агрохимических (исследовались удобрения ПАО «КуйбышевАзот») и технических средств (система машин «Туман» ООО «Пегас-Агро») для эффективного их применения. По заключению основателя отечественной агрохимии Д. Н. Прянишникова, «главным условием, определяющим среднюю высоту урожая в разные эпохи, является степень обеспеченности сельскохозяйственных культур азотом» [1].
Наряду с традиционно применяемыми в сельском хозяйстве твердыми азотными удобрениями, большое распространение в мире получает жидкое удобрение на основе карбамидо-аммиачной смеси (КАС), особенно для засушливых условий и прогнозируемого глобального потепления1 [1–3]. КАС как вид жидкого азотного удобрения был запатентован в США в марте 1984 года. Карбамидо-аммиачная смесь сейчас успешно применяется в Европе, США, Австралии и других странах мира для выращивания злаков, фруктов, технических культур.
В связи с интенсивным распространением КАС в России в ряд регионов на юге и севере, отечественная химическая промышленность, компании «Акрон», «ЕвроХим», «КуйбышевАзот» и «СДС Азот», поставляет более 3,5 млн т КАС-32 для 35 млн га сельскохозяйственных угодий при среднем расходе в 100 кг/га по различным технологиям его внесения.
В значительной степени проблема сохранения и повышения плодородия почв связана со всесторонним изучением КАС, требующим особых технологий и технических средств при применении2[4; 5].
Цель исследования – обоснование рациональных технологий с основными составляющими эффективного применения КАС на основных видах сельскохозяйственных культур.
Обзор литературы
В своих исследованиях ученые Самарского ГАУ основывались на результатах исследований по оптимизации технологий применения КАС различного состава на сельскохозяйственных культурах3 [4–6]. При этом учитывали коэффициент использования азота минеральных удобрений растениями и его регулирование [1], оценку влияния жидких комплексных удобрений на урожайность зерна озимой пшеницы [2], агроэкономическую оценку применения жидких азотных удобрений в сельском хозяйстве4, разработки по интеллектуальным машинным технологиям и технике для реализации государственной программы развития сельского хозяйства [3], расход ресурсов биологического азота в земледелии России [4], сравнительную оценку жидких азотных и азотосеросодержащих удобрений на базе КАС, по сравнению с твердыми минеральными удобрениями5, алгоритм оценки и выбора машинных технологий с учетом показателей экологической устойчивости сельских территорий [5], инновационную технику и технологии применения жидких удобрений КАС в регионах с недостаточным увлажнением при прогнозируемом глобальном потеплении [6–10].
По имеющейся информации и проведенному научному обзору определено главное – жидкие азотные минеральные удобрения КАС имеют существенное положительное влияние на развитие, урожайность и качество ликвидных возделываемых сельскохозяйственных культур. При этом КАС
– дешевый и прост в производстве;
– безопасный при перевозках, хранении и использовании;
– в отличие от других видов азотных солей, использующихся в сельском хозяйстве, не взрывается, менее опасен для здоровья;
– универсальный (КАС широко используется для внесения в почву и внекорневой подкормки, что особенно важно для влажных местностей, где азот легко вымывается из почвы);
– долго действует (в смеси азот содержится в трех видах, из которых четверть (ионы NO3) сразу доступна для поглощения растениями, также доступна для усвоения другая четверть – ионы NH4, которая быстро может перерабатываться почвенными нитрифицирующими бактериями в нитраты NO; оставшаяся половина общего количества азота постепенно превращается под воздействием почвенных энзимов в NH4, а затем в NO3, что обеспечивает длительность периода действия удобрения);
– используется как основа для добавления других видов подкормок и пестицидов [11–15].
Анализ литературных источников по рассматриваемой теме показывает, что с учетом физико-механических и химических свойств КАС необходимо совершенствовать существующие технологии применения, так как есть нерешенные вопросы по повышению эффективности его использования [16–20].
