Влияние микроизгиба на поле и энергию слабонаправляющего оптоволокна с градиентным профилем в одномодовом режиме
- Авторы: Гладких В.А.1, Власенко В.Д.1
-
Учреждения:
- Вычислительный центр ДВО РАН – обособленное подразделение ХФИЦ ДВО РАН
- Выпуск: Том 34, № 3 (2024)
- Страницы: 495-515
- Раздел: Оптика
- Статья получена: 03.07.2024
- Статья одобрена: 08.07.2024
- Статья опубликована: 24.09.2024
- URL: https://ogarev-online.ru/2658-4123/article/view/258537
- DOI: https://doi.org/10.15507/2658-4123.034.202403.495-515
- ID: 258537
Цитировать
Полный текст
Аннотация
Введение. Оптические волокна широко используются для передачи сигналов связи с высокой пропускной способностью на большие расстояния. Ключевым свойством, обеспечивающим такую производительность, является низкое затухание, при котором сигналы испытывают минимальные потери мощности, распределяясь вдоль оптического волокна. Одним из факторов, влияющих на потерю мощности при передаче информации, является механический изгиб волокна. Изгиб может увеличить потери передачи мощности оптическим волокном как за счет макроизгиба, так и микроизгиба. Исследование зависимости потерь при изгибе от параметров волновода позволяет контролировать потери оптического волокна при передаче информации.
Цель исследования. Оценить влияние микроизгиба на поле и энергию слабонаправляющего оптоволокна с градиентным профилем показателя преломления в одномодовом режиме.
Материалы и методы. Из уравнений для полей прямого и изогнутого участков слабонаправляющего оптоволокна для произвольного градиентного профиля показателя преломления последующим решением неоднородных уравнений Гельмгольца методом функции Грина получено выражение для относительной энергии: отношения энергии поля изогнутого участка оптоволокна к энергии поля прямого участка оптоволокна (в первом приближении для одномодового режима).
Результаты исследования. Полученное выражение для относительной энергии зависит от двух параметров – волноводного параметра и отношения радиуса оптоволокна к радиусу кривизны. Для квадратичного случая степенного профиля, как наиболее приближенного к реально используемому, численными расчетами построены зависимости относительной энергии от критериев, характеризующих изгиб для разных значений волноводного параметра.
Обсуждение и заключение. Показано, что в случае микроизгиба, чем больше длина волны или меньше радиус волокна, тем меньше потери. Полученные результаты могут быть использованы как в расчетах профилей оптического волокна, предназначенных для работы в изогнутом состоянии и исключающих дорогостоящее экспериментальное моделирование световодов, так и при конструировании волноводов для решения конкретных приложений, в частности, для повышения энергоэффективности, надежности и работоспособности средства измерения.
Полный текст
Введение. При изгибе оптического волокна появляются дополнительные потери энергии, быстро растущие после достижения определенного критического радиуса изгиба. Этот критический радиус может быть очень мал (всего несколько мм) у волокон с высокой числовой апертурой, тогда как допустимый радиус изгиба гораздо больше (часто десятки см) для волокон в одномодовом режиме с большой площадью поперечной моды.
Даже при отсутствии макроскопических изгибов волокна могут быть потери, вызванные микроизгибами, то есть микроскопическими неровностями (нарушениями структуры) в волокне.
Замечено, что изгибы являются также причиной уменьшения эффективной площади поперечной моды. Это особенно заметно у волокон со ступенчатым профилем, которые имеют большую площадь поперечной моды. Также изгибы вызывает двойное лучепреломление.
Нарушение требования минимального радиуса изгиба может привести к ухудшению рабочих свойств кабеля. Радиус изгиба оптического кабеля оказывает влияние на радиус изгиба оптического волокна, находящегося непосредственно внутри кабеля. При соблюдении минимального радиуса изгиба оптического волокна не нарушается принцип передачи оптического сигнала: эффект полного внутреннего отражения сохраняется, сигнал без лишнего затухания передается по оптическим волокнам. Когда минимальный радиус изгиба оптического волокна не соблюдается, на месте изгиба возникает макроизгиб, при котором свет выходит за пределы сердцевины волокна и затухает. Излишнее затухание в линии недопустимо, поэтому соблюдение минимально допустимого радиуса изгиба кабеля является обязательным условием при эксплуатации волоконно-оптической линии связи.