Особенно интенсивно совершенствуются сельскохозяйственные машины по внесению КАС. Так поставка на российский аграрный рынок голландской машины-ликвилайзера для более эффективного внутрипочвенного внесения удобрений Duport стимулировала отечественные сельхозмашиностроительные фирмы к созданию отечественных аналогов. В итоге Самарское ООО «Пегас-Агро» разработало систему машин для внесения минеральных удобрений, в частности мультиинжектор «Туман-2M», не уступающий голландской машине6[21–25].
Материалы и методы
В соответствии с поставленными задачами проводились исследования технических средств ООО «Пегас-Агро»: мультиинжектор (ликвилайзер) «Туман-2М» (рис. 1a) и опрыскиватель «Туман-2» (рис. 1b) для внесения азотных жидких минеральных удобрений на основе карбамидно-аммиачной смеси КАС по разным технологиям и нормам внесения с дополнительным добавлением мезо- и микроэлементов.
a) мультиинжектор «Туман-2М»; b) опрыскиватель штанговый «Туман-2»
Fig. 1. Units manufactured by the company Pegas-Agro:
a) multi-injector Tuman-2M; b) rod sprayer Tuman-2
Полевые исследования проводились в значительно отличающиеся по погодным условиям годы (2021 г. – засушливый, 2022 г. – благоприятный по влаге) на опытных полях Самарского государственного аграрного университета по общепринятой методике полевого опыта на озимой пшенице сорта Базис селекции Самарского НИИСХ. В исследованиях использовались КАС-32 (N-32 %) и КАС+S, содержащая 26 % азота и 2,5–4,0 % серы. В отдельных опытах, в соответствии с почвенными анализами, использовалась сложная баковая смесь с добавлением в раствор КАС+S недостающих калия (за счет гумата калия, 5 л/га) и микроэлементов: медь, бор, цинк (по 0,5 кг/га) (табл. 1).
Таблица 1 Варианты опытов в 2021/2022 гг.
Table 1 Variants of experiments in 2021/2022
Варианты опытов / Variants of experiments | ||||||
Контроль: разбрасыватель, аммиач. селитра, 120 кг/га / Control: spreader, ammonia. saltpeter, 120 kg/ha | Опрыскив., «Туман-2» КАС+S, 200 л/га / Sprayer, Tuman-2 CAS+S, 200 l/ha | Мультиинжектор «Туман-2М» / Multi-injector Tuman-2M | КАС+S: Опрыск. + Мультиинжектор, 200 + 250 л/га / CAS+S: Offspring. + Mu-ltiinjector, 200 + 250 l/ha | КАС + S + гум.калия- | ||
КАС+S, 200 л/га / CAS+S, 200 l/ha | КАС+S, 300 л/га / CAS+S, 300 l/ha | КАС+S, 350 л/га / CAS+S, 350 l/ha | ||||
Исследования проводились по следующим схемам (рис. 2).
внесения жидких азотных серосодержащих удобрений КАС+S: а) мультиинжектором «Туман-2М»;
b) штанговым опрыскивателем «Туман-2»
Fig. 2. Experimental site for studies of the effectiveness of intra-soil application of liquid nitrogen
sulfur-containing fertilizers CAS+S: a) multi-injector Tuman-2M; b) rod sprayer Tuman-2
Экспертная оценка широко распространенных в АПК России машинных комплексов «Туман» свидетельствует в первую очередь об эффективно выбранной 3-осевой ходовой платформе с набором шин низкого и сверхнизкого давления. При этом для снижения давления на почву и лучшей сохранности посевов, особенно озимых, используются широкие шины (рис. 1), а для сохранности пропашных культур с междурядьями 70 см при их подкормке устанавливаются узкие шины из комплекта мультиинжектора (рис. 3).
Fig. 3. Multi-injector Tuman-2M with narrow wheels for feeding corn
Особенностью агрегатов «Туман» ООО «Пегас-Агро» является то, что все они собраны на единой транспортно-силовой базе «платформе», что обеспечивает при необходимости их взаимозаменяемость (в течение 5 часов) в зависимости от проводимых агрохимических работ.
Результаты исследования
Технологический процесс внесения жидких удобрений в почву мультиинжектором «Туман-2М» представляет собой подачу раствора под давлением 3 атм к иглам инъекционных колес. Иглы с отверстиями на конце, погружаясь в почву, открывают клапан подачи КАС и впрыскивают его на глубину 6–8 см в зону корнеобразования растений с междурядьями 25–35 см.