Целью работы является исследование зависимости энергии внутри волокна от радиуса изгиба слабонаправляющего оптоволокна с градиентным профилем показателя преломления в одномодовом режиме с различными значениями волноводного параметра при малых изгибах.
Обзор литературы. В классических монографиях А. Снайдера, Дж. Лава 1 и Х. Г. Унгера 2 представлена обширная информация о различных видах волноводов с кратким описанием как экспериментальных и теоретических результатов с большим количеством примеров, так и различных математических методов. Однако прошло немало времени с момента издания этих трудов. Исследование данной тематики значительно продвинулось. Отметим кратко некоторые направления.
В монографии K. Okamoto 3 доказано, что искривление одномодового оптического волокна приводит к двум основным формам дополнительных потерь при передаче: переходные потери и чистые потери на изгибе. Переходные потери и связанное с ними лучевое излучение, которое наблюдается в начале изгиба, могут быть объяснены с помощью модифицированной теории связанных мод [1]. Проблема потерь в волоконных световодах на изгибах малого радиуса возникла с их появлением. Одним из методов теоретического решения этой проблемы является метод конформного отображения изогнутого световода в прямолинейный с перекошенным профилем показателя преломления [2–4].
В работах [5; 6] предложен механизм полезный для настройки профиля поля в одномодовых оптических волокнах, предполагающий локальный и постоянный изгиб волокна с радиусом изгиба в несколько сотен мкм. В публикациях [7–9] представлен новый подход к разработке оптических волокон с градиентным профилем. В статье [10] рассмотрен круглый в поперечном сечении регулярный слабопроводящий волоконный световод с двойной оболочкой. Для одномодового режима такого волновода получено выражение, которое может дать оценку части мощности поля моды, проникающей во внешнюю сплошную оболочку, в стандартном подходе и в Гауссовой модели.
Новый и простой подход к разработке двумерного датчика смещения, основанный на потерях в макроизгибе и эффекте связи оптической мощности, представлен в работах [11–13]. В статье [14] рассмотрена проблема улучшения технических характеристик волоконно-оптических измерительных преобразователей, определяемых механической надежностью изогнутого оптического волокна. Установлена зависимость интенсивности светового потока от изменения радиуса изгиба оптического волокна. В статье [15] для степенного профиля с произвольным показателем степени в первом приближении методом функции Грина получено выражение для поля внутри градиентного волокна в одномодовом режиме.
Подходы к разработке оптических волокон и потери на изгибах исследованы в работах [16–18]. В статье [19] рассмотрен математический аппарат, позволяющий сформировать критерии качественной и количественной оценки несанкционированного доступа к построенным волоконно-оптическим линиям связи (ВОЛС) на основе определения показателей эффективности отвода оптического излучения из волоконных световодов. Один из простейших и очевидных методов «съема» информации можно осуществить путем отведения мощности оптического излучения из ВОЛС за счет макроизгиба его волоконных световодов.
В работе [20] численно и экспериментально исследовано расщепление линий резонатора Фабри-Перо, образованного участком стандартного изогнутого одномодового волоконного световода с металлизированными торцами. Публикация [21] посвящена характеристике профиля пучка, выходящего из оптического волокна с двойной оболочкой и имеющего разную геометрию сечения. В работе [22] рассмотрен слабонаправляющий градиентный световод в одномодовом режиме, решено уравнение для электрического поля в сердцевине световода в общем виде в первом приближении.
Волоконная брэгговская решетка представляет собой широко используемую чувствительную структуру оптического волокна. В работе [23] представлена простая структура, состоящая из обычного одномодового волокна и секции многомодового волокна с волоконной брэгговской решеткой. Она может одновременно осуществлять двухпараметрическое измерение микроизгиба и температуры. Различные аспекты оптических потерь на изгибах световодов подробно описаны в работах [24–26]. В публикациях [27–29] рассмотрен новый подход к моделированию оптического волокна. В обзоре [30] представлены результаты системного анализа существующих рекомендаций по волоконным световодам. Проведена систематизация физических параметров и эксплуатационных характеристик стандартизированных волоконных световодов.
Обеспечение малых потерь на границе соединения волокна с полой сердцевиной и традиционного волокна с твердой сердцевиной имеет большое значение для многих практических применений волокон с твердой сердцевиной. В работе [31] с помощью моста в виде волокна с градиентом показателя преломления исследуется высокотемпературное соединение оптических волокон двух типов – антирезонансного волокна с полой сердцевиной и волокна с твердой сердцевиной, обеспечивающих малые потери при прохождении лазерного излучения.
Пучки или жгуты оптических волокон находят все больше применений в различных областях волоконной оптики, несмотря на сравнительно низкое разрешение подобных устройств. Одним из способов решения указанной проблемы является использование материалов с высоким показателем преломления, что позволит добиться сильной локализации мод излучения в волокне. В обзоре [32] представлен способ применения для этих целей сапфировых волокон с высоким показателем преломления n > 3.
Волоконная оптика как научное направление начала активно развиваться с момента разработки технологии волоконных световодов. Научный интерес к изгибу оптововолокна возник практически вместе с появлением самих световодов. Изгиб оптического волокна является важным инструментом научных исследований в лазерной физике, оптической связи, технике обработки информации, оптических вычислительных машинах, оптических датчиках различных физических величин и т. д. Основываясь на анализе рассмотренных публикаций, делаем вывод, что большинство вопросов, связанных с изгибами оптического волокна, изучены недостаточно полно и требуют дополнительных исследований и экспериментов.
Материалы и методы. Пусть – электрическое поле прямого поляризованного участка по оси х слабонаправляющего световода с постоянной распространения основной моды β:
(1)
Здесь ось z направлена вдоль оси световода; (x; y) – координаты поперечного сечения; ω – циклическая частота; – единичный вектор вдоль оси x; Astr(r) – координатная часть электрического поля прямолинейного участка световода, где .
Согласно уравнениям Максвелла для диэлектрических прозрачных сред, Astr(r) удовлетворяет дифференциальному уравнению в декартовых координатах:
, (2)
где k = ω/c; с – скорость света; n2(r) – показатель преломления волоконного световода, который обычно записывается в виде:
(3)
Здесь Δ – высота профиля; NA – числовая апертура; V – волноводный параметр; h(r) – функция, принимающая значения от 0 до 1 при изменении r от 0 до ρ.
С учетом (3) запишем уравнение (2) в виде:
(4)
где 0 ≤ r ≤ ρ.
Рассмотрим однородное уравнение, соответствующее уравнению (4), и перейдем к полярным координатам, для основной моды получим:
где J0(χ1r) – функция Бесселя нулевого порядка. Таким образом, общее решение уравнения (4) для прямого участка световода можно записать в виде:
(5)
где Astr(r) – частное решение неоднородного уравнения (4).
В случае изогнутого участка световода пусть θ – угловая координата по изгибу, отчитываемая от оси x; Rc – радиус кривизны с центром в точке C вне волновода, постоянный относительно оси изгиба; z – расстояние вдоль изогнутого участка (рис. 1). Пунктирная линия – ось волновода, ось y направлена перпендикулярно плоскости рисунка.
Рис. 1. Схематическое изображение волоконного световода с профилем показателя преломления n(r), изогнутого в виде дуги с постоянным радиусом Rc и угловой координатой по изгибу θ (пунктирная линия проходит по оси световода)
Fig. 1. Schematic representation of a fiber-optic light guide with a refractive index profile n(r), bent in the form of an arc with a constant radius Rс and angular coordinate along the bend θ (the dotted line runs along the axis of the fiber-optic light guide)
Источник: составлено автором.
Source: the diagram was drawn up by the authors of the article.
На изгибе поле должно иметь угловую зависимость вида exp(iκθ), где κ – пунктирная постоянная, подлежащая определению. Установим локальную постоянную распространения соотношением:
(6)
Вводя полярные координаты в поперечном сечении, согласно рисунку 1 и учитывая соотношение (6), запишем:
(7)
Поскольку на оси световода (r = 0) в начале изгиба должно быть , то для постоянной κ находим κ = βRc и из предыдущего соотношения получаем:
Для слабонаправляющего световода:
(8)
Таким образом, заменяя изогнутый участок на эквивалентный прямой с заменой β на локальную постоянную распространения , аналогично (1) запишем:
,
где Acurv(r) – координатная часть электрического поля изогнутого участка световода.