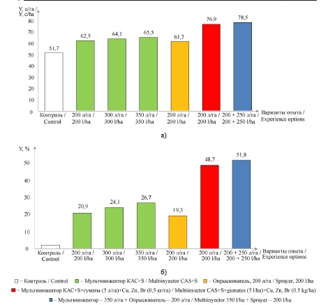
В качестве альтернативы мультиинжектору «Туман 2М» использовали опрыскиватель «Туман-2» с пятиструйными крупнокапельными форсунками. В процессе исследований, в соответствии с программой, определяли возможности по прибавке урожайности озимой пшеницы сорта Базис при разных нормах внесения и состава удобрения на базе КАС. Сравнительная эффективность раздельного и одновременного, на одном участке, внесения жидких удобрений КАС мультиинжектором и штанговым опрыскивателем представлена в таблице 2 и в графическом виде на рисунках 4, 5.
Таблица 2 Урожайность озимой пшеницы сорта Базис 2021/2022 гг.
Table 2 The yield of the winter wheat variety Basis in 2021/2022
Варианты опытов / Variants of experiments | ||||||
Контроль: разбрасыватель, аммиач. селитра, 120 кг/га / Control: spreader, ammonia. saltpeter, | Опрыскив., «Туман-2» КАС+S, 200 л/га / Sprayer, Tuman-2 CAS+S, 200 l/ha | Мультиинжектор «Туман-2М» / Multi-injector Tuman-2M | КАС+S: Опрыск. +Мультиинжектор, 200 + 250 л/га / | КАС + S + | ||
КАС+S, 200 л/га / CAS+S, 200 l/ha | КАС+S, 300 л/га / CAS+S, 300 l/ha | КАС+S, 350 л/га / CAS+S, 350 l/ha | ||||
39,9 / 51,7 | 48,4 / 61,7 | 56,1 / 62,5 | 58,2 / 64,1 | 61,5 / 65,5 | 63,8 / 78,5 | 62,8 / 76,9 |
В 2021 г. на этапе экспериментальных исследований определяли содержание азота в почве и непосредственно в растениях, а также качество и количество урожая озимой пшеницы сорта Базис.
Из результатов исследований следует, что обработка посевов мультиинжектором «Туман-2М», в сравнении с листовой обработкой опрыскивателем «Туман-2», в фазу кущения приводит к увеличению урожайности озимой пшеницы с 48,4 до 56,1 ц/га, что эффективнее на 20 %, и на 40 % (с 39,9 до 56,1 ц/га) – по сравнению с контролем (табл. 2). Комплексная обработка (опрыскивание + мультиинжектор) при норме 200 + 250 л/га позволяет увеличить урожайность до 63,8 ц/га, что на 60 % больше, по сравнению с контролем.
Качественные показатели полученного зерна определяли по белку и клейковине. В итоге применение КАС+S приводит к повышению классности пшеницы по белку с III до I кл., а по клейковине с III до II кл., по сравнению с пшеницей, не обработанной жидкими удобрениями.
В более благоприятный по увлажнению 2022 год урожайность озимой пшеницы от действия удобрений возросла, по сравнению с засушливым 2021 годом (табл. 2, рис. 4).
посевов: a) урожайность в ц/га; b) урожайность в %
a) yield in c/ha; b) yield in %
Так, при внесении жидких удобрений КАС+S при подкормке озимых в фазу кущения мультиинжектором урожайность, по сравнению с контролем, возросла с 51,7 до 65,5 ц/га или на 26,7 % (рис. 4). При добавлении в КАС+S гумата калия в количестве 5 л/га и микроэлементов Gu, Zn, Br по 0,5 кг/га урожайность пшеницы возросла до 76,9 ц/га, или на 48,7 %. Максимально возможный эффект от применения жидких удобрений получили при комбинированном внесении КАС+S практически двойной нормы (мультиинжектором внутрипочвенно + опрыскивателем поверхностно). Урожайность при этом составила 78,5 ц/га, или на 51,8 % выше относительно контроля.