Для Acurv(r) аналогично (4) и с учетом (9) получим:
(9)
где
Аналогично (5) общее решение уравнения (9) для изогнутого участка световода можно записать в виде:
(10)
где Acurv(r) – частное решение неоднородного уравнения (9).
Результаты исследования. Частные решения неоднородных уравнений типа (4) и (7) проще искать методом Грина [33]:
(11)
где – функция Ханкеля первого рода нулевого порядка от аргумента x. Переходя к полярным координатам и воспользовавшись частным случаем «теоремы сложения» для цилиндрических функций 4:
,
с помощью формул для уравнений (4) и (9) соответственно, запишем решения в виде:
(12)
и
(13)
где – функция Ханкеля первого рода k-го порядка; Jk(x) – функция Бесселя k-го порядка.
Согласно выражениям (12–13) для (5) и (10) в первом приближении запишем для общих решений:
(14)
и
В уравнении (5) и аналогичным с ним образом в выражении (10) .
Согласно данным технического руководства, для оптоволокон 2Δ ∈ (0,006; 0,060), поэтому для простоты расчетов из этого интервала выберем 2Δ ≈ 0,010 → Δ ≈ 0,005. Таким образом, формула принимает вид:
Поскольку функция Ханкеля первого рода порядка k имеет вид , где – соответственно функция Бесселя и функция Неймана порядка k, перепишем выражения (12‒13) в следующем виде для удобства дальнейших расчетов:
(15)
и
(16)
Учитывая выражения (15‒16), определим величину q (отношение энергии Wcurv изогнутого участка волокна к энергии Wstr прямого участка волокна):
(17)
где
(18)
и
(19)
Используем известные формулы из теории цилиндрических функций 5:
(20)
Здесь – любая цилиндрическая функция порядка p от аргумента x; С – постоянная Эйлера, ; p – целое число.
Запишем также легко вычисляемые интегралы (рассматриваемые как интегралы от параметра δ; Ф(х) – интеграл вероятностей ошибок):
(21)
Как известно, в одномодовом режиме работы волновода со ступенчатым профилем вместо функции Бесселя можно применять функцию Гаусса (r0 – радиус модового пятна) [34].
(22)
Распространяя формулу (22) на случай рассматриваемого градиентного профиля и комбинируя формулы (20–22), для интегралов (19) и для функций и из (14) и (16) получим:
Так как использовали формулы (22) для упрощения вычислений в рассматриваемом одномодовом режиме, то считаем, что при двух описаниях поток энергии через поперечное сечение одинаков:
.
С другой стороны, для левой части этого соотношения, согласно (15) и (18):
Сравнивая правые части, находим (подробней в работе [15]):
Используя формулы (14), (17‒18), для (13) получаем :
, (23)
где
(24)
Таким образом, полученные формулы (23‒24) описывают изменение энергии в волокне при малых изгибах для произвольного градиентного профиля в первом приближении.
Чтобы представить результат наглядно, необходимо знание конкретного профиля, описываемого функцией h(γ), входящей в величину Θ(α). Поскольку квадратичный профиль наиболее приближен к реально используемым градиентным профилям, то в качестве примера численные расчеты произведем именно для такого профиля, соответствующего функции h(γ)=γ2 (формулы (3), (10)). В этом случае для Θ(α) из (20) получаем:
(25)
Остался вопрос с выбором значений параметра . Исходим из того, что для оптоволоконного кабеля, согласно техническому руководству, существует общепринятое соотношение между диаметром кабеля Dcable и минимальным радиусом кривизны Rc(min). С другой стороны, для одномодовых волокон, также согласно техническому руководству, существует соотношение между Dcable и диаметром волокна d = 2p. Из этих соотношений находим:
(26)
На этом основании выберем для β значения:
. (27)
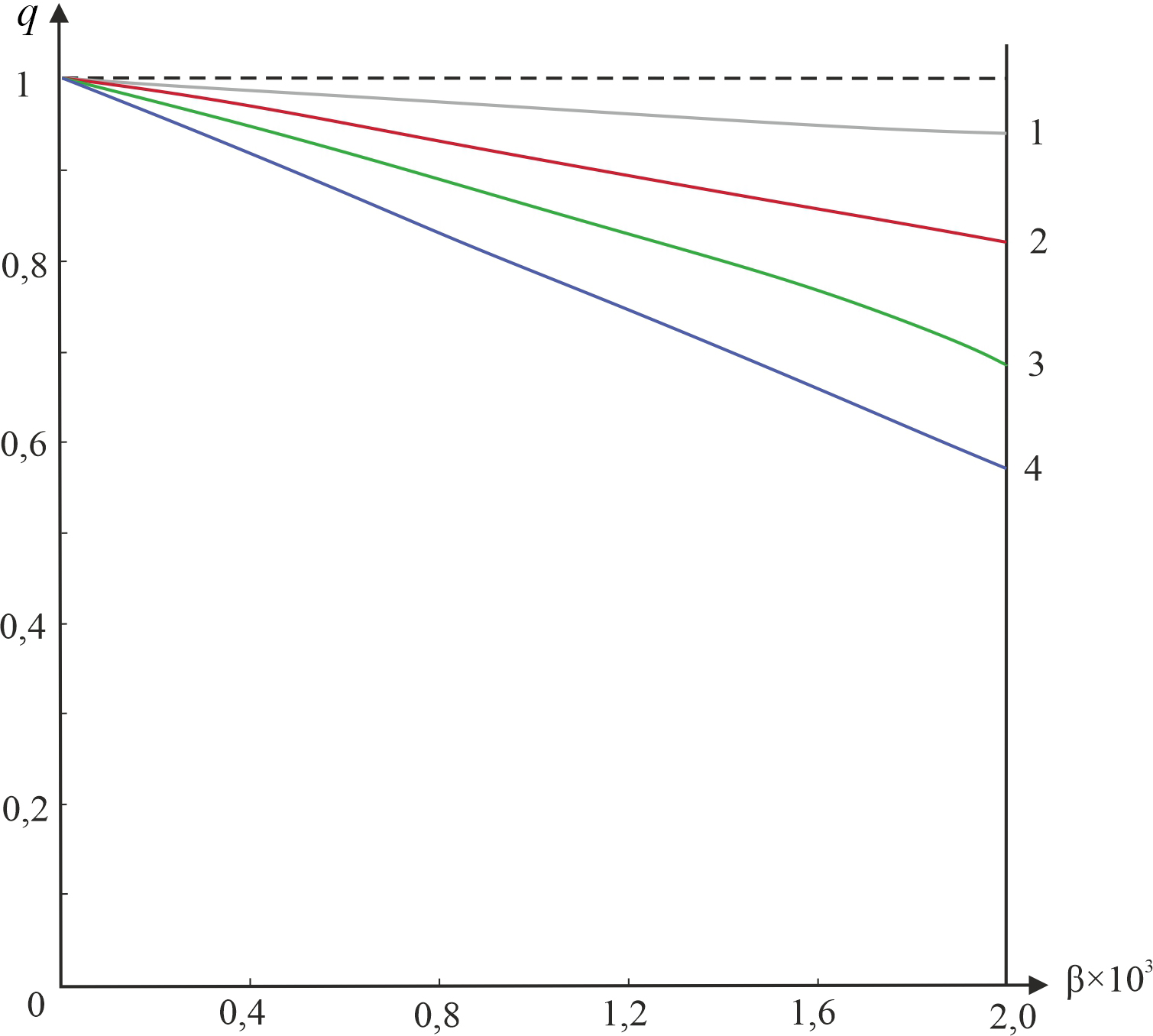
С использованием формул (23–27) проведены вычисления. Они приводят к зависимости относительной энергии q от параметра β = ρ/Rc для различных значений волноводного параметра V при высоте профиля Δ ≈ 0,005 (рис. 2).
Рис. 2. Зависимость отношения q от параметра β для различных значений волноводного параметра V: (кривая 1 – V1 = 0,5; кривая 2 – V2 = 0,9; кривая 3 – V3 = 1,3; кривая 4 – V4 = 1,7)
Fig. 2. Dependence of the ratio q on the parameter β for different values of the waveguide parameter V: (curve 1 – V1 = 0.5; curve 2 – V2 = 0.9; curve 3 – V3 = 1.3; curve 4 – V4 = 1.7)
Источник: составлено автором.