По итогам 2022 года при наиболее благоприятных условиях для растениеводства по увлажнению на производственных посевах в Самарской области так же была получена рекордная за последние годы урожайность.
Состояние посевов было хорошим (рис. 5), качество зерна по хлебопекарным показателям, главным образом по клейковине и белку, так же было высоким для озимой пшеницы и находилось на уровне III‒II классов (табл. 3), что свидетельствует об эффективном действии азотных жидких минеральных удобрений.
а) обработанная мультиинжектором «Туман-2М»; b) обработанная опрыскивателем «Туман-2»
Fig. 5. Winter wheat variety Basis:
a) Treated with a multi-injector Tuman-2M; b) Treated with a sprayer Tuman-2
Таблица 3 Показатели качества озимой пшеницы, %, I–IV класс – сорт Базис Самарского НИИСХ
в опытах при различном питании и технологиях внесения агрегатами «Туман-2» – опрыскиватель (О),
«Туман-2М» – мультиинжектор (М) в опытах Самарского ГАУ в 2022 году
Table 3 Quality indicators of winter wheat, %, I–IV class – the Basis variety of the Samara Research Institute in experiments
with different nutrition and application technologies with the units Tuman-2 – sprayer (S),
Tuman-2M – multi-injector (M) in the experiments of the Samara GAU in 2022
Варианты опытов / Variants of experiments | Протеин, белок, %(класс) / Protein, % (class) | Влажность,% / Humidity, % | Массовая доля сырой клейковины,% (класс) / Mass fraction of raw gluten,% (class) | Качество сырой клейковины, ед. прибора ИДК, % (класс) / Raw gluten quality, units device,% (class) | Стекловидность, % (класс) / Virtuousness,% (class) |
1. Контроль, аммиачная селитра / Control, ammonium nitrate | 11,579 (IV) | 12,615 | 19,867 (IV) | 67,470 (I) | 44,919 (II) |
2. (О) КАС-32-200 л/га / | 11,659 (IV) | 12,796 | 20,422 (III) | 68,023 (I) | 45,479 (II) |
3. (М) КАС-32-200 л/га / (M) CAS-32-200 l/ha | 12,797 (III) | 12,442 | 22,551 (II) | 69,072 (I) | 47,085 (II) |
4. (М) КАС-32-300 л/га / (M) CAS-32-300 l/ha | 14,318 (I) | 12,396 | 25,163 (II) | 63,225 (I) | 43,459 (II) |
5. (М) КАС-32-350 л/га / (M) CAS-32-350 l/ha | 14,269 (I) | 12,816 | 25,407 (II) | 67,243(I) | 46,566 (II) |
6. КАС-32 (О) – 200л/га (М) – 250л/га / CAS-32 (S) – 200 l/ha (М) – 250 l/ha | 13,828 (I) | 12,600 | 24,798 (II) | 65,444 (I) | 44,836 (II) |
7. КАС+S-200 л/га + гумат калия-5 л/га + Gu + Zn + Br-0,5 кг/га + ингибитор 0,1кг/га / CAS+S-200 l/ha + gum. Potassium 5 l/ha + Gu + Br + Zn-0.5 kg/ha + | 19,780 (I) | 12,620 | 24,452 (II) | 67,039 (I) | 44,060 (II) |
Эффективность инновационных технологий с внесением жидких азотных минеральных удобрений КАС будет большей при применении точного земледелия и дополнительных агротехнических мероприятий по влагонакоплению и экономичному ее использованию7 [24–26].
Обсуждение и заключение
- На повышение урожайности и качества возделываемых сельскохозяйственных культур по результатам наших многолетних исследований значительным образом влияют азотные жидкие удобрения на основе карбамидно-аммиачной смеси КАС, производимые ПАО «Куйбышев Азот» (г. Тольятти, Самарская обл.), особенно с добавлением мезоэлемента серы (S) КАС+S, гумата калия и недостающих в почве микроэлементов: Gu, Zn, Br.
- При применении КАС наиболее эффективной технологией его внесения, особенно в засушливые годы, является внутрипочвенное инъекторное внесение ликвилайзерами. В наших опытах хорошие результаты показал мультиинжектор «Туман-2М» российского производства ООО «Пегас-Агро» (г. Самара).
- Проведенные Самарским ГАУ полевые сравнительные испытания показывают, что применение инновационных технологий внесения КАС+S способствует увеличению урожайности озимой пшеницы сорта Базис до 51,8 %, а также приводит к повышению ее классности по белку с III до I кл., а по клейковине – с III до II кл., по сравнению с пшеницей, не обработанной жидкими удобрениями.
- В целом жидкие минеральные удобрения КАС имеют преимущество, по сравнению с твердыми, особенно в засушливые годы, что особенно актуально в условиях прогнозируемого глобального потепления.
1 Рекомендации по развитию агропромышленного комплекса и сельских территорий нечерноземной зоны Российской Федерации до 2030 года / А. Л. Иванов [и др.] // Версия 2.0. Москва, 2021. 400 с. URL: https://new.ras.ru/staff/akademiki/ivanov-andrey-leonidovich/ (дата обращения: 03.12.2022).
2 Сычев В. Г., Ефремов Е. Н. Агрохимия в решении задач продовольственной безопасности // Агрохимия в XXI веке : мат-лы Всерос. науч. конф. с междунар. участием. 2018. С. 34–41. URL: https://www.elibrary.ru/item.asp?id=41241642&pff=1 (дата обращения: 03.12.2022) ; Сычев В. Г. Современное состояние плодородия почв и основные аспекты его регулирования. М. : РАН, 2019. 324 с. ; Сычев В. Г. Перспективы использования новых агрохимикатов в современных агротехнологиях // Перспективы использования инновационных форм удобрений, средств защиты и регуляторов роста растений в агротехнологиях сельскохозяйственных культур : мат-лы докладов участников научн.-практич. конф. 2018. С. 3–6. URL: https://www.elibrary.ru/item.asp?id=35437695 (дата обращения: 03.12.2022) ; Сычев В. Г., Алиев А. М., Цимбалист Н. И. Влияние средств химизации в технологиях возделывания озимой пшеницы на зависимость между урожайностью зерна и энергетической эффективностью // Итоги выполнения программы фундаментальных научных исследований государственных академий на 2013‒2020 гг. : мат-лы Всерос. координационного совещания научных учреждений-участников Географической сети опытов с удобрениями. 2018. С. 278–286. URL: https://www.elibrary.ru/item.asp?id=35672882&pff=1 (дата обращения: 03.12.2022).
3 Там же.
4 Рекомендации по развитию агропромышленного комплекса…
5 Сычев В. Г., Ефремов Е. Н. Агрохимия в решении задач продовольственной безопасности.
6 Мочкова Т. В., Марченко Л. А., Колесникова В. А. Агроэкономическая оценка применения жидких азотных удобрений в сельском хозяйстве // Интеллектуальные машинные технологии и техника для реализации Государственной программы развития сельского хозяйства : сборник научных докладов Междунар. науч.-технич. конф. 2015. С. 59–63. URL: https://www.elibrary.ru/item.asp?id=24016086&pff=1 (дата обращения: 03.12.2022) ; Завалин А. А., Чернова Л. С. Ресурсы биологического азота и его использования в земледелии России // Плодородие почв России: состояние и возможности : сборник статей. 2019. С. 40–49. URL: https://www.elibrary.ru/item.asp?id=41492258&pff=1 (дата обращения: 03.12.2022) ; Жидкие азотные и азотосеросодержащие удобрения на базе КАС ‒ эффективная альтернатива твердым минеральным удобрениям / В. А. Милюткин [и др.] // Проблемы современной аграрной науки : мат-лы Междунар. науч. конф. 2020. С. 71–74. URL: https://www.elibrary.ru/item.asp?id=44126248 (дата обращения: 03.12.2022).