Source: the diagram was drawn up by the authors of the article.
На рисунке 2 показана зависимость отношения q от параметра β для различных значений волноводного параметра V: (кривая 1 – V1 = 0,5; кривая 2 – V2 = 0,9; кривая 3 – V3 = 1,3; кривая 4 – V4 = 1,7).
Обсуждение и заключение. В первом приближении для квадратичного профиля построены зависимости относительной энергии q от параметра β при различных значениях волноводного параметра V. Энергия q убывает с увеличением β при этом тем быстрее, чем больше V. Предложенный метод исследования влияния микроизгибов на передаваемую энергию – замена изогнутого участка на эквивалентный прямолинейный – позволяет в конечном итоге анализировать энергетические потери в зависимости от радиуса изгиба не только для рассмотренного квадратичного, но и для любого градиентного профиля в первом приближении методом функции Грина, что может быть использовано как при конструировании волноводов с заранее заданными свойствами, так и в различных технических приложениях (волоконно-оптические датчики в технике и медицине, проблема безопасности передачи данных и т. д.).
1 Снайдер А., Лав Дж. Теория оптических волноводов / пер. с англ. под ред. Е. М. Дианова, В. В. Шевченко. М. : Радио и связь, 1987. 656 с.
2 Унгер Х. Г. Планарные и волоконные оптические волноводы / пер. с англ. под ред. В. В. Шевченко. М.: Мир, 1980. 656 с.
3 Okamoto K. Fundamentals of Optical Waveguides. Elsevier Inc, 2006. 561 p. https://doi.org/10.1016/B978-0-12-525096-2.X5000-4
4 Градштейн И. С., Рыжик И. М. Таблицы интегралов, сумм, рядов и произведений. СПб. : БХВ-Петербург, 2011. 1232 с.
5 Градштейн И. С., Рыжик И. М. Таблицы интегралов, сумм, рядов и произведений.
Об авторах
Вячеслав Александрович Гладких
Вычислительный центр ДВО РАН – обособленное подразделение ХФИЦ ДВО РАН
Email: gladkih@as.khb.ru
ORCID iD: 0000-0002-3922-9609
ResearcherId: GLU-2712-2022
кандидат физико-математических наук, старший научный сотрудник
Россия, 680000, г. Хабаровск, ул. Ким Ю Чена, д. 65Виктор Дмитриевич Власенко
Вычислительный центр ДВО РАН – обособленное подразделение ХФИЦ ДВО РАН
Автор, ответственный за переписку.
Email: vlasenko@as.khb.ru
ORCID iD: 0000-0001-7782-4532
ResearcherId: E-2432-2019
кандидат физико-математических наук, ученый секретарь
Россия, 680000, г. Хабаровск, ул. Ким Ю Чена, д. 65Список литературы
- Gambling W. A., Matsumura H., Ragdale C. M. Curvature and Microbending Losses in Single-Mode Optical Fibres // Optical and Quantum Electronics. 1979. Vol. 11. P. 43–59. https://doi.org/10.1007/BF00624057
- Потери в одномодовых волоконных световодах на однократных изгибах по малому радиусу. Прямоугольный профиль показателя преломления / В. А. Аксенов [и др.] // Радиотехника и электроника. 2004. Т. 49, № 6. С. 734–742. EDN: OWHJWF
- Wang Q., Farrell G., Freir T. Theoretical and Experimental Investigations of Macro-Bend Losses for Standard Single Mode Fibers // Optics Express. 2005. Vol. 13, Issue 12. P. 4476–4484. URL: https://opg.optica.org/oe/fulltext.cfm?uri=oe-13-12-4476&id=84325 (дата обращения: 17.11.2023).