7 Милюткин В. А. Инновационные техника и технологии применения жидких удобрений КАС в регионах с недостаточным увлажнением при прогнозируемом глобальном потеплении : моногр. Кинель, 2021. 181 с. ; Прокопчук Р. Е., Беляев В. И. Эффективность машинно-тракторных агрегатов для внутрипочвенного внесения жидких минеральных удобрений // Аграрная наука – сельскому хозяйству : сборник материалов XVII Междунар. науч.-практич. конф. в 2-х книгах. 2022. С. 66–68. URL: https://www.elibrary.ru/item.asp?id=48559596 (дата обращения: 03.12.2022) ; Прокопчук Р. Е., Беляев В. И., Щербинин В. В. Точная инъекция жидких минеральных удобрений // Аграрная наука – сельскому хозяйству : сборник материалов XVI Междунар. науч.-практич. конф. в 2 кн. 2021. С. 32–34. URL: https://www.elibrary.ru/item.asp?id=46137892 (дата обращения: 03.12.2022) ; Длужевский Н. Г., Милюткин В. А. Оптимизация транспортной логистики жидких удобрений ПАО «КуйбышевАзот» по программе завод-поле // Роль аграрной науки в устойчивом развитии сельских территорий : Сборник V Всерос. (нац.) науч. конф. 2020. С. 1138–1142. URL: https://www.elibrary.ru/item.asp?id=44343408 (дата обращения: 03.12.2022) ; Милюткин В. А., Длужевский Н. Г. Логистика жидких удобрений ПАО «КуйбышевАзот» – от завода до сельхозпредпрятия – АПК // Теоретические и концептуальные проблемы логистики и управление цепями поставок : сборник статей II Междунар. науч.-практич. конф. 2020. С. 49–53. URL: https://www.elibrary.ru/item.asp?id=43809794 (дата обращения: 03.12.2022) ; Исследование эффективности инновационной технологии внесения жидких удобрений КАС внутрипочвенно и поверхностно агрегатами «Пегас-Агро» / В. А. Милюткин [и др.] // Актуальные вопросы агропромышленного комплекса России и за рубежом : мат-лы Всерос. (нац.) науч.-практич. конф. с международным участием. 2021. С. 114–121. URL:https://www.elibrary.ru/item.asp?id=47442195 (дата обращения: 03.12.2022)
About the authors
Vladimir A. Milyutkin
Samara State Agrarian University
Author for correspondence.
Email: oiapp@mail.ru
ORCID iD: 0000-0001-8948-4862
ResearcherId: AAZ-5043-2019
Dr.Sci. (Engr.), Professor of the Chair of Production Technology and Expertise of Products from Vegetable Raw Materials
Russian Federation, 2 Uchebnaya St.,Kinel 446442Vladimir A. Ovchinnikov
National Research Mordovia State University
Email: ovchinnikovv81@yandex.ru
ORCID iD: 0000-0003-0350-8478
ResearcherId: O-6834-2018
Cand.Sci. (Engr.), Associate Professor of the Prof. Leshchankin Chair of Mobile Power Tools and Agricultural Machinery
Russian Federation, 68 Bolshevistskaya St., Saransk 430005References
- Kiryushin V.I. [Tasks of Scientific and Innovative Support of Agriculture in Russia]. Zemledelie.2018;(3):3–8. (In Russ.) doi: https://doi.org/10.24411/0044-3913-2018-10301
- Kiryushin V.I. Scientific Prerequisites for Technological Modernization of Agriculture in Russia.Izvestiya Mezhdunarodnoy akademii agrarnogo obrazovaniya. 2017;(36):18–22. Available at: https:// www.elibrary.ru/item.asp?id=30707930 (accessed 03.12.2022). (In Russ., abstract in Eng.)
- Kiryushin V.I. The Management of Soil Fertility and Productivity of Agrocenoses in Adaptive-Landscape Farming Systems. Eurasian Soil Science. 2019;(9):1130–1139. (In Russ., abstract in Eng.) doi:https://doi.org/10.1134/S0032180X19070062
- Kiryushin V.I. Scientific Prerequisites of Optimization of Land Resources. Vestnik of the Russian Agricultural Sciences. 2019;(4):7–10. (In Russ., abstract in Eng.) doi: https://doi.org/10.30850/vrsn/2019/4/7-10
- Sychev V.G., Milaschenko N.Z., Shafran S.A. Agrochemical Aspects of Production of High-Quality Grain in Russia. Plodorodie. 2018;(1):18–19. Available at: https://www.elibrary.ru/item.asp?id=32466615 (accessed 03.12.2022). (In Russ., abstract in Eng.)
- Sychev V.G., Shafran S.A., Vinogradova S.B. Soil Fertility in Russia and Ways of Its Regulation.Agrokhimia. 2020;(6):3–13. (In Russ., abstract in Eng.) doi: https://doi.org/10.31857/S0002188120060125
- Sandukhadze B.I., Mamedov R.Z., Afanasev R.A., et al. [Winter Wheat Yield Factors in the Non-Black Soil Region]. Plodorodie. 2021;(3):66–70. (In Russ.) doi: https://doi.org/10.25680/S19948603.2021.120.12
- Sandukhadze B.I., Kuzmich M.A., Bugrova V.V., et al. Realization of Productivity Potential and Quality of Winter Wheat Varieties at Different Levels of Nitrogen Nutrition. Agrochemical Herald. 2020;(5):23–27. Available at: https://clck.ru/33WibP (accessed 03.12.2022). (In Russ., abstract in Eng.)
- Mazalov V.I., Mosina O.M., Hmyzova N.G., Donskoj M.M. Influence of Various Doses of Nitrogen Fertilizers on Yield and Quality of Winter Wheat Grain. Zemledelie. 2019;(4):19–21. (In Russ., abstract in Eng.) doi: https://doi.org/10.24411/0044-3913-2019-10404
- Kononchuk V.V., Timoshenko S.M., Medvedev A.M., et al. Agrotechnical and Agrochemical Aspects of Optimizing Nitrogen Nutrition of Winter Triticale on Sod-Podzolic Soil of the Central Non-Chernozem Region of the Russian Federation. Agrarnaya Rossiya. 2022;(4): 7–14. Available at: https://www.elibrary.ru/item.asp?id=48294712 (accessed 03.12.2022). (In Russ., abstract in Eng.)
- Kononchuk V.V., Timoshenko S.M., Shtyrkhunov V.D., Nazarova T.O. [Efficiency of Fertilizer Systems and Nitrogen Sources for Winter and Spring Grain Crops in the Rotation on Sod-Podzol Medium-Loam Soil of the Central Black Earth Region]. Agrokhimicheskiy vestnik. 2022;(2):15–21. (In Russ.)
- Kononchuk V.V., Timoshenko S.M., Shtyrkhunov V.D., Nazarova T.O. [Optimization of Nitrogen Nutrition of Winter Wheat in the Center of the Non-chernozem Zone of the Russian Federation Using Soil and Plant Diagnostics]. Agrokhimicheskiy vestnik. 2022;(3):3–9. (In Russ.)
- Kononchuk V.V., Timoshenko S.M., Shtyrkhunov V.D., Nazarova T.O. [Soil and Plant Response to Nitrogen Fertilizer Application for Winter and Spring Cereals in Central Non-Chernozem Region].Agrokhimicheskiy vestnik. 2021;(5):54–59. (In Russ.)
- Nebytov V.G., Kolomeychenko V.V., Mazalov V.I. [High-Yield Varieties and Fertilizers Are the Basis for Sustainable Increase in Winter Wheat Grain Production in the Orel Region]. Vestnik agrarnoy nauki. 2019;(1):11–18. (In Russ.) doi: https://doi.org/10.15217/issn2587-666X.2019.1.11
- Osipova L.V., Vernichenko I.V., Puhalskaya N.V., et al. The Influence of Mineral Nutrition on the Intensity of the Production Process in Spring Wheat. Plodorodie. 2021;(6):50–52. (In Russ., abstract in Eng.) doi: https://doi.org/10.25680/S19948603.2021.123.13
- Mameev V.V., Torikov V.E., Petrova S.N. Productivity of Winter Wheat During Early Spring Fertilizing with Various Nitrogen and Complex Fertilizers in the Bryansk Region. Vestnik Bryanskoy gosudarstvennoy selskokhozyaystvennoy akademii. 2022;(4):3–10. (In Russ., abstract in Eng.) doi: https://doi.org/10.52691/2500-2651-2022-92-4-3-10
- Torikov V.E., Vaskin V.F., Dronov A.V., Vaskina T.I. Current State, Trends and Problems of Grain Production. Agrarian Journal of Upper Volga Region. 2022;(1):15–23. Available at: http://avv-ivgsha.ucoz.ru/agro_vet_1_22_ispravlen.pdf (accessed 03.12.2022). (In Russ., abstract in Eng.)