- Wen-Ming C., Shyh-Lin T. Performance Enhancement on Mechanical and Electrical Effects for On-line Fiber-Optic Bending Loss Measurement // Optik. 2005. Vol. 116, Issue 5, P. 201–210. https://doi.org/10.1016/j.ijleo.2005.01.013
- New Optical Fiber Micro-Bend Pressure Sensors Based on Fiber-Loop Ringdown / Z. Wang [et al.] // Procedia Engineering. 2012. Vol. 29. P. 4234–4238. https://doi.org/10.1016/j.proeng.2012.01.649
- Mode Coupling and Field Distribution in Sub-mm Permanently Bent Single Mode Optical Fibers / A. Iadicicco [et al.] // Optics & Laser Technology. 2013. Vol. 47. P. 292–304. https://doi.org/10.1016/j.optlastec.2012.08.012
- Optical Fibers with Gradient Index Nanostructured Core / R. Buczyński [et al.] // Optics Express. 2015. Vol. 23, Issue 20, P. 25588–25596. https://doi.org/10.1364/OE.23.025588
- Manipulating Microbending Losses in Single Mode Optical Fiber for Pressure Sensing / W. M. Mukhtar [et al.] // Journal of Advanced Research in Applied Sciences and Engineering Technology. 2017. Vol. 9, Issue 1. P. 14–21. URL: https://www.akademiabaru.com/doc/ARASETV9_N1_P14_21.pdf (дата обращения: 15.11.2023).
- Tong Y., Chen S., Tian H. A Bend-Resistant Low Bending Loss and Large Mode area Two-Layer Core Single-Mode Fiber with Gradient Refractive Index Ring and Multi-Trench // Optical Fiber Technology. 2018. Vol. 45. P. 235–243. https://doi.org/10.1016/j.yofte.2018.07.010
- Гладких В. А. Расчет мощности поля, проникающего во внешнюю оболочку слабонаправляющего одномодового волоконного световода // Компьютерная оптика. 2019. Т. 43, № 4. С. 557–561. https://doi.org/10.18287/2412-6179-2019-43-4-557-561
- Two-Dimensional Displacement Optical Fiber Sensor Based on Macro-Bending Effect / A. Ghaffar [et al.] // Optics & Laser Technology. 2019. Vol. 120. Article no. 105688. https://doi.org/10.1016/j.optlastec.2019.105688
- Мосунова И. Д., Селезнёв Д. А., Ременникова М. В. Исследование спектрального пропускания оптического волокна при малых изгибах // Прикладная фотоника. 2019. Т. 6, № 1–2. C. 17–23. EDN: KYIJVJ
- An Investigation in the Influence of Helical Structure on Bend Loss of Pavement Optical Fiber Sensor / L. Meng [et al.] // Optik. 2019. Vol. 183. P. 189–199. https://doi.org/10.1016/j.ijleo.2019.02.102
- Улучшение технических характеристик волоконно-оптических измерительных преобразователей / Е. А. Полякова [и др.] // Модели, системы, сети в экономике, технике, природе и обществе. 2020. № 1 (33). C. 126–135. https://doi.org/10.21685/2227-8486-2020-1-10
- Gladkikh V. A., Vlasenko V. D. Investigation of the Dependence of the Field Energy in a Low Conductive Fiber Optic with a Gradient Profile of the Refractive Index // Optik. 2021. Vol. 245. Article no. 167735. https://doi.org/10.1016/j.ijleo.2021.167735
- Design, Sensing Principle and Testing of a Novel Fiber Optic Displacement Sensor Based on Linear Macro-Bending Loss / Y. Zheng [et al.] // Optik. 2021. Vol. 242. Article no. 167194. https://doi.org/10.1016/j.ijleo.2021.167194
- Хисамов Д. В., Смирнова А. Н., Азанова И. С. Влияние радиуса изгиба на долговечность оптических волокон типа «Панда» // Вестник Пермского университета. Физика. 2021. № 4. С. 52–57. URL: https://clck.ru/3CFDWe (дата обращения: 17.11.2023).
- Evaluating and Minimizing Induced Microbending Losses in Optical Fiber Sensors Embedded Into Glass-Fiber Composites / P. Zhu [et al.] // Journal of Lightwave Technology. 2021. Vol. 39, Issue 22. P. 7315–7325. https://doi.org/10.1109/JLT.2021.3112484
- Расчет параметров макроизгибного отвода оптического излучения из волоконных световодов / И. В. Денисов [и др.] // Радиотехника. 2021. Т. 85, № 2. С. 18−26. URL: https://radiotec.ru/ru/journal/Radioengineering/number/2021-2/article/19457 (дата обращения: 15.11.2023).