- Kononov A.S., Belous N.M., Torikov V.E., et al. Influence of Nitrogen Fertilizers and Biopreparations on Grain Yield in Mixed Legume-Bluegrass Agrocoenosis. Agrochemical Herald. 2021;(2):3–9. Available at: https://www.elibrary.ru/item.asp?id=45691144 (accessed 03.12.2022). (In Russ., abstract in Eng.)
- Mameev V.V., Torikov V.E., Petrova S.N., et al. Efficiency of Feeding Winter Wheat by Different Brands Nitrogen and Complex Fertilizers. Vestnik Kurskoy gosudarstvennoy selskokhozyaystvennoy akademii. 2021;(6):12–19. Available at: https://www.elibrary.ru/item.asp?id=46669270 (accessed 03.12.2022). (In Russ., abstract in Eng.)
- Zavalin A.A., Sokolov O.A. Utilization by Plants of Nitrogen Fertilizer and Its Regulation. Mezhdunarodnyy selskokhozyaystvennyy zhurnal. 2019;(4):71–75. (In Russ., abstract in Eng.) doi: https://doi.org/10.24411/2587-6740-2019-14070
- Gavrilov V.A., Fedorova Yu.N., Fedotova Ye.N. [Evaluation of the Effect of Liquid Complex Fertilizers on Winter Wheat Grain Yield]. Izvestiya Velikolukskoy gosudarstvennoy selskokhozyaystvennoy akademii. 2020;(2):13–16. Available at: https://www.elibrary.ru/item.asp?id=43852992 (accessed 03.12.2022). (In Russ., abstract in Eng.)
- Milyutkin V.А., Sysoev V.N., Makushin А.N., et al. Advantages of Liquid Mineral Fertilizers on the Base of KAS-32 in Comparison with Solid Fertilizers (Ammonium Nitrate) on Sunflower and Corn. Niva Povolzhya. 2020;(3):73–79. (In Russ., abstract in Eng.) doi: https://doi.org/10.36461/NP.2020.56.3.018
- Milyutkin V.A., Buksman V.E. Innovative Engineering Solutions for Applying Liquid and Solid Mineral Fertilizers Simultaneously with Sowing. Machinery and Equipment for Rural Area.2018;(10):16–21. Available at: https://www.elibrary.ru/item.asp?id=36457812 (accessed 03.12.2022).(In Russ., abstract in Eng.)
- Tyutyunov S.I. Comprehensive Assessment of the Long-Term Use of Fertilizers on the Main Indicators of the Fertility of Typical Chernozem. Plodorodie. 2021;(3):45–48. (In Russ., abstract in Eng.) doi:https://doi.org/10.25680/S19948603.2021.120.07
- Wilson W., Shakya S., Dahl B. Dynamic Changes in Spatial Competition for the Nitrogen Fertilizer Industry in the United States. Agricultural. Systems. 2015;135:10–19. doi: https://doi.org/10.1016/J.AGSY.2014.11.006
- Milyutkin V.A., Buxmann V., Mozgovoy A., et al. Modern Technology for Cultivation of Agricultural Crops in Zones of “Risk Farming” with Conservation and Accumulation of Atmospheric Moisture.In: XIV International Scientific Conference “INTERAGROMASH 2021”. Precision Agriculture and Agricultural Machinery Industry. Сер. “Lecture Notes in Networks and Systems”. 2022. p. 138–146. doi:https://doi.org/10.1007/978-3-030-81619-3_15
Supplementary files