- Дышлюк А. В., Ерюшева У. А., Витрик О. Б. Расщепление резонансных линий изогнутого волоконно-оптического резонатора Фабри-Перо // Компьютерная оптика. 2021. Т. 45, № 1. С. 38–44. URL: https://computeroptics.ru/KO/PDF/KO45-1/450105.pdf (дата обращения: 17.11.2023).
- Влияние геометрии оптического волокна на выходное лазерное излучение / Р. Р. Кашина [и др.] // Фотоника. 2021. Т. 15, № 2. С. 144–150. URL: https://www.photonics.su/journal/article/8768 (дата обращения: 17.11.2023).
- Гладких В. А., Власенко В. Д. Исследование поля и энергии в слабопроводящем оптоволокне со степенным профилем показателя преломления произвольной степени // Инженерные технологии и системы. 2022. Т. 32, № 4. С. 588–599. EDN: LARQQM
- Micro-Bending Sensing Based on Single-Mode Fiber Spliced Multimode Fiber Bragg Grating Structure / X. Sun [et al.] // Optics Communications. 2022. Vol. 505. Article no. 127513. https://doi.org/10.1016/j.optcom.2021.127513
- A Liquid Level Sensor Based on Spiral Macro-Bending Plastic Optical Fiber / K. Liao [et al.] // Optical Fiber Technology. 2022. Vol. 70. Article no. 102874 https://doi.org/10.1016/j.yofte.2022.102874
- Investigation of a Spring-Shaped Fiber Modulation Based on Bending Loss for Detecting Linear Displacement / Y. Zheng [et al.] // Measurement. 2022. Vol. 194. Article no. 10976. https://doi.org/10.1016/j.measurement.2022.110976
- Иванов Д. А. Волоконно-оптические WDM-мультиплексоры/демультиплексоры с малыми изгибными потерями // Russian Technological Journal. 2022. Т. 10, № 2. С. 7–13. https://doi.org/10.32362/2500-316X-2022-10-2-7-13
- Иванов С. А., Закалкин П. В., Смирнов И. Ю. Моделирование оптического волокна на основе фазоконтурных схем замещения // Радиотехника и электроника. 2022. Т. 67, № 5. С. 500–508. URL: https://sciencejournals.ru/view-article/?j=radel&y=2022&v=67&n=5&a=RadEl2205007Ivanov (дата обращения: 17.11.2023).
- Large-Mode-Area Multi-Resonant All-Solid Photonic Bandgap Fiber with Low Bending Loss and Robust Single-Mode Operation / X. Chen [et al.] // Optics & Laser Technology. 2023. Vol. 157. Article no. 108668. https://doi.org/10.1016/j.optlastec.2022.108668
- Funnell A. C., Thomas P. J. Design of a Flexible Weight Sensor Using Optical Fibre Macrobending // Sensors. 2023. Vol. 23, Issue 2. Article no. 912. https://doi.org/10.3390/s23020912
- Денисов И. В., Лисовский Н. В. Систематизация чувствительных к изгибу волоконных световодов // Прикладная фотоника. 2023. Т. 10, № 1. С. 131–148. URL: https://applied.photonics.pstu.ru/_res/fs/4561file.pdf (дата обращения: 14.11.2023).
- Fusion Splicing of Hollow-Core to Standard Single-Mode Fibers Using a Gradient-Index Bridge Fiber / Z. Zhang [et al.] // Journal of Optical Technology. 2023. Vol. 90, Issue 1. P. 76–83. https://doi.org/10.17586/1023-5086-2023-90-01-76-83
- Жгуты оптических волокон c высоким показателем преломления для проведения ТГц визуализации с субволновым разрешением (обзор) / Д. Г. Меликянц [и др.] // Оптика и спектроскопия. 2023. Т. 131, Вып. 6. С. 762–781. URL: https://journals.ioffe.ru/articles/55910 (дата обращения: 17.11.2023).
- Моделирование температурного поля поверхности при электроискровом легировании металлов / В. Д. Власенко [и др.] // Инженерные технологии и системы. 2019. Т. 29, № 2. С. 218–233. https://doi.org/10.15507/2658-4123.029.201902.218-233
- Трещиков В. Н., Листвин В. Н. DWDM-системы // Фотон-экспресс. 2012. № 7. С. 34–37. EDN: PIBPEO
Дополнительные файлы























